Evaluating Melanoma Risk in Adult Mastocytosis: Potential Impact of Detection Bias - A Registry-based Study (Sweden).

IF 3.7 4区 医学 Q1 DERMATOLOGY
Anna Bergström, Hans Hägglund, Anders Berglund, Gunnar Nilsson, Mats Lambe
{"title":"Evaluating Melanoma Risk in Adult Mastocytosis: Potential Impact of Detection Bias - A Registry-based Study (Sweden).","authors":"Anna Bergström, Hans Hägglund, Anders Berglund, Gunnar Nilsson, Mats Lambe","doi":"10.2340/actadv.v105.43052","DOIUrl":null,"url":null,"abstract":"<p><p>There is some evidence that mastocytosis patients are at increased risk of skin cancer. This study aimed to assess the risk of malignant melanoma (MM), melanoma in situ (Mis), and basal cell carcinoma (BCC). A dataset was generated by individual-level record linkages between Swedish population registers including the National Patient Register (NPR), the Swedish Cancer Register (SCR), and the Population Register (PR). Adult patients with a mastocytosis diagnosis between 2001 and 2018 were identified in the SCR and NPR. For each case, 5 mastocytosis-free comparators matched on age, sex, and county of residence were randomly chosen from the PR. Records of skin cancer were identified in the SCR and NPR. In total, the study encompassed 2,040 mastocytosis patients of whom 63 had a record of MM/Mis and 168 a record of BCC. Compared with comparators, the risk of MM/Mis was more than twofold higher (OR 2.39, 95% CI 1.8-3.2). Risk estimates for BCC were also elevated (OR 1.77, 95% CI 1.49-2.14). When assessing the timing of skin cancers, a substantial portion were diagnosed near index date. Taken together, in the present study these findings of increased risk of MM/Mis and BCC in mastocytosis patients may reflect an influence of detection bias.</p>","PeriodicalId":6944,"journal":{"name":"Acta dermato-venereologica","volume":"105 ","pages":"adv43052"},"PeriodicalIF":3.7000,"publicationDate":"2025-08-18","publicationTypes":"Journal Article","fieldsOfStudy":null,"isOpenAccess":false,"openAccessPdf":"https://www.ncbi.nlm.nih.gov/pmc/articles/PMC12371744/pdf/","citationCount":"0","resultStr":null,"platform":"Semanticscholar","paperid":null,"PeriodicalName":"Acta dermato-venereologica","FirstCategoryId":"3","ListUrlMain":"https://doi.org/10.2340/actadv.v105.43052","RegionNum":4,"RegionCategory":"医学","ArticlePicture":[],"TitleCN":null,"AbstractTextCN":null,"PMCID":null,"EPubDate":"","PubModel":"","JCR":"Q1","JCRName":"DERMATOLOGY","Score":null,"Total":0}
引用次数: 0

Abstract

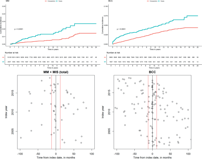
There is some evidence that mastocytosis patients are at increased risk of skin cancer. This study aimed to assess the risk of malignant melanoma (MM), melanoma in situ (Mis), and basal cell carcinoma (BCC). A dataset was generated by individual-level record linkages between Swedish population registers including the National Patient Register (NPR), the Swedish Cancer Register (SCR), and the Population Register (PR). Adult patients with a mastocytosis diagnosis between 2001 and 2018 were identified in the SCR and NPR. For each case, 5 mastocytosis-free comparators matched on age, sex, and county of residence were randomly chosen from the PR. Records of skin cancer were identified in the SCR and NPR. In total, the study encompassed 2,040 mastocytosis patients of whom 63 had a record of MM/Mis and 168 a record of BCC. Compared with comparators, the risk of MM/Mis was more than twofold higher (OR 2.39, 95% CI 1.8-3.2). Risk estimates for BCC were also elevated (OR 1.77, 95% CI 1.49-2.14). When assessing the timing of skin cancers, a substantial portion were diagnosed near index date. Taken together, in the present study these findings of increased risk of MM/Mis and BCC in mastocytosis patients may reflect an influence of detection bias.

Abstract Image

评估成人肥大细胞增多症的黑色素瘤风险:检测偏差的潜在影响-一项基于登记的研究(瑞典)。
有证据表明,肥大细胞增多症患者患皮肤癌的风险增加。本研究旨在评估恶性黑色素瘤(MM)、原位黑色素瘤(Mis)和基底细胞癌(BCC)的风险。通过瑞典人口登记(包括国家患者登记(NPR)、瑞典癌症登记(SCR)和人口登记(PR)之间的个人水平记录联系生成数据集。在SCR和NPR中发现了2001年至2018年间诊断为肥大细胞增多症的成年患者。对于每个病例,从PR中随机选择5名符合年龄、性别和居住县的无肥大细胞增生比较者。在SCR和NPR中确定皮肤癌记录。该研究共纳入2040例肥大细胞增多症患者,其中63例有MM/Mis记录,168例有BCC记录。与比较组相比,MM/Mis的风险高出两倍多(OR 2.39, 95% CI 1.8-3.2)。BCC的风险估计值也升高(OR 1.77, 95% CI 1.49-2.14)。当评估皮肤癌发生的时间时,相当一部分是在指数日期附近被诊断出来的。综上所述,在本研究中,肥大细胞增多症患者MM/Mis和BCC风险增加的发现可能反映了检测偏差的影响。
本文章由计算机程序翻译,如有差异,请以英文原文为准。
求助全文
约1分钟内获得全文 求助全文
来源期刊
Acta dermato-venereologica
Acta dermato-venereologica 医学-皮肤病学
CiteScore
4.90
自引率
2.80%
发文量
210
审稿时长
6-12 weeks
期刊介绍: Acta Dermato-Venereologica publishes high-quality manuscripts in English in the field of Dermatology and Venereology, dealing with new observations on basic dermatological and venereological research, as well as clinical investigations. Each volume also features a number of Review articles in special areas, as well as short Letters to the Editor to stimulate debate and to disseminate important clinical observations. Acta Dermato-Venereologica has rapid publication times and is amply illustrated with a large number of colour photographs.
×
引用
GB/T 7714-2015
复制
MLA
复制
APA
复制
导出至
BibTeX EndNote RefMan NoteFirst NoteExpress
×
提示
您的信息不完整,为了账户安全,请先补充。
现在去补充
×
提示
您因"违规操作"
具体请查看互助需知
我知道了
×
提示
确定
请完成安全验证×
copy
已复制链接
快去分享给好友吧!
我知道了
右上角分享
点击右上角分享
0
联系我们:info@booksci.cn Book学术提供免费学术资源搜索服务,方便国内外学者检索中英文文献。致力于提供最便捷和优质的服务体验。 Copyright © 2023 布克学术 All rights reserved.
京ICP备2023020795号-1
ghs 京公网安备 11010802042870号
Book学术文献互助
Book学术文献互助群
群 号:604180095
Book学术官方微信