Fallow deer approaching humans are more likely to be seropositive for Toxoplasma gondii.

IF 2.9 3区 综合性期刊 Q1 MULTIDISCIPLINARY SCIENCES
Royal Society Open Science Pub Date : 2025-08-13 eCollection Date: 2025-08-01 DOI:10.1098/rsos.250159
Andrew R Ryan, Annetta Zintl, Laura L Griffin, Amy Haigh, Matthew Quinn, Pietro Sabbatini, Bawan Amin, Simone Ciuti
{"title":"Fallow deer approaching humans are more likely to be seropositive for <i>Toxoplasma gondii</i>.","authors":"Andrew R Ryan, Annetta Zintl, Laura L Griffin, Amy Haigh, Matthew Quinn, Pietro Sabbatini, Bawan Amin, Simone Ciuti","doi":"10.1098/rsos.250159","DOIUrl":null,"url":null,"abstract":"<p><p><i>Toxoplasma gondii</i> infection has been linked to dampening hosts anti-predator behaviour particularly in laboratory conditions with rodents. Little is known about the role of <i>T. gondii</i> within more complex ecological contexts involving large mammals. Therefore, we aimed to determine the prevalence of <i>T. gondii</i> infection in a population of free-living fallow deer (<i>Dama dama</i>). In addition, we assessed whether there was a link between deer seropositivity and space use where deer may be more likely to be exposed to <i>T. gondii</i> (e.g. closer to human infrastructure). Finally, we determined whether infection with <i>T. gondii</i> was linked to deer risk-taking behaviour. To achieve our goals, we estimated seropositivity and combined it with spatial distribution and behavioural data of individually recognizable deer ranging from those that avoid humans (risk avoiders) to those who beg for food (risk takers). We found <i>T. gondii</i> to be quite widespread in this population with a seropositivity rate of approximately 20%. We found no correlation between <i>T. gondii</i> seropositivity and space use in the park, therefore we were unable to determine how the deer were exposed. We did however find that seropositive deer were also more likely to take risks, opening new avenues to explore <i>T. gondii</i>'s dynamics in the wild.</p>","PeriodicalId":21525,"journal":{"name":"Royal Society Open Science","volume":"12 8","pages":"250159"},"PeriodicalIF":2.9000,"publicationDate":"2025-08-13","publicationTypes":"Journal Article","fieldsOfStudy":null,"isOpenAccess":false,"openAccessPdf":"https://www.ncbi.nlm.nih.gov/pmc/articles/PMC12344287/pdf/","citationCount":"0","resultStr":null,"platform":"Semanticscholar","paperid":null,"PeriodicalName":"Royal Society Open Science","FirstCategoryId":"103","ListUrlMain":"https://doi.org/10.1098/rsos.250159","RegionNum":3,"RegionCategory":"综合性期刊","ArticlePicture":[],"TitleCN":null,"AbstractTextCN":null,"PMCID":null,"EPubDate":"2025/8/1 0:00:00","PubModel":"eCollection","JCR":"Q1","JCRName":"MULTIDISCIPLINARY SCIENCES","Score":null,"Total":0}
引用次数: 0

Abstract

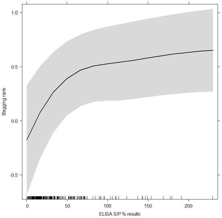
Toxoplasma gondii infection has been linked to dampening hosts anti-predator behaviour particularly in laboratory conditions with rodents. Little is known about the role of T. gondii within more complex ecological contexts involving large mammals. Therefore, we aimed to determine the prevalence of T. gondii infection in a population of free-living fallow deer (Dama dama). In addition, we assessed whether there was a link between deer seropositivity and space use where deer may be more likely to be exposed to T. gondii (e.g. closer to human infrastructure). Finally, we determined whether infection with T. gondii was linked to deer risk-taking behaviour. To achieve our goals, we estimated seropositivity and combined it with spatial distribution and behavioural data of individually recognizable deer ranging from those that avoid humans (risk avoiders) to those who beg for food (risk takers). We found T. gondii to be quite widespread in this population with a seropositivity rate of approximately 20%. We found no correlation between T. gondii seropositivity and space use in the park, therefore we were unable to determine how the deer were exposed. We did however find that seropositive deer were also more likely to take risks, opening new avenues to explore T. gondii's dynamics in the wild.

Abstract Image

Abstract Image

Abstract Image

接近人类的黇鹿更有可能对刚地弓形虫呈血清阳性。
刚地弓形虫感染与抑制宿主的反捕食行为有关,特别是在实验室条件下与啮齿动物一起。关于弓形虫在涉及大型哺乳动物的更复杂的生态环境中的作用,我们所知甚少。因此,我们的目的是确定弓形虫感染在自由生活的黇鹿(Dama Dama)群体中的流行程度。此外,我们评估了鹿血清阳性与鹿可能更容易暴露于弓形虫的空间使用之间是否存在联系(例如,鹿更接近人类基础设施)。最后,我们确定了弓形虫感染是否与鹿的冒险行为有关。为了实现我们的目标,我们估计了血清阳性,并将其与个体可识别的鹿的空间分布和行为数据相结合,从那些避开人类的鹿(风险规避者)到那些乞讨食物的鹿(冒险者)。我们发现弓形虫在该人群中分布广泛,血清阳性率约为20%。我们没有发现弓形虫血清阳性与公园的空间使用之间的相关性,因此我们无法确定鹿是如何暴露的。然而,我们确实发现血清阳性的鹿也更有可能冒险,为探索野外弓形虫的动态开辟了新的途径。
本文章由计算机程序翻译,如有差异,请以英文原文为准。
求助全文
约1分钟内获得全文 求助全文
来源期刊
Royal Society Open Science
Royal Society Open Science Multidisciplinary-Multidisciplinary
CiteScore
6.00
自引率
0.00%
发文量
508
审稿时长
14 weeks
期刊介绍: Royal Society Open Science is a new open journal publishing high-quality original research across the entire range of science on the basis of objective peer-review. The journal covers the entire range of science and mathematics and will allow the Society to publish all the high-quality work it receives without the usual restrictions on scope, length or impact.
×
引用
GB/T 7714-2015
复制
MLA
复制
APA
复制
导出至
BibTeX EndNote RefMan NoteFirst NoteExpress
×
提示
您的信息不完整,为了账户安全,请先补充。
现在去补充
×
提示
您因"违规操作"
具体请查看互助需知
我知道了
×
提示
确定
请完成安全验证×
copy
已复制链接
快去分享给好友吧!
我知道了
右上角分享
点击右上角分享
0
联系我们:info@booksci.cn Book学术提供免费学术资源搜索服务,方便国内外学者检索中英文文献。致力于提供最便捷和优质的服务体验。 Copyright © 2023 布克学术 All rights reserved.
京ICP备2023020795号-1
ghs 京公网安备 11010802042870号
Book学术文献互助
Book学术文献互助群
群 号:604180095
Book学术官方微信