Effect of internet-delivered exposure therapy versus healthy lifestyle promotion for patients with persistent physical symptoms (SOMEX1): a randomized controlled trial with planned moderator analysis.

IF 5.5 2区 医学 Q1 PSYCHIATRY
Jonna Hybelius, Sandra Af Winklerfelt Hammarberg, Sigrid Salomonsson, Caroline Wachtler, Majken Epstein, Anna Olsson, Emma Strand, Lina Söderström Winter, Tomas Åkerlund, Daniel Björkander, Amanda Kosic, Gabriel Chahin, John Wallert, Eva Toth-Pal, Steven Nordin, Erland Axelsson
{"title":"Effect of internet-delivered exposure therapy versus healthy lifestyle promotion for patients with persistent physical symptoms (SOMEX1): a randomized controlled trial with planned moderator analysis.","authors":"Jonna Hybelius, Sandra Af Winklerfelt Hammarberg, Sigrid Salomonsson, Caroline Wachtler, Majken Epstein, Anna Olsson, Emma Strand, Lina Söderström Winter, Tomas Åkerlund, Daniel Björkander, Amanda Kosic, Gabriel Chahin, John Wallert, Eva Toth-Pal, Steven Nordin, Erland Axelsson","doi":"10.1017/S0033291725101244","DOIUrl":null,"url":null,"abstract":"<p><strong>Background: </strong>The management of persistent physical symptoms poses a challenge in many healthcare settings, including primary care. Psychological treatments that involve exposure have shown promise for several conditions where patients suffer from persistent physical symptoms and unwanted responses to these. It is unclear, however, to what extent exposure therapy has effects beyond existing routine care interventions and who benefits the most.</p><p><strong>Methods: </strong>A randomized controlled trial at a primary care center in Stockholm, Sweden compared 10 weeks of internet-delivered exposure therapy (<i>n</i> = 80) to healthy lifestyle promotion (HLP; <i>n</i> = 81) for patients bothered by at least one persistent physical symptom. The primary outcome was the mean reduction in subjective somatic symptom burden (Patient Health Questionnaire 15) as measured week-by-week up to the post-treatment assessment. Secondary outcomes included symptom preoccupation, anxiety, depression symptoms, and functional impairment.</p><p><strong>Results: </strong>Patients contributed 1544 datapoints during treatment. The primary analysis showed no significant advantage of exposure therapy versus HLP in the reduction of mean somatic symptom burden (<i>d</i> = 0.14; <i>p</i> = 0.220). In secondary analyses, exposure showed superiority in the reduction of symptom preoccupation (<i>d</i> = 0.31; <i>p</i> = 0.033) but not anxiety, depression symptoms, or functional impairment. A higher somatic symptom burden or symptom preoccupation before treatment was predictive of a larger advantage of exposure versus HLP.</p><p><strong>Conclusions: </strong>Exposure therapy does not appear to show noteworthy average benefit over HLP, with the exception of symptom preoccupation. Substantial benefits are seen in patients with very high symptom burden or symptom preoccupation.</p>","PeriodicalId":20891,"journal":{"name":"Psychological Medicine","volume":"55 ","pages":"e226"},"PeriodicalIF":5.5000,"publicationDate":"2025-08-08","publicationTypes":"Journal Article","fieldsOfStudy":null,"isOpenAccess":false,"openAccessPdf":"https://www.ncbi.nlm.nih.gov/pmc/articles/PMC12360694/pdf/","citationCount":"0","resultStr":null,"platform":"Semanticscholar","paperid":null,"PeriodicalName":"Psychological Medicine","FirstCategoryId":"3","ListUrlMain":"https://doi.org/10.1017/S0033291725101244","RegionNum":2,"RegionCategory":"医学","ArticlePicture":[],"TitleCN":null,"AbstractTextCN":null,"PMCID":null,"EPubDate":"","PubModel":"","JCR":"Q1","JCRName":"PSYCHIATRY","Score":null,"Total":0}
引用次数: 0

Abstract

Background: The management of persistent physical symptoms poses a challenge in many healthcare settings, including primary care. Psychological treatments that involve exposure have shown promise for several conditions where patients suffer from persistent physical symptoms and unwanted responses to these. It is unclear, however, to what extent exposure therapy has effects beyond existing routine care interventions and who benefits the most.

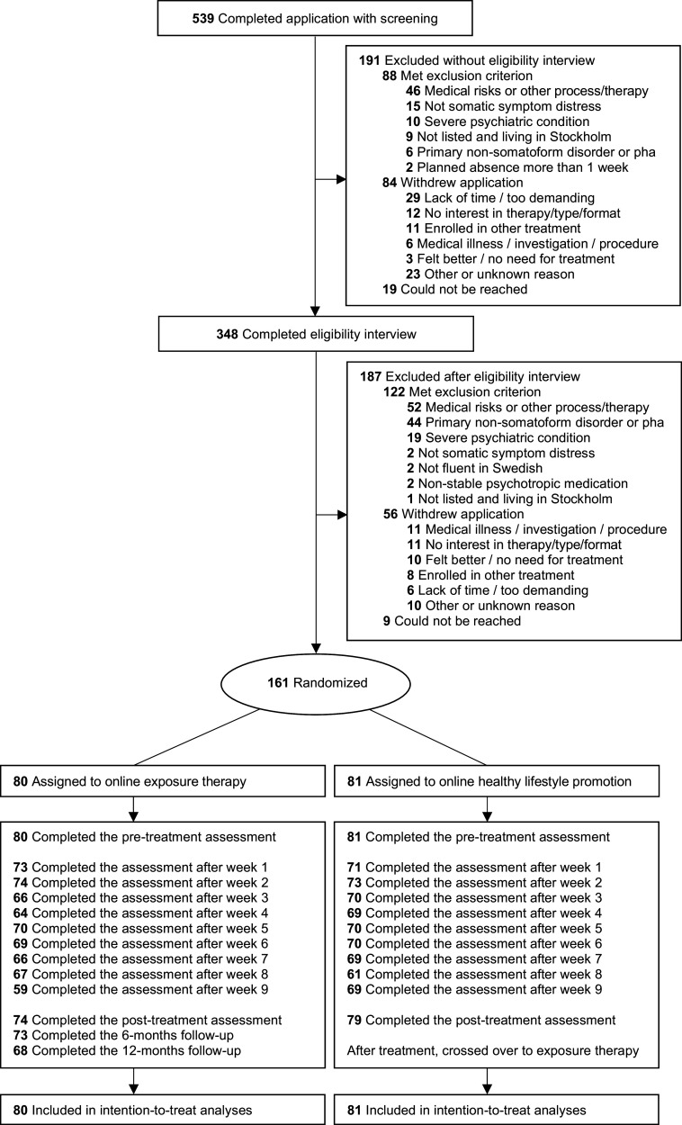
Methods: A randomized controlled trial at a primary care center in Stockholm, Sweden compared 10 weeks of internet-delivered exposure therapy (n = 80) to healthy lifestyle promotion (HLP; n = 81) for patients bothered by at least one persistent physical symptom. The primary outcome was the mean reduction in subjective somatic symptom burden (Patient Health Questionnaire 15) as measured week-by-week up to the post-treatment assessment. Secondary outcomes included symptom preoccupation, anxiety, depression symptoms, and functional impairment.

Results: Patients contributed 1544 datapoints during treatment. The primary analysis showed no significant advantage of exposure therapy versus HLP in the reduction of mean somatic symptom burden (d = 0.14; p = 0.220). In secondary analyses, exposure showed superiority in the reduction of symptom preoccupation (d = 0.31; p = 0.033) but not anxiety, depression symptoms, or functional impairment. A higher somatic symptom burden or symptom preoccupation before treatment was predictive of a larger advantage of exposure versus HLP.

Conclusions: Exposure therapy does not appear to show noteworthy average benefit over HLP, with the exception of symptom preoccupation. Substantial benefits are seen in patients with very high symptom burden or symptom preoccupation.

Abstract Image

Abstract Image

Abstract Image

网络传播暴露疗法与促进健康生活方式对持续性身体症状患者的影响(SOMEX1):一项有计划调节分析的随机对照试验
背景:在包括初级保健在内的许多卫生保健机构中,对持续躯体症状的管理提出了挑战。涉及暴露的心理治疗在几种情况下显示出希望,这些情况下患者会遭受持续的身体症状和不必要的反应。然而,暴露疗法在多大程度上超越了现有的常规护理干预措施,以及谁受益最大,目前尚不清楚。方法:在瑞典斯德哥尔摩的一家初级保健中心进行了一项随机对照试验,将10周的互联网暴露疗法(n = 80)与健康生活方式促进(HLP;N = 81),患者至少有一种持续的身体症状。主要结局是主观躯体症状负担的平均减少(患者健康问卷15),每周测量直到治疗后评估。次要结局包括症状专注、焦虑、抑郁症状和功能损害。结果:患者在治疗期间贡献了1544个数据点。初步分析显示暴露疗法与HLP相比在减少平均躯体症状负担方面没有显著优势(d = 0.14;p = 0.220)。在二次分析中,暴露在减少症状专注方面表现出优势(d = 0.31;P = 0.033),但没有焦虑、抑郁症状或功能障碍。治疗前较高的躯体症状负担或症状关注预示着暴露比HLP更大的优势。结论:暴露疗法在HLP中并没有表现出显著的平均益处,除了症状专注。在症状负担非常重或症状专注的患者中可以看到实质性的益处。
本文章由计算机程序翻译,如有差异,请以英文原文为准。
求助全文
约1分钟内获得全文 求助全文
来源期刊
Psychological Medicine
Psychological Medicine 医学-精神病学
CiteScore
11.30
自引率
4.30%
发文量
711
审稿时长
3-6 weeks
期刊介绍: Now in its fifth decade of publication, Psychological Medicine is a leading international journal in the fields of psychiatry, related aspects of psychology and basic sciences. From 2014, there are 16 issues a year, each featuring original articles reporting key research being undertaken worldwide, together with shorter editorials by distinguished scholars and an important book review section. The journal''s success is clearly demonstrated by a consistently high impact factor.
×
引用
GB/T 7714-2015
复制
MLA
复制
APA
复制
导出至
BibTeX EndNote RefMan NoteFirst NoteExpress
×
提示
您的信息不完整,为了账户安全,请先补充。
现在去补充
×
提示
您因"违规操作"
具体请查看互助需知
我知道了
×
提示
确定
请完成安全验证×
copy
已复制链接
快去分享给好友吧!
我知道了
右上角分享
点击右上角分享
0
联系我们:info@booksci.cn Book学术提供免费学术资源搜索服务,方便国内外学者检索中英文文献。致力于提供最便捷和优质的服务体验。 Copyright © 2023 布克学术 All rights reserved.
京ICP备2023020795号-1
ghs 京公网安备 11010802042870号
Book学术文献互助
Book学术文献互助群
群 号:604180095
Book学术官方微信