Transcriptomic Analysis Reveals the Key Regulatory Pathways of the Gills and Liver of Grass Carp Under High NaHCO3Stress

IF 2.8 3区 生物学 Q3 BIOTECHNOLOGY & APPLIED MICROBIOLOGY
Hui Wu, Liwei Chen, Chendong Tao, Xaoyan Xu, Lang Gui, Jiale Li, Yubang Shen
{"title":"Transcriptomic Analysis Reveals the Key Regulatory Pathways of the Gills and Liver of Grass Carp Under High NaHCO3Stress","authors":"Hui Wu,&nbsp;Liwei Chen,&nbsp;Chendong Tao,&nbsp;Xaoyan Xu,&nbsp;Lang Gui,&nbsp;Jiale Li,&nbsp;Yubang Shen","doi":"10.1007/s10126-025-10508-y","DOIUrl":null,"url":null,"abstract":"<div><p>To elucidate the molecular mechanisms by which grass carp respond to high-concentration NaHCO<sub>3</sub> stress, this study employed RNA-sequencing technology to perform transcriptome analysis on the gill and liver tissues of the treatment group with 30 mmol/L NaHCO<sub>3</sub> and the control group (0 mmol/L). Through sequencing of 12 libraries constructed from 6 gill samples and 6 liver samples, a total of 41.86 GB of high-quality data from gill tissues and 41.49 GB of high-quality data from liver tissues were obtained. The analysis revealed that there were 1223 and 439 significantly differentially expressed genes (DEGs) in the gill and liver tissues, respectively, under NaHCO<sub>3</sub> stress. Functional enrichment (GO) analysis indicated that grass carp respond to alkaline stress by regulating biological processes such as protein hydrolysis, ATP-binding activity, and lipid metabolism. Pathway (KEGG) analysis further revealed that immune-related signaling pathways were significantly activated to resist external stress, and the elevation of energy metabolism levels may provide necessary support for the stress-resistance process. This study systematically revealed the molecular adaptation strategies of grass carp in a high-alkali environment, providing an important theoretical basis for the molecular breeding of saline-alkali-tolerant grass carp varieties and the research on stress-resistance mechanisms.\n</p></div>","PeriodicalId":690,"journal":{"name":"Marine Biotechnology","volume":"27 5","pages":""},"PeriodicalIF":2.8000,"publicationDate":"2025-08-18","publicationTypes":"Journal Article","fieldsOfStudy":null,"isOpenAccess":false,"openAccessPdf":"","citationCount":"0","resultStr":null,"platform":"Semanticscholar","paperid":null,"PeriodicalName":"Marine Biotechnology","FirstCategoryId":"99","ListUrlMain":"https://link.springer.com/article/10.1007/s10126-025-10508-y","RegionNum":3,"RegionCategory":"生物学","ArticlePicture":[],"TitleCN":null,"AbstractTextCN":null,"PMCID":null,"EPubDate":"","PubModel":"","JCR":"Q3","JCRName":"BIOTECHNOLOGY & APPLIED MICROBIOLOGY","Score":null,"Total":0}
引用次数: 0

Abstract

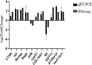
To elucidate the molecular mechanisms by which grass carp respond to high-concentration NaHCO3 stress, this study employed RNA-sequencing technology to perform transcriptome analysis on the gill and liver tissues of the treatment group with 30 mmol/L NaHCO3 and the control group (0 mmol/L). Through sequencing of 12 libraries constructed from 6 gill samples and 6 liver samples, a total of 41.86 GB of high-quality data from gill tissues and 41.49 GB of high-quality data from liver tissues were obtained. The analysis revealed that there were 1223 and 439 significantly differentially expressed genes (DEGs) in the gill and liver tissues, respectively, under NaHCO3 stress. Functional enrichment (GO) analysis indicated that grass carp respond to alkaline stress by regulating biological processes such as protein hydrolysis, ATP-binding activity, and lipid metabolism. Pathway (KEGG) analysis further revealed that immune-related signaling pathways were significantly activated to resist external stress, and the elevation of energy metabolism levels may provide necessary support for the stress-resistance process. This study systematically revealed the molecular adaptation strategies of grass carp in a high-alkali environment, providing an important theoretical basis for the molecular breeding of saline-alkali-tolerant grass carp varieties and the research on stress-resistance mechanisms.

Abstract Image

Abstract Image

转录组学分析揭示高nahco3胁迫下草鱼鳃和肝脏的关键调控途径
为了阐明草鱼对高浓度NaHCO3胁迫的分子机制,本研究采用rna测序技术对30 mmol/L NaHCO3处理组和0 mmol/L对照组的鳃和肝脏组织进行转录组分析。通过对6个鳃样本和6个肝脏样本构建的12个文库进行测序,共获得鳃组织高质量数据41.86 GB,肝组织高质量数据41.49 GB。结果显示,在NaHCO3胁迫下,鳃和肝组织中分别有1223个和439个显著差异表达基因(deg)。功能富集(GO)分析表明,草鱼通过调节蛋白质水解、atp结合活性和脂质代谢等生物过程来应对碱性胁迫。Pathway (KEGG)分析进一步揭示免疫相关信号通路被显著激活以抵抗外部应激,能量代谢水平的升高可能为应激抵抗过程提供必要的支持。本研究系统揭示了草鱼在高碱环境下的分子适应策略,为耐盐碱草鱼品种的分子选育和抗逆性机制的研究提供了重要的理论依据。
本文章由计算机程序翻译,如有差异,请以英文原文为准。
求助全文
约1分钟内获得全文 求助全文
来源期刊
Marine Biotechnology
Marine Biotechnology 工程技术-海洋与淡水生物学
CiteScore
4.80
自引率
3.30%
发文量
95
审稿时长
2 months
期刊介绍: Marine Biotechnology welcomes high-quality research papers presenting novel data on the biotechnology of aquatic organisms. The journal publishes high quality papers in the areas of molecular biology, genomics, proteomics, cell biology, and biochemistry, and particularly encourages submissions of papers related to genome biology such as linkage mapping, large-scale gene discoveries, QTL analysis, physical mapping, and comparative and functional genome analysis. Papers on technological development and marine natural products should demonstrate innovation and novel applications.
×
引用
GB/T 7714-2015
复制
MLA
复制
APA
复制
导出至
BibTeX EndNote RefMan NoteFirst NoteExpress
×
提示
您的信息不完整,为了账户安全,请先补充。
现在去补充
×
提示
您因"违规操作"
具体请查看互助需知
我知道了
×
提示
确定
请完成安全验证×
copy
已复制链接
快去分享给好友吧!
我知道了
右上角分享
点击右上角分享
0
联系我们:info@booksci.cn Book学术提供免费学术资源搜索服务,方便国内外学者检索中英文文献。致力于提供最便捷和优质的服务体验。 Copyright © 2023 布克学术 All rights reserved.
京ICP备2023020795号-1
ghs 京公网安备 11010802042870号
Book学术文献互助
Book学术文献互助群
群 号:604180095
Book学术官方微信