Development and Cross-Institutional Validation of a Comprehensive Machine Learning Model Predicting Response to Neoadjuvant Therapy for Rectal Cancer.

IF 2.6 4区 医学 Q3 ONCOLOGY
Cancer Management and Research Pub Date : 2025-08-05 eCollection Date: 2025-01-01 DOI:10.2147/CMAR.S517949
Sha Li, Zhengxian Li, Shuai Li, Ping Jiang, Hongbin Han, Yibao Zhang, Yanye Lu
{"title":"Development and Cross-Institutional Validation of a Comprehensive Machine Learning Model Predicting Response to Neoadjuvant Therapy for Rectal Cancer.","authors":"Sha Li, Zhengxian Li, Shuai Li, Ping Jiang, Hongbin Han, Yibao Zhang, Yanye Lu","doi":"10.2147/CMAR.S517949","DOIUrl":null,"url":null,"abstract":"<p><strong>Objective: </strong>Accurately identifying patients achieving pathological complete response (pCR) after neoadjuvant chemoradiotherapy (nCRT) for locally advanced rectal cancer (LARC) not only ensures treatment efficacy but also helps avoid surgical risks. We developed a comprehensive multi-omics model to predict pCR before surgery.</p><p><strong>Methods: </strong>Clinical data, CT, MRI-T1WI and MRI-T2WI, and radiotherapy dose were collected from 183 LARC patients who underwent preoperative nCRT. Backward stepwise selection, logistic regression, and five-fold cross-validation were employed for the development and validation of a non-imaging model, three radiomics-based models and a dosiomics-based model. These were integrated into a final model, and its performance was tested on multi-center sets.</p><p><strong>Results: </strong>C_model, based on clinical characteristics, achieved an AUC of 0.85 in the validation set. Radiomics models (CT_model, T1_model, T2_model) exhibited AUCs of 0.66, 0.67, and 0.64, respectively. Dosiomics-based model, D_model, achieved an AUC of 0.75 in validation. The mean AUCs for F_model in the training sets, validation sets, internal and external test sets were 0.90, 0.88, 0.77, and 0.74, respectively.</p><p><strong>Conclusion: </strong>To assess the efficacy of nCRT in LARC patients, it is crucial to consider clinical characteristics, followed by dosiomics. While T1_model, T2_model and CT_model demonstrate relatively comparable performance, each contributes unique value to the final prediction model.</p>","PeriodicalId":9479,"journal":{"name":"Cancer Management and Research","volume":"17 ","pages":"1563-1575"},"PeriodicalIF":2.6000,"publicationDate":"2025-08-05","publicationTypes":"Journal Article","fieldsOfStudy":null,"isOpenAccess":false,"openAccessPdf":"https://www.ncbi.nlm.nih.gov/pmc/articles/PMC12335272/pdf/","citationCount":"0","resultStr":null,"platform":"Semanticscholar","paperid":null,"PeriodicalName":"Cancer Management and Research","FirstCategoryId":"3","ListUrlMain":"https://doi.org/10.2147/CMAR.S517949","RegionNum":4,"RegionCategory":"医学","ArticlePicture":[],"TitleCN":null,"AbstractTextCN":null,"PMCID":null,"EPubDate":"2025/1/1 0:00:00","PubModel":"eCollection","JCR":"Q3","JCRName":"ONCOLOGY","Score":null,"Total":0}
引用次数: 0

Abstract

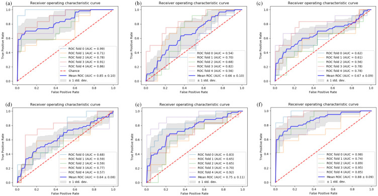
Objective: Accurately identifying patients achieving pathological complete response (pCR) after neoadjuvant chemoradiotherapy (nCRT) for locally advanced rectal cancer (LARC) not only ensures treatment efficacy but also helps avoid surgical risks. We developed a comprehensive multi-omics model to predict pCR before surgery.

Methods: Clinical data, CT, MRI-T1WI and MRI-T2WI, and radiotherapy dose were collected from 183 LARC patients who underwent preoperative nCRT. Backward stepwise selection, logistic regression, and five-fold cross-validation were employed for the development and validation of a non-imaging model, three radiomics-based models and a dosiomics-based model. These were integrated into a final model, and its performance was tested on multi-center sets.

Results: C_model, based on clinical characteristics, achieved an AUC of 0.85 in the validation set. Radiomics models (CT_model, T1_model, T2_model) exhibited AUCs of 0.66, 0.67, and 0.64, respectively. Dosiomics-based model, D_model, achieved an AUC of 0.75 in validation. The mean AUCs for F_model in the training sets, validation sets, internal and external test sets were 0.90, 0.88, 0.77, and 0.74, respectively.

Conclusion: To assess the efficacy of nCRT in LARC patients, it is crucial to consider clinical characteristics, followed by dosiomics. While T1_model, T2_model and CT_model demonstrate relatively comparable performance, each contributes unique value to the final prediction model.

Abstract Image

Abstract Image

Abstract Image

预测直肠癌新辅助治疗反应的综合机器学习模型的开发和跨机构验证。
目的:准确识别局部晚期直肠癌(LARC)新辅助放化疗(nCRT)术后达到病理完全缓解(pCR)的患者,不仅保证了治疗效果,也有助于避免手术风险。我们开发了一个全面的多组学模型来预测手术前的pCR。方法:收集183例LARC术前行nCRT的患者的临床资料、CT、MRI-T1WI、MRI-T2WI及放疗剂量。采用后向逐步选择、逻辑回归和五重交叉验证来开发和验证一个非成像模型、三个基于放射组学的模型和一个基于剂量组学的模型。将这些数据整合到最终模型中,并在多中心集上测试其性能。结果:基于临床特征的C_model在验证集中的AUC为0.85。放射组学模型(CT_model、t__model、T2_model) auc分别为0.66、0.67、0.64。基于剂量组学的模型D_model在验证中达到了0.75的AUC。F_model在训练集、验证集、内部和外部测试集中的平均auc分别为0.90、0.88、0.77和0.74。结论:评价nCRT对LARC患者的疗效,首先要考虑临床特点,其次是剂量组学。虽然t1 - model、T2_model和CT_model表现出相对可比的性能,但每个模型都为最终的预测模型贡献了独特的价值。
本文章由计算机程序翻译,如有差异,请以英文原文为准。
求助全文
约1分钟内获得全文 求助全文
来源期刊
Cancer Management and Research
Cancer Management and Research Medicine-Oncology
CiteScore
7.40
自引率
0.00%
发文量
448
审稿时长
16 weeks
期刊介绍: Cancer Management and Research is an international, peer reviewed, open access journal focusing on cancer research and the optimal use of preventative and integrated treatment interventions to achieve improved outcomes, enhanced survival, and quality of life for cancer patients. Specific topics covered in the journal include: ◦Epidemiology, detection and screening ◦Cellular research and biomarkers ◦Identification of biotargets and agents with novel mechanisms of action ◦Optimal clinical use of existing anticancer agents, including combination therapies ◦Radiation and surgery ◦Palliative care ◦Patient adherence, quality of life, satisfaction The journal welcomes submitted papers covering original research, basic science, clinical & epidemiological studies, reviews & evaluations, guidelines, expert opinion and commentary, and case series that shed novel insights on a disease or disease subtype.
×
引用
GB/T 7714-2015
复制
MLA
复制
APA
复制
导出至
BibTeX EndNote RefMan NoteFirst NoteExpress
×
提示
您的信息不完整,为了账户安全,请先补充。
现在去补充
×
提示
您因"违规操作"
具体请查看互助需知
我知道了
×
提示
确定
请完成安全验证×
copy
已复制链接
快去分享给好友吧!
我知道了
右上角分享
点击右上角分享
0
联系我们:info@booksci.cn Book学术提供免费学术资源搜索服务,方便国内外学者检索中英文文献。致力于提供最便捷和优质的服务体验。 Copyright © 2023 布克学术 All rights reserved.
京ICP备2023020795号-1
ghs 京公网安备 11010802042870号
Book学术文献互助
Book学术文献互助群
群 号:604180095
Book学术官方微信