Temperature-Dependent Kinetics of the Reaction of the Criegee Intermediate CH2OO with Pyruvic Acid

IF 2.8 2区 化学 Q3 CHEMISTRY, PHYSICAL
Jonas J. Enders, Aaron W. Harrison and Craig Murray*, 
{"title":"Temperature-Dependent Kinetics of the Reaction of the Criegee Intermediate CH2OO with Pyruvic Acid","authors":"Jonas J. Enders,&nbsp;Aaron W. Harrison and Craig Murray*,&nbsp;","doi":"10.1021/acs.jpca.5c03374","DOIUrl":null,"url":null,"abstract":"<p >The kinetics of the reaction between formaldehyde oxide (CH<sub>2</sub>OO) and pyruvic acid (CH<sub>3</sub>COCOOH) has been investigated. Laser flash-photolysis-transient absorption spectroscopy measurements over the range <i>T</i> = 275–375 K were used to measure <i>T</i>-dependent bimolecular rate constants. The rate constants show non-Arrhenius behavior, initially increasing and subsequently decreasing with <i>T</i>. A maximum value of (21.4 ± 1.1) × 10<sup>–12</sup> cm<sup>3</sup> s<sup>–1</sup> was observed at 335 K. At room temperature (296 K), the rate constant was measured to be (19.5 ± 1.2) × 10<sup>–12</sup> cm<sup>3</sup> s<sup>–1</sup>, which is in line with the value expected for reaction of CH<sub>2</sub>OO with a substituted carbonyl and significantly smaller than typical values for reactions with carboxylic acids. Various pathways have been characterized by ab initio calculations at the CBS-QB3 level for reaction of CH<sub>2</sub>OO with the two lowest-energy conformers of pyruvic acid, labeled Tc and Tt. Both conformers can undergo 1,3-dipolar cycloaddition reactions at either carbonyl group to form secondary ozonides via submerged barriers. The presence of an internal H-bond in the more stable Tc conformer has a significant impact on reactivity, inhibiting the alternative 1,2-addition/insertion and 1,4-addition reaction pathways involving the OH or COOH groups, respectively, that occur more readily for the less stable Tt conformer and form hydroperoxymethylpyruvate ester. The unusual <i>T</i> dependence of the measured rate constants is attributed to the increasing thermal population of the less stable Tt conformer at higher <i>T</i>, and the availability of additional reaction pathways.</p>","PeriodicalId":59,"journal":{"name":"The Journal of Physical Chemistry A","volume":"129 33","pages":"7641–7652"},"PeriodicalIF":2.8000,"publicationDate":"2025-08-11","publicationTypes":"Journal Article","fieldsOfStudy":null,"isOpenAccess":false,"openAccessPdf":"","citationCount":"0","resultStr":null,"platform":"Semanticscholar","paperid":null,"PeriodicalName":"The Journal of Physical Chemistry A","FirstCategoryId":"1","ListUrlMain":"https://pubs.acs.org/doi/10.1021/acs.jpca.5c03374","RegionNum":2,"RegionCategory":"化学","ArticlePicture":[],"TitleCN":null,"AbstractTextCN":null,"PMCID":null,"EPubDate":"","PubModel":"","JCR":"Q3","JCRName":"CHEMISTRY, PHYSICAL","Score":null,"Total":0}
引用次数: 0

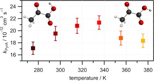
Abstract

The kinetics of the reaction between formaldehyde oxide (CH2OO) and pyruvic acid (CH3COCOOH) has been investigated. Laser flash-photolysis-transient absorption spectroscopy measurements over the range T = 275–375 K were used to measure T-dependent bimolecular rate constants. The rate constants show non-Arrhenius behavior, initially increasing and subsequently decreasing with T. A maximum value of (21.4 ± 1.1) × 10–12 cm3 s–1 was observed at 335 K. At room temperature (296 K), the rate constant was measured to be (19.5 ± 1.2) × 10–12 cm3 s–1, which is in line with the value expected for reaction of CH2OO with a substituted carbonyl and significantly smaller than typical values for reactions with carboxylic acids. Various pathways have been characterized by ab initio calculations at the CBS-QB3 level for reaction of CH2OO with the two lowest-energy conformers of pyruvic acid, labeled Tc and Tt. Both conformers can undergo 1,3-dipolar cycloaddition reactions at either carbonyl group to form secondary ozonides via submerged barriers. The presence of an internal H-bond in the more stable Tc conformer has a significant impact on reactivity, inhibiting the alternative 1,2-addition/insertion and 1,4-addition reaction pathways involving the OH or COOH groups, respectively, that occur more readily for the less stable Tt conformer and form hydroperoxymethylpyruvate ester. The unusual T dependence of the measured rate constants is attributed to the increasing thermal population of the less stable Tt conformer at higher T, and the availability of additional reaction pathways.

Abstract Image

Criegee中间体ch220与丙酮酸反应的温度依赖性动力学。
研究了甲醛氧化物(ch2o)与丙酮酸(ch3cooh)的反应动力学。在T = 275-375 K范围内,激光闪光-光解-瞬态吸收光谱测量用于测量T依赖的双分子速率常数。速率常数随温度的升高先增大后减小,在335 K时达到最大值(21.4±1.1)× 10-12 cm3 s-1。在室温(296 K)下,测得的反应速率常数为(19.5±1.2)× 10-12 cm3 s-1,与ch220与取代羰基反应的预期值一致,明显小于与羧酸反应的典型值。在CBS-QB3水平上对ch220与丙酮酸的两种最低能构象(标记为Tc和Tt)反应的各种途径进行了从头计算。这两种构象都可以在任一羰基上发生1,3-偶极环加成反应,通过淹没屏障形成二次臭氧。在较稳定的Tc构象中,内部氢键的存在对反应活性有显著影响,抑制了分别涉及OH或COOH基团的1,2加成/插入和1,4加成反应途径,而在较不稳定的Tt构象中,它们更容易发生并形成氢过氧甲基丙酮酸酯。测量速率常数的异常依赖于T,这是由于在较高T下不稳定的Tt构象的热密度增加,以及额外反应途径的可用性。
本文章由计算机程序翻译,如有差异,请以英文原文为准。
求助全文
约1分钟内获得全文 求助全文
来源期刊
The Journal of Physical Chemistry A
The Journal of Physical Chemistry A 化学-物理:原子、分子和化学物理
CiteScore
5.20
自引率
10.30%
发文量
922
审稿时长
1.3 months
期刊介绍: The Journal of Physical Chemistry A is devoted to reporting new and original experimental and theoretical basic research of interest to physical chemists, biophysical chemists, and chemical physicists.
×
引用
GB/T 7714-2015
复制
MLA
复制
APA
复制
导出至
BibTeX EndNote RefMan NoteFirst NoteExpress
×
提示
您的信息不完整,为了账户安全,请先补充。
现在去补充
×
提示
您因"违规操作"
具体请查看互助需知
我知道了
×
提示
确定
请完成安全验证×
copy
已复制链接
快去分享给好友吧!
我知道了
右上角分享
点击右上角分享
0
联系我们:info@booksci.cn Book学术提供免费学术资源搜索服务,方便国内外学者检索中英文文献。致力于提供最便捷和优质的服务体验。 Copyright © 2023 布克学术 All rights reserved.
京ICP备2023020795号-1
ghs 京公网安备 11010802042870号
Book学术文献互助
Book学术文献互助群
群 号:604180095
Book学术官方微信