Timing of adiposity rebound in children with congenital hypothyroidism diagnosed by newborn screening and treated with Levothyroxine.

IF 3.1 3区 医学 Q1 PEDIATRICS
Cecilia Lugarà, Domenico Corica, Giorgia Pepe, Maria Francesca Messina, Mariella Valenzise, Giuseppina Zirilli, Letteria Anna Morabito, Alessandra Li Pomi, Malgorzata Gabriela Wasniewska, Tommaso Aversa
{"title":"Timing of adiposity rebound in children with congenital hypothyroidism diagnosed by newborn screening and treated with Levothyroxine.","authors":"Cecilia Lugarà, Domenico Corica, Giorgia Pepe, Maria Francesca Messina, Mariella Valenzise, Giuseppina Zirilli, Letteria Anna Morabito, Alessandra Li Pomi, Malgorzata Gabriela Wasniewska, Tommaso Aversa","doi":"10.1186/s13052-025-02099-0","DOIUrl":null,"url":null,"abstract":"","PeriodicalId":14511,"journal":{"name":"Italian Journal of Pediatrics","volume":"51 1","pages":"249"},"PeriodicalIF":3.1000,"publicationDate":"2025-08-08","publicationTypes":"Journal Article","fieldsOfStudy":null,"isOpenAccess":false,"openAccessPdf":"https://www.ncbi.nlm.nih.gov/pmc/articles/PMC12333145/pdf/","citationCount":"0","resultStr":null,"platform":"Semanticscholar","paperid":null,"PeriodicalName":"Italian Journal of Pediatrics","FirstCategoryId":"3","ListUrlMain":"https://doi.org/10.1186/s13052-025-02099-0","RegionNum":3,"RegionCategory":"医学","ArticlePicture":[],"TitleCN":null,"AbstractTextCN":null,"PMCID":null,"EPubDate":"","PubModel":"","JCR":"Q1","JCRName":"PEDIATRICS","Score":null,"Total":0}
引用次数: 0

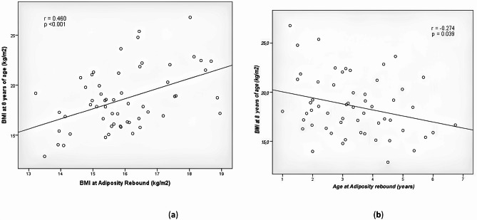
Abstract Image

Abstract Image

新生儿筛查和左旋甲状腺素治疗先天性甲状腺功能减退症患儿肥胖反弹的时间。
本文章由计算机程序翻译,如有差异,请以英文原文为准。
求助全文
约1分钟内获得全文 求助全文
来源期刊
CiteScore
6.10
自引率
13.90%
发文量
192
审稿时长
6-12 weeks
期刊介绍: Italian Journal of Pediatrics is an open access peer-reviewed journal that includes all aspects of pediatric medicine. The journal also covers health service and public health research that addresses primary care issues. The journal provides a high-quality forum for pediatricians and other healthcare professionals to report and discuss up-to-the-minute research and expert reviews in the field of pediatric medicine. The journal will continue to develop the range of articles published to enable this invaluable resource to stay at the forefront of the field. Italian Journal of Pediatrics, which commenced in 1975 as Rivista Italiana di Pediatria, provides a high-quality forum for pediatricians and other healthcare professionals to report and discuss up-to-the-minute research and expert reviews in the field of pediatric medicine. The journal will continue to develop the range of articles published to enable this invaluable resource to stay at the forefront of the field.
×
引用
GB/T 7714-2015
复制
MLA
复制
APA
复制
导出至
BibTeX EndNote RefMan NoteFirst NoteExpress
×
提示
您的信息不完整,为了账户安全,请先补充。
现在去补充
×
提示
您因"违规操作"
具体请查看互助需知
我知道了
×
提示
确定
请完成安全验证×
copy
已复制链接
快去分享给好友吧!
我知道了
右上角分享
点击右上角分享
0
联系我们:info@booksci.cn Book学术提供免费学术资源搜索服务,方便国内外学者检索中英文文献。致力于提供最便捷和优质的服务体验。 Copyright © 2023 布克学术 All rights reserved.
京ICP备2023020795号-1
ghs 京公网安备 11010802042870号
Book学术文献互助
Book学术文献互助群
群 号:604180095
Book学术官方微信