Combining Plant Bioactives With Antibiotics for Enhanced Antibiofilm Activity Against Uropathogenic Staphylococcus spp. and Cytotoxicity Evaluation.

IF 3 Q3 PHARMACOLOGY & PHARMACY
Advances in Pharmacological and Pharmaceutical Sciences Pub Date : 2025-08-04 eCollection Date: 2025-01-01 DOI:10.1155/adpp/7461209
Ulrich Joël Tsopmene, Christian Ramsès Kuate Tokam, Larissa Yetendje Chimi, Nathalie Boulens, Eric Allémann, Florence Delie, Clautilde Teugwa Mofor, Jean Paul Dzoyem
{"title":"Combining Plant Bioactives With Antibiotics for Enhanced Antibiofilm Activity Against Uropathogenic <i>Staphylococcus</i> spp. and Cytotoxicity Evaluation.","authors":"Ulrich Joël Tsopmene, Christian Ramsès Kuate Tokam, Larissa Yetendje Chimi, Nathalie Boulens, Eric Allémann, Florence Delie, Clautilde Teugwa Mofor, Jean Paul Dzoyem","doi":"10.1155/adpp/7461209","DOIUrl":null,"url":null,"abstract":"<p><p>Urinary tract infections (UTIs) are one of the most important causes of morbidity and healthcare spending. Combination therapy is the treatment of choice for biofilm-associated infections due to the simultaneous action of two drugs on two separate cellular targets and their safety. This study aimed to evaluate the effect of the combination of some bioactive natural products with conventional antibiotics against the biofilm of uropathogenic <i>Staphylococcus</i> spp. Antibacterial and antibiofilm activities were determined by the broth microdilution test. The checkerboard method was used for combination studies. The cytotoxicity of the best synergistic combinations was evaluated on Raw 264.7 macrophage cells and urinary epithelial cells (UROtsa) using the 3-(4,5-dimethylthiazol-2-yl)-2,5-diphenyltetrazolium bromide (MTT) assay. Plumbagin also showed the best biofilm-inhibiting and eradicating activities compared to curcumin, berberine, thymol, quercetin, and gallic acid. The best synergistic combinations against biofilm inhibition and eradication were C1: cefixime (5.33 µg/mL) + thymol (32 µg/mL); C2: cefazolin (1.16 µg/mL) + thymol (21.33 µg/mL); C3: amikacin (0.18 µg/mL) + curcumin (37.33 µg/mL); C4: kanamycin (0.25 µg/mL) + curcumin (14 µg/mL); and C5: amoxicillin (1.16 µg/mL) + curcumin (21.33 µg/mL). Time-kill studies revealed that the highest antibiofilm activities of the best combinations were observed at 24 h. Eradication activities were more significant than inhibitory activities. Compared to C3, C4, and C5 combinations, C1 and C2 combinations showed less cytotoxicity against the two tested cell lines UROtsa and Raw 264.7. This study shows that the best antibiofilm synergistic effect was obtained with the combination of thymol with cefixime and cefazolin, associated with low cytotoxicity. These associations could be considered potential candidates for the development of combination therapies against <i>Staphylococcus</i> spp. biofilm-associated infections. While this study demonstrates promising <i>in vitro</i> results, further <i>in vivo</i> validation is necessary to confirm the efficacy and safety. Additionally, mechanistic studies are needed to understand the synergistic pathways, and future research should address scalability and formulation for clinical use.</p>","PeriodicalId":7369,"journal":{"name":"Advances in Pharmacological and Pharmaceutical Sciences","volume":"2025 ","pages":"7461209"},"PeriodicalIF":3.0000,"publicationDate":"2025-08-04","publicationTypes":"Journal Article","fieldsOfStudy":null,"isOpenAccess":false,"openAccessPdf":"https://www.ncbi.nlm.nih.gov/pmc/articles/PMC12339163/pdf/","citationCount":"0","resultStr":null,"platform":"Semanticscholar","paperid":null,"PeriodicalName":"Advances in Pharmacological and Pharmaceutical Sciences","FirstCategoryId":"1085","ListUrlMain":"https://doi.org/10.1155/adpp/7461209","RegionNum":0,"RegionCategory":null,"ArticlePicture":[],"TitleCN":null,"AbstractTextCN":null,"PMCID":null,"EPubDate":"2025/1/1 0:00:00","PubModel":"eCollection","JCR":"Q3","JCRName":"PHARMACOLOGY & PHARMACY","Score":null,"Total":0}
引用次数: 0

Abstract

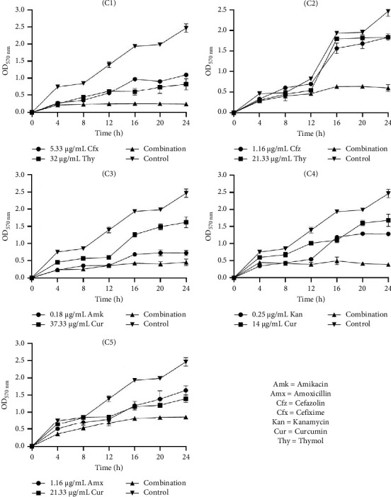
Urinary tract infections (UTIs) are one of the most important causes of morbidity and healthcare spending. Combination therapy is the treatment of choice for biofilm-associated infections due to the simultaneous action of two drugs on two separate cellular targets and their safety. This study aimed to evaluate the effect of the combination of some bioactive natural products with conventional antibiotics against the biofilm of uropathogenic Staphylococcus spp. Antibacterial and antibiofilm activities were determined by the broth microdilution test. The checkerboard method was used for combination studies. The cytotoxicity of the best synergistic combinations was evaluated on Raw 264.7 macrophage cells and urinary epithelial cells (UROtsa) using the 3-(4,5-dimethylthiazol-2-yl)-2,5-diphenyltetrazolium bromide (MTT) assay. Plumbagin also showed the best biofilm-inhibiting and eradicating activities compared to curcumin, berberine, thymol, quercetin, and gallic acid. The best synergistic combinations against biofilm inhibition and eradication were C1: cefixime (5.33 µg/mL) + thymol (32 µg/mL); C2: cefazolin (1.16 µg/mL) + thymol (21.33 µg/mL); C3: amikacin (0.18 µg/mL) + curcumin (37.33 µg/mL); C4: kanamycin (0.25 µg/mL) + curcumin (14 µg/mL); and C5: amoxicillin (1.16 µg/mL) + curcumin (21.33 µg/mL). Time-kill studies revealed that the highest antibiofilm activities of the best combinations were observed at 24 h. Eradication activities were more significant than inhibitory activities. Compared to C3, C4, and C5 combinations, C1 and C2 combinations showed less cytotoxicity against the two tested cell lines UROtsa and Raw 264.7. This study shows that the best antibiofilm synergistic effect was obtained with the combination of thymol with cefixime and cefazolin, associated with low cytotoxicity. These associations could be considered potential candidates for the development of combination therapies against Staphylococcus spp. biofilm-associated infections. While this study demonstrates promising in vitro results, further in vivo validation is necessary to confirm the efficacy and safety. Additionally, mechanistic studies are needed to understand the synergistic pathways, and future research should address scalability and formulation for clinical use.

Abstract Image

Abstract Image

Abstract Image

植物生物活性与抗生素联合增强抗菌膜抗尿源性葡萄球菌活性及细胞毒性评价
尿路感染(uti)是发病率和医疗保健支出的最重要原因之一。联合治疗是生物膜相关感染的治疗选择,因为两种药物同时作用于两个单独的细胞靶点,并且它们的安全性。本研究旨在评价几种具有生物活性的天然产物与常规抗生素联合使用对尿源性葡萄球菌生物膜的抑制作用,并采用微稀释试验测定其抑菌活性和抗生物膜活性。采用棋盘法进行联合研究。采用3-(4,5-二甲基噻唑-2-酰基)-2,5-二苯基溴化四唑(MTT)试验,评价最佳协同组合对Raw 264.7巨噬细胞和尿上皮细胞(UROtsa)的细胞毒性。与姜黄素、小檗碱、百里酚、槲皮素和没食子酸相比,白丹素具有较好的生物膜抑制和根除活性。抑制和根除生物膜的最佳协同组合为C1:头孢克肟(5.33µg/mL) +百里香酚(32µg/mL);C2:头孢唑林(1.16µg / mL) +百里酚(21.33µg / mL);C3:阿米卡星(0.18µg / mL) +姜黄素(37.33µg / mL);C4:卡那霉素(0.25µg / mL) +姜黄素(14µg / mL);C5:阿莫西林(1.16µg/mL) +姜黄素(21.33µg/mL)。时间杀伤研究表明,最佳组合的抗膜活性在24 h时达到最高。根除活性比抑制活性更显著。与C3、C4和C5组合相比,C1和C2组合对两种被试细胞系UROtsa和Raw 264.7的细胞毒性较小。本研究表明,百里香酚与头孢克肟和头孢唑林联合使用抗菌膜增效效果最好,且细胞毒性低。这些关联可以被认为是开发针对葡萄球菌生物膜相关感染的联合治疗的潜在候选。虽然这项研究显示了有希望的体外结果,但还需要进一步的体内验证来确认其有效性和安全性。此外,需要进行机制研究以了解协同作用途径,未来的研究应解决临床应用的可扩展性和配方问题。
本文章由计算机程序翻译,如有差异,请以英文原文为准。
求助全文
约1分钟内获得全文 求助全文
来源期刊
CiteScore
4.30
自引率
3.60%
发文量
0
审稿时长
17 weeks
×
引用
GB/T 7714-2015
复制
MLA
复制
APA
复制
导出至
BibTeX EndNote RefMan NoteFirst NoteExpress
×
提示
您的信息不完整,为了账户安全,请先补充。
现在去补充
×
提示
您因"违规操作"
具体请查看互助需知
我知道了
×
提示
确定
请完成安全验证×
copy
已复制链接
快去分享给好友吧!
我知道了
右上角分享
点击右上角分享
0
联系我们:info@booksci.cn Book学术提供免费学术资源搜索服务,方便国内外学者检索中英文文献。致力于提供最便捷和优质的服务体验。 Copyright © 2023 布克学术 All rights reserved.
京ICP备2023020795号-1
ghs 京公网安备 11010802042870号
Book学术文献互助
Book学术文献互助群
群 号:604180095
Book学术官方微信