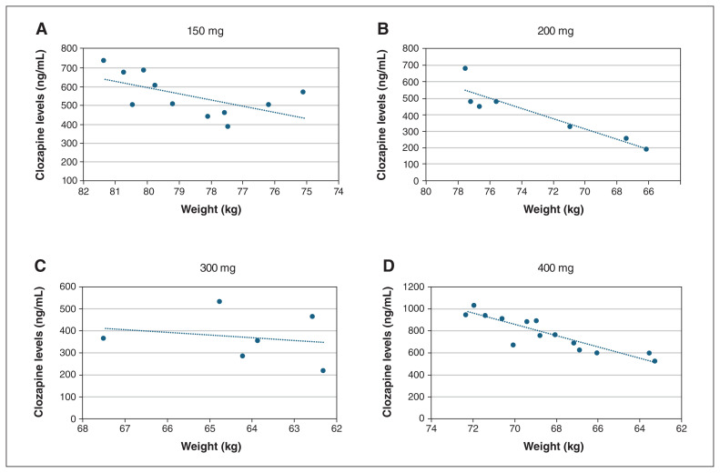
Weight loss leading to reduction in clozapine levels and symptomatic worsening.

IF 3.3 2区 医学 Q2 NEUROSCIENCES
Journal of Psychiatry & Neuroscience Pub Date : 2025-08-14 Print Date: 2025-07-01 DOI:10.1503/jpn.250076
Akash Prasanna Kumar, Sang Ik Song, Margaret Hahn, Robert Zipursky, Gary Remington, Sri Mahavir Agarwal
{"title":"Weight loss leading to reduction in clozapine levels and symptomatic worsening.","authors":"Akash Prasanna Kumar, Sang Ik Song, Margaret Hahn, Robert Zipursky, Gary Remington, Sri Mahavir Agarwal","doi":"10.1503/jpn.250076","DOIUrl":null,"url":null,"abstract":"","PeriodicalId":50073,"journal":{"name":"Journal of Psychiatry & Neuroscience","volume":"50 4","pages":"E275-E276"},"PeriodicalIF":3.3000,"publicationDate":"2025-08-14","publicationTypes":"Journal Article","fieldsOfStudy":null,"isOpenAccess":false,"openAccessPdf":"https://www.ncbi.nlm.nih.gov/pmc/articles/PMC12364440/pdf/","citationCount":"0","resultStr":null,"platform":"Semanticscholar","paperid":null,"PeriodicalName":"Journal of Psychiatry & Neuroscience","FirstCategoryId":"3","ListUrlMain":"https://doi.org/10.1503/jpn.250076","RegionNum":2,"RegionCategory":"医学","ArticlePicture":[],"TitleCN":null,"AbstractTextCN":null,"PMCID":null,"EPubDate":"2025/7/1 0:00:00","PubModel":"Print","JCR":"Q2","JCRName":"NEUROSCIENCES","Score":null,"Total":0}
引用次数: 0

Abstract Image

体重减轻导致氯氮平水平降低和症状恶化。
本文章由计算机程序翻译,如有差异,请以英文原文为准。
求助全文
约1分钟内获得全文 求助全文
来源期刊
CiteScore
6.80
自引率
2.30%
发文量
51
审稿时长
2 months
期刊介绍: The Journal of Psychiatry & Neuroscience publishes papers at the intersection of psychiatry and neuroscience that advance our understanding of the neural mechanisms involved in the etiology and treatment of psychiatric disorders. This includes studies on patients with psychiatric disorders, healthy humans, and experimental animals as well as studies in vitro. Original research articles, including clinical trials with a mechanistic component, and review papers will be considered.
×
引用
GB/T 7714-2015
复制
MLA
复制
APA
复制
导出至
BibTeX EndNote RefMan NoteFirst NoteExpress
×
提示
您的信息不完整,为了账户安全,请先补充。
现在去补充
×
提示
您因"违规操作"
具体请查看互助需知
我知道了
×
提示
确定
请完成安全验证×
copy
已复制链接
快去分享给好友吧!
我知道了
右上角分享
点击右上角分享
0
联系我们:info@booksci.cn Book学术提供免费学术资源搜索服务,方便国内外学者检索中英文文献。致力于提供最便捷和优质的服务体验。 Copyright © 2023 布克学术 All rights reserved.
京ICP备2023020795号-1
ghs 京公网安备 11010802042870号
Book学术文献互助
Book学术文献互助群
群 号:604180095
Book学术官方微信