Effectiveness of steroids and antiviral agents in the treatment of Bell's palsy.

Q2 Medicine
Medicine and Pharmacy Reports Pub Date : 2025-07-01 Epub Date: 2025-07-30 DOI:10.15386/mpr-2786
Christos Sialakis, Aikaterini Frantzana, Christos Iliadis, Peter Ouzounakis, Lambrini Kourkouta
{"title":"Effectiveness of steroids and antiviral agents in the treatment of Bell's palsy.","authors":"Christos Sialakis, Aikaterini Frantzana, Christos Iliadis, Peter Ouzounakis, Lambrini Kourkouta","doi":"10.15386/mpr-2786","DOIUrl":null,"url":null,"abstract":"<p><strong>Background: </strong>This study aims to investigate the effectiveness of steroids plus antivirals versus steroids alone in the treatment of Bell's palsy. Due to conflicting results in the existing literature, we conducted this meta-analysis to synthesize the available evidence and extract a more complete conclusion.</p><p><strong>Methods: </strong>We searched electronic databases PubMed, CINAHL, ScienceDirect, MEDLINE, OVID, and Scopus. The last search was performed on March 2024. In this study, 7 randomized controlled trials were included. We used random and fixed effects for sensitivity analysis for each outcome, and we further proceeded to perform a Bayesian meta-analysis using priors and calculate the posterior distribution.</p><p><strong>Results: </strong>Performing frequentist meta-analysis, both the random and fixed effects showed statistical significance, indicating the superiority of the combination treatment. The random log odds ratio was 0.5865 [95% CI: 0.0141 to 1.1589 and the Back-Transform Log Odds Ratio to Odds Ratio was 1.798 [95% CI: 1.014 to 3.186]. The fixed effect log odds ratio was 0.4377 [95%CI: 0.0819 to 0.7934] and the Back-Transform Log Odds Ratio to Odds Ratio was 1.549 [95% CI:1.085 to 2.211]. Neither the rank correlation nor the regression test in both models indicated any funnel plot asymmetry and publication bias.Performing Bayesian meta-analysis, in the posterior distribution the model-averaged log odds ratio was 0.26 [0.00 to 0.90], showing no statistically significant results, as the log odds ratio contains the zero. The inclusion Bayes Factor (BF) for the effect was 1.225 showing anecdotal supporting evidence for the combination treatment. The inclusion BF for the heterogeneity was 0.979, showing no support for its existence in the analysis and the inclusion BF for the publication bias was 0.622, a lower of 1, indicating evidence of its absence in the analysis.</p><p><strong>Conclusions: </strong>The combination of steroids plus an antiviral agent, is more efficacious than steroid monotherapy in treating Bell's palsy. This conclusion is supported by frequentist analysis, but not by the Bayesian approach as the Bayesian meta-analysis was inconclusive, suggesting some uncertainty in the effect size but this could be due to priors influence. Further research with advanced syntheses such as network and Bayesian meta-analysis is needed as well as more double-blinded randomized controlled trials.</p>","PeriodicalId":18438,"journal":{"name":"Medicine and Pharmacy Reports","volume":"98 3","pages":"267-282"},"PeriodicalIF":0.0000,"publicationDate":"2025-07-01","publicationTypes":"Journal Article","fieldsOfStudy":null,"isOpenAccess":false,"openAccessPdf":"https://www.ncbi.nlm.nih.gov/pmc/articles/PMC12334240/pdf/","citationCount":"0","resultStr":null,"platform":"Semanticscholar","paperid":null,"PeriodicalName":"Medicine and Pharmacy Reports","FirstCategoryId":"1085","ListUrlMain":"https://doi.org/10.15386/mpr-2786","RegionNum":0,"RegionCategory":null,"ArticlePicture":[],"TitleCN":null,"AbstractTextCN":null,"PMCID":null,"EPubDate":"2025/7/30 0:00:00","PubModel":"Epub","JCR":"Q2","JCRName":"Medicine","Score":null,"Total":0}
引用次数: 0

Abstract

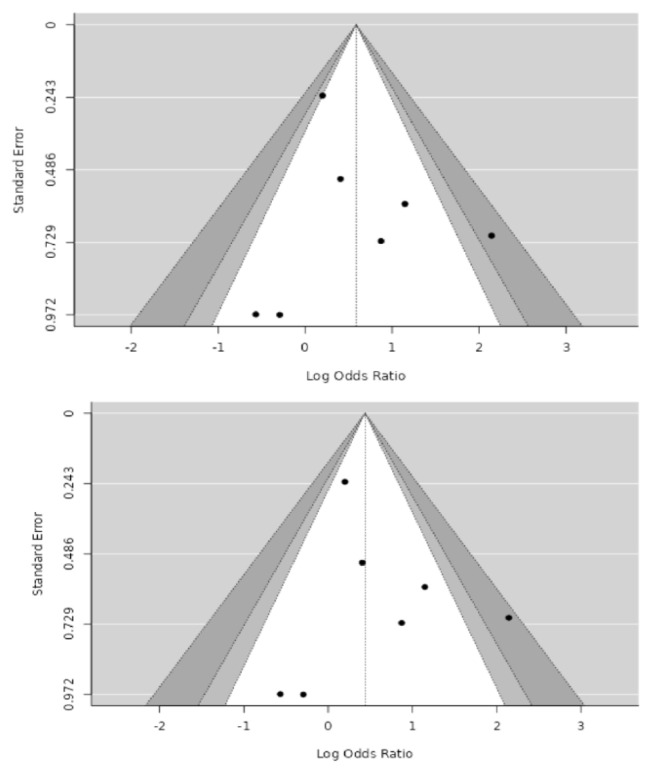
Background: This study aims to investigate the effectiveness of steroids plus antivirals versus steroids alone in the treatment of Bell's palsy. Due to conflicting results in the existing literature, we conducted this meta-analysis to synthesize the available evidence and extract a more complete conclusion.

Methods: We searched electronic databases PubMed, CINAHL, ScienceDirect, MEDLINE, OVID, and Scopus. The last search was performed on March 2024. In this study, 7 randomized controlled trials were included. We used random and fixed effects for sensitivity analysis for each outcome, and we further proceeded to perform a Bayesian meta-analysis using priors and calculate the posterior distribution.

Results: Performing frequentist meta-analysis, both the random and fixed effects showed statistical significance, indicating the superiority of the combination treatment. The random log odds ratio was 0.5865 [95% CI: 0.0141 to 1.1589 and the Back-Transform Log Odds Ratio to Odds Ratio was 1.798 [95% CI: 1.014 to 3.186]. The fixed effect log odds ratio was 0.4377 [95%CI: 0.0819 to 0.7934] and the Back-Transform Log Odds Ratio to Odds Ratio was 1.549 [95% CI:1.085 to 2.211]. Neither the rank correlation nor the regression test in both models indicated any funnel plot asymmetry and publication bias.Performing Bayesian meta-analysis, in the posterior distribution the model-averaged log odds ratio was 0.26 [0.00 to 0.90], showing no statistically significant results, as the log odds ratio contains the zero. The inclusion Bayes Factor (BF) for the effect was 1.225 showing anecdotal supporting evidence for the combination treatment. The inclusion BF for the heterogeneity was 0.979, showing no support for its existence in the analysis and the inclusion BF for the publication bias was 0.622, a lower of 1, indicating evidence of its absence in the analysis.

Conclusions: The combination of steroids plus an antiviral agent, is more efficacious than steroid monotherapy in treating Bell's palsy. This conclusion is supported by frequentist analysis, but not by the Bayesian approach as the Bayesian meta-analysis was inconclusive, suggesting some uncertainty in the effect size but this could be due to priors influence. Further research with advanced syntheses such as network and Bayesian meta-analysis is needed as well as more double-blinded randomized controlled trials.

Abstract Image

Abstract Image

Abstract Image

类固醇和抗病毒药物治疗贝尔氏麻痹的有效性。
背景:本研究旨在探讨类固醇联合抗病毒药物与单独类固醇治疗贝尔氏麻痹的疗效。由于现有文献的结果相互矛盾,我们进行了这项荟萃分析,以综合现有证据并提取更完整的结论。方法:检索PubMed、CINAHL、ScienceDirect、MEDLINE、OVID、Scopus等电子数据库。最后一次搜索是在2024年3月。本研究纳入7项随机对照试验。我们使用随机和固定效应对每个结果进行敏感性分析,并进一步使用先验进行贝叶斯荟萃分析并计算后验分布。结果:经频元分析,随机效应和固定效应均有统计学意义,表明联合治疗的优越性。随机对数比值比为0.5865 [95% CI: 0.0141 ~ 1.1589],反向变换对数比值比为1.798 [95% CI: 1.014 ~ 3.186]。固定效应对数比值比为0.4377 [95%CI: 0.0819 ~ 0.7934],反变换对数比值比为1.549 [95%CI: 1.085 ~ 2.211]。两个模型的秩相关和回归检验均未显示漏斗图不对称和发表偏倚。通过贝叶斯元分析,在后验分布中,模型平均对数优势比为0.26[0.00 ~ 0.90],由于对数优势比中包含零,故结果无统计学意义。该效果的纳入贝叶斯因子(BF)为1.225,显示了联合治疗的轶事支持证据。异质性的纳入BF为0.979,不支持异质性在分析中存在;发表偏倚的纳入BF为0.622,低于1,表明分析中不存在异质性。结论:类固醇联合抗病毒药物治疗贝尔麻痹比类固醇单药治疗更有效。这一结论得到了频率分析的支持,但没有得到贝叶斯方法的支持,因为贝叶斯荟萃分析是不确定的,这表明效应大小存在一些不确定性,但这可能是由于先前的影响。需要进一步的研究,如网络和贝叶斯元分析等先进的综合,以及更多的双盲随机对照试验。
本文章由计算机程序翻译,如有差异,请以英文原文为准。
求助全文
约1分钟内获得全文 求助全文
来源期刊
Medicine and Pharmacy Reports
Medicine and Pharmacy Reports Medicine-Medicine (all)
CiteScore
3.10
自引率
0.00%
发文量
63
×
引用
GB/T 7714-2015
复制
MLA
复制
APA
复制
导出至
BibTeX EndNote RefMan NoteFirst NoteExpress
×
提示
您的信息不完整,为了账户安全,请先补充。
现在去补充
×
提示
您因"违规操作"
具体请查看互助需知
我知道了
×
提示
确定
请完成安全验证×
copy
已复制链接
快去分享给好友吧!
我知道了
右上角分享
点击右上角分享
0
联系我们:info@booksci.cn Book学术提供免费学术资源搜索服务,方便国内外学者检索中英文文献。致力于提供最便捷和优质的服务体验。 Copyright © 2023 布克学术 All rights reserved.
京ICP备2023020795号-1
ghs 京公网安备 11010802042870号
Book学术文献互助
Book学术文献互助群
群 号:604180095
Book学术官方微信