Optimizing contrast timing in photon-counting detector CT for the assessment of peripheral arthritis.

IF 2.2 3区 医学 Q2 ORTHOPEDICS
Skeletal Radiology Pub Date : 2025-11-01 Epub Date: 2025-08-08 DOI:10.1007/s00256-025-04993-4
Akos Horvath, Rita Csercsik, Janos Norbert Gyebnar, Daniel Sandor Veres, Pal Maurovich-Horvat, Akos Menyhart, Viktoria Gyergyoi, Peter Vince Balint, Nikolett Marton
{"title":"Optimizing contrast timing in photon-counting detector CT for the assessment of peripheral arthritis.","authors":"Akos Horvath, Rita Csercsik, Janos Norbert Gyebnar, Daniel Sandor Veres, Pal Maurovich-Horvat, Akos Menyhart, Viktoria Gyergyoi, Peter Vince Balint, Nikolett Marton","doi":"10.1007/s00256-025-04993-4","DOIUrl":null,"url":null,"abstract":"<p><strong>Objective: </strong>Photon-counting detector CT (PCD-CT) allows for iodine mapping of inflamed tissues in peripheral immune-mediated arthritis, supporting diagnosis and disease activity assessment. This study aims to identify the optimal timing for image acquisition after intravenous iodinated contrast administration to maximize enhancement and contrast with surrounding tissues.</p><p><strong>Methods: </strong>High-resolution PCD-CT scans of bilateral wrist-hand regions were obtained from 26 patients with peripheral arthritis, both native and post-contrast (1 ml/kg intravenous iodinated contrast at 2.5 ml/sec flow) at 120-, 180-, and 240-s delay phases. Iodine maps were constructed from spectral data. Phases were compared based on densities and iodine concentrations measured in synovial, tenosynovial, and periungual tissues, with muscle, fat, and vessels as controls. We used descriptive statistics and mixed-effects linear regression inferential models for the comparisons. Synovitis and tenosynovitis were verified by ultrasound measurements.</p><p><strong>Results: </strong>No significant differences (p > 0.05) were found in iodine concentration or density across the 120-, 180-, and 240-s post-contrast phases in inflamed synovial, tenosynovial, and periungual soft tissues. Inflamed tissues showed significant and consistent differences in iodine concentration from muscle and fat (p < 0.0001) across all phases, while the greatest differentiation from vessels was in the 120-s phase. The effective dose was identical across all post-contrast phases (0.028 ± 0.0035 mSv).</p><p><strong>Conclusion: </strong>Iodine uptake in inflamed tissues was identical across all three post-contrast phases. However, the 120-s phase offered the highest contrast between inflammation and surrounding vascular structures while minimizing scan time, supporting its use for standardized follow-up imaging.</p>","PeriodicalId":21783,"journal":{"name":"Skeletal Radiology","volume":" ","pages":"2565-2578"},"PeriodicalIF":2.2000,"publicationDate":"2025-11-01","publicationTypes":"Journal Article","fieldsOfStudy":null,"isOpenAccess":false,"openAccessPdf":"https://www.ncbi.nlm.nih.gov/pmc/articles/PMC12460460/pdf/","citationCount":"0","resultStr":null,"platform":"Semanticscholar","paperid":null,"PeriodicalName":"Skeletal Radiology","FirstCategoryId":"3","ListUrlMain":"https://doi.org/10.1007/s00256-025-04993-4","RegionNum":3,"RegionCategory":"医学","ArticlePicture":[],"TitleCN":null,"AbstractTextCN":null,"PMCID":null,"EPubDate":"2025/8/8 0:00:00","PubModel":"Epub","JCR":"Q2","JCRName":"ORTHOPEDICS","Score":null,"Total":0}
引用次数: 0

Abstract

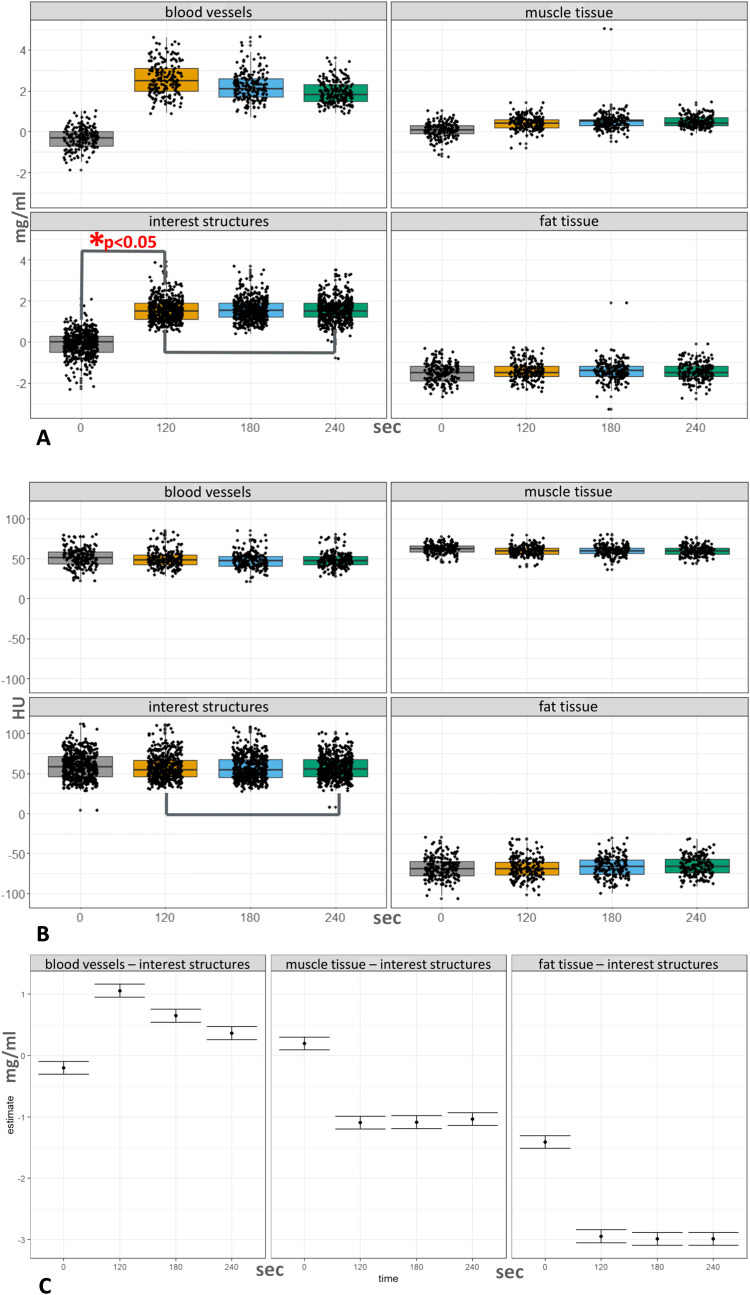
Objective: Photon-counting detector CT (PCD-CT) allows for iodine mapping of inflamed tissues in peripheral immune-mediated arthritis, supporting diagnosis and disease activity assessment. This study aims to identify the optimal timing for image acquisition after intravenous iodinated contrast administration to maximize enhancement and contrast with surrounding tissues.

Methods: High-resolution PCD-CT scans of bilateral wrist-hand regions were obtained from 26 patients with peripheral arthritis, both native and post-contrast (1 ml/kg intravenous iodinated contrast at 2.5 ml/sec flow) at 120-, 180-, and 240-s delay phases. Iodine maps were constructed from spectral data. Phases were compared based on densities and iodine concentrations measured in synovial, tenosynovial, and periungual tissues, with muscle, fat, and vessels as controls. We used descriptive statistics and mixed-effects linear regression inferential models for the comparisons. Synovitis and tenosynovitis were verified by ultrasound measurements.

Results: No significant differences (p > 0.05) were found in iodine concentration or density across the 120-, 180-, and 240-s post-contrast phases in inflamed synovial, tenosynovial, and periungual soft tissues. Inflamed tissues showed significant and consistent differences in iodine concentration from muscle and fat (p < 0.0001) across all phases, while the greatest differentiation from vessels was in the 120-s phase. The effective dose was identical across all post-contrast phases (0.028 ± 0.0035 mSv).

Conclusion: Iodine uptake in inflamed tissues was identical across all three post-contrast phases. However, the 120-s phase offered the highest contrast between inflammation and surrounding vascular structures while minimizing scan time, supporting its use for standardized follow-up imaging.

Abstract Image

Abstract Image

Abstract Image

优化光子计数CT造影剂时机评估周围性关节炎。
目的:光子计数检测器CT (PCD-CT)允许外周免疫介导性关节炎炎症组织的碘定位,支持诊断和疾病活动性评估。本研究旨在确定静脉注射碘造影剂后图像采集的最佳时机,以最大限度地增强和对比周围组织。方法:对26例外周性关节炎患者在120、180和240秒延迟期(1 ml/kg静脉碘化造影剂,流速为2.5 ml/秒)获得双侧腕-手区域的高分辨率PCD-CT扫描。碘图由光谱数据构建。以肌肉、脂肪和血管为对照,根据滑膜、腱鞘和趾周组织的密度和碘浓度进行相比较。我们使用描述性统计和混合效应线性回归推理模型进行比较。超声检查证实滑膜炎和腱鞘炎。结果:对比后120、180和240 s,炎症滑膜、腱鞘和趾周软组织的碘浓度或密度无显著差异(p < 0.05)。炎症组织中来自肌肉和脂肪的碘浓度显示出显著且一致的差异(p结论:在所有三个对比后阶段,炎症组织中的碘摄取是相同的。然而,120-s阶段在炎症和周围血管结构之间提供了最高的对比度,同时最大限度地减少了扫描时间,支持其用于标准化的后续成像。
本文章由计算机程序翻译,如有差异,请以英文原文为准。
求助全文
约1分钟内获得全文 求助全文
来源期刊
Skeletal Radiology
Skeletal Radiology 医学-核医学
CiteScore
4.40
自引率
9.50%
发文量
253
审稿时长
3-8 weeks
期刊介绍: Skeletal Radiology provides a forum for the dissemination of current knowledge and information dealing with disorders of the musculoskeletal system including the spine. While emphasizing the radiological aspects of the many varied skeletal abnormalities, the journal also adopts an interdisciplinary approach, reflecting the membership of the International Skeletal Society. Thus, the anatomical, pathological, physiological, clinical, metabolic and epidemiological aspects of the many entities affecting the skeleton receive appropriate consideration. This is the Journal of the International Skeletal Society and the Official Journal of the Society of Skeletal Radiology and the Australasian Musculoskelelal Imaging Group.
×
引用
GB/T 7714-2015
复制
MLA
复制
APA
复制
导出至
BibTeX EndNote RefMan NoteFirst NoteExpress
×
提示
您的信息不完整,为了账户安全,请先补充。
现在去补充
×
提示
您因"违规操作"
具体请查看互助需知
我知道了
×
提示
确定
请完成安全验证×
copy
已复制链接
快去分享给好友吧!
我知道了
右上角分享
点击右上角分享
0
联系我们:info@booksci.cn Book学术提供免费学术资源搜索服务,方便国内外学者检索中英文文献。致力于提供最便捷和优质的服务体验。 Copyright © 2023 布克学术 All rights reserved.
京ICP备2023020795号-1
ghs 京公网安备 11010802042870号
Book学术文献互助
Book学术文献互助群
群 号:604180095
Book学术官方微信