Innovative Biomarkers for Diagnosing Malignant Ascites in Liver Cancer.

IF 2.8 4区 医学 Q3 BIOTECHNOLOGY & APPLIED MICROBIOLOGY
OncoTargets and therapy Pub Date : 2025-08-11 eCollection Date: 2025-01-01 DOI:10.2147/OTT.S527224
Yan Zhang, Jing Wu, Huaizhong Cui, Xiaojing Zhang, Lingyan He, Kailong Gu, Aifang Xu
{"title":"Innovative Biomarkers for Diagnosing Malignant Ascites in Liver Cancer.","authors":"Yan Zhang, Jing Wu, Huaizhong Cui, Xiaojing Zhang, Lingyan He, Kailong Gu, Aifang Xu","doi":"10.2147/OTT.S527224","DOIUrl":null,"url":null,"abstract":"<p><strong>Background: </strong>Liver cancer ranks among the most prevalent and lethal malignancies worldwide, with metastatic malignant ascites being a common complication. This study seeks to assess the diagnostic significance of high fluorescent cells (HFCs), biochemical and tumor markers in predicting the development of metastatic malignant ascites in patients with liver cancer.</p><p><strong>Methods: </strong>We collected ascites samples from 266 patients diagnosed with liver cancer. HFC were analyzed using the BF mode of the BC-7500 hematology analyzer, assessing both relative counts (HF-BF%) and absolute counts (HF-BF#). Additionally, biochemical and tumor markers were evaluated in serum and ascites. The diagnostic accuracy of these indicators, both individually and in combination, was assessed using receiver operating characteristic (ROC) curve analysis.</p><p><strong>Results: </strong>The malignant ascites group exhibited significantly higher levels of HF-BF%, cancer ratio 2 (Ratio2, ascites LDH: ascites ADA Ratio), and neuron-specific enolase (NSE) compared to the benign group, identifying these markers as independent risk factors for malignant ascites in liver cancer patients. Ratio2 demonstrated limited diagnostic value for malignant ascites, with an area under the curve (AUC) of 0.614. In contrast, HF-BF% and NSE showed moderate diagnostic capabilities, with AUCs of 0.760 and 0.700, respectively. The combined assessment of all three indicators yielded a high diagnostic capability, with an AUC of 0.824. The critical values for NSE, HF-BF%, and Ratio2 were 11.42 U/mL, 4.35/100 WBC, and 32.82%, respectively.</p><p><strong>Conclusion: </strong>The combined evaluation of HF-BF%, Ratio2, and NSE serves as a valuable indicator for predicting the occurrence of metastatic malignant ascites in liver cancer patients.</p>","PeriodicalId":19534,"journal":{"name":"OncoTargets and therapy","volume":"18 ","pages":"865-872"},"PeriodicalIF":2.8000,"publicationDate":"2025-08-11","publicationTypes":"Journal Article","fieldsOfStudy":null,"isOpenAccess":false,"openAccessPdf":"https://www.ncbi.nlm.nih.gov/pmc/articles/PMC12357358/pdf/","citationCount":"0","resultStr":null,"platform":"Semanticscholar","paperid":null,"PeriodicalName":"OncoTargets and therapy","FirstCategoryId":"3","ListUrlMain":"https://doi.org/10.2147/OTT.S527224","RegionNum":4,"RegionCategory":"医学","ArticlePicture":[],"TitleCN":null,"AbstractTextCN":null,"PMCID":null,"EPubDate":"2025/1/1 0:00:00","PubModel":"eCollection","JCR":"Q3","JCRName":"BIOTECHNOLOGY & APPLIED MICROBIOLOGY","Score":null,"Total":0}
引用次数: 0

Abstract

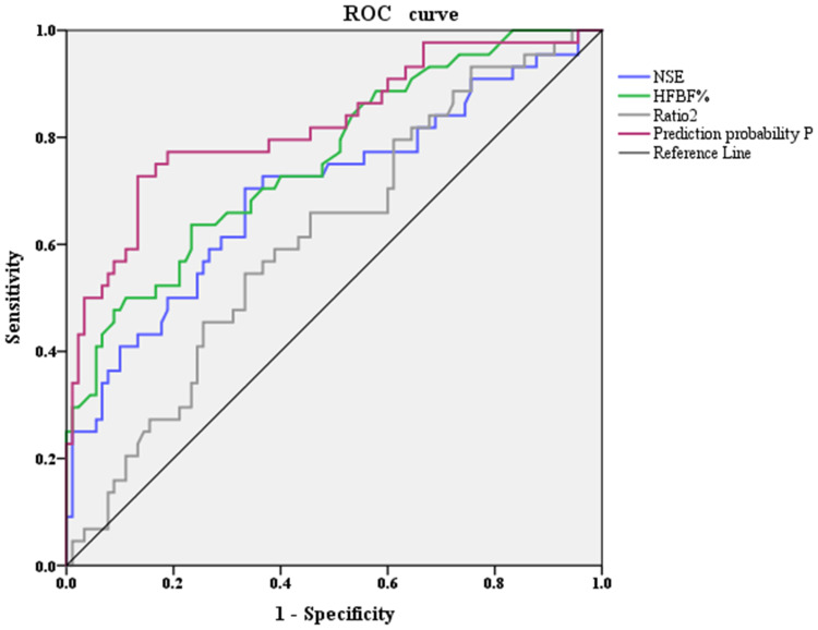
Background: Liver cancer ranks among the most prevalent and lethal malignancies worldwide, with metastatic malignant ascites being a common complication. This study seeks to assess the diagnostic significance of high fluorescent cells (HFCs), biochemical and tumor markers in predicting the development of metastatic malignant ascites in patients with liver cancer.

Methods: We collected ascites samples from 266 patients diagnosed with liver cancer. HFC were analyzed using the BF mode of the BC-7500 hematology analyzer, assessing both relative counts (HF-BF%) and absolute counts (HF-BF#). Additionally, biochemical and tumor markers were evaluated in serum and ascites. The diagnostic accuracy of these indicators, both individually and in combination, was assessed using receiver operating characteristic (ROC) curve analysis.

Results: The malignant ascites group exhibited significantly higher levels of HF-BF%, cancer ratio 2 (Ratio2, ascites LDH: ascites ADA Ratio), and neuron-specific enolase (NSE) compared to the benign group, identifying these markers as independent risk factors for malignant ascites in liver cancer patients. Ratio2 demonstrated limited diagnostic value for malignant ascites, with an area under the curve (AUC) of 0.614. In contrast, HF-BF% and NSE showed moderate diagnostic capabilities, with AUCs of 0.760 and 0.700, respectively. The combined assessment of all three indicators yielded a high diagnostic capability, with an AUC of 0.824. The critical values for NSE, HF-BF%, and Ratio2 were 11.42 U/mL, 4.35/100 WBC, and 32.82%, respectively.

Conclusion: The combined evaluation of HF-BF%, Ratio2, and NSE serves as a valuable indicator for predicting the occurrence of metastatic malignant ascites in liver cancer patients.

Abstract Image

Abstract Image

肝癌恶性腹水诊断的创新生物标志物
背景:肝癌是世界范围内最常见和最致命的恶性肿瘤之一,转移性恶性腹水是一种常见的并发症。本研究旨在评估高荧光细胞(hfc)、生化和肿瘤标志物在预测肝癌患者转移性恶性腹水发展中的诊断意义。方法:收集266例肝癌患者的腹水标本。采用BC-7500血液学分析仪的BF模式分析HFC,评估相对计数(HF-BF%)和绝对计数(HF-BF#)。此外,测定血清和腹水的生化和肿瘤标志物。使用受试者工作特征(ROC)曲线分析评估这些指标单独或联合诊断的准确性。结果:恶性腹水组HF-BF%、癌比2 (ratio 2)、腹水LDH:腹水ADA比(ratio 2)、神经元特异性烯醇化酶(NSE)水平明显高于良性腹水组,这些指标是肝癌恶性腹水的独立危险因素。Ratio2对恶性腹水的诊断价值有限,曲线下面积(AUC)为0.614。相比之下,HF-BF%和NSE表现出中等诊断能力,auc分别为0.760和0.700。所有三个指标的综合评估产生了很高的诊断能力,AUC为0.824。NSE、HF-BF%和Ratio2的临界值分别为11.42 U/mL、4.35/100 WBC和32.82%。结论:联合评价HF-BF%、Ratio2、NSE可作为预测肝癌患者转移性恶性腹水发生的重要指标。
本文章由计算机程序翻译,如有差异,请以英文原文为准。
求助全文
约1分钟内获得全文 求助全文
来源期刊
OncoTargets and therapy
OncoTargets and therapy BIOTECHNOLOGY & APPLIED MICROBIOLOGY-ONCOLOGY
CiteScore
9.70
自引率
0.00%
发文量
221
审稿时长
1 months
期刊介绍: OncoTargets and Therapy is an international, peer-reviewed journal focusing on molecular aspects of cancer research, that is, the molecular diagnosis of and targeted molecular or precision therapy for all types of cancer. The journal is characterized by the rapid reporting of high-quality original research, basic science, reviews and evaluations, expert opinion and commentary that shed novel insight on a cancer or cancer subtype. Specific topics covered by the journal include: -Novel therapeutic targets and innovative agents -Novel therapeutic regimens for improved benefit and/or decreased side effects -Early stage clinical trials Further considerations when submitting to OncoTargets and Therapy: -Studies containing in vivo animal model data will be considered favorably. -Tissue microarray analyses will not be considered except in cases where they are supported by comprehensive biological studies involving multiple cell lines. -Biomarker association studies will be considered only when validated by comprehensive in vitro data and analysis of human tissue samples. -Studies utilizing publicly available data (e.g. GWAS/TCGA/GEO etc.) should add to the body of knowledge about a specific disease or relevant phenotype and must be validated using the authors’ own data through replication in an independent sample set and functional follow-up. -Bioinformatics studies must be validated using the authors’ own data through replication in an independent sample set and functional follow-up. -Single nucleotide polymorphism (SNP) studies will not be considered.
×
引用
GB/T 7714-2015
复制
MLA
复制
APA
复制
导出至
BibTeX EndNote RefMan NoteFirst NoteExpress
×
提示
您的信息不完整,为了账户安全,请先补充。
现在去补充
×
提示
您因"违规操作"
具体请查看互助需知
我知道了
×
提示
确定
请完成安全验证×
copy
已复制链接
快去分享给好友吧!
我知道了
右上角分享
点击右上角分享
0
联系我们:info@booksci.cn Book学术提供免费学术资源搜索服务,方便国内外学者检索中英文文献。致力于提供最便捷和优质的服务体验。 Copyright © 2023 布克学术 All rights reserved.
京ICP备2023020795号-1
ghs 京公网安备 11010802042870号
Book学术文献互助
Book学术文献互助群
群 号:604180095
Book学术官方微信