The Wechsler intelligence scale for children, fourth and fifth editions perform comparably in children with Batten disease.

IF 3.5 2区 医学 Q2 GENETICS & HEREDITY
Heather R Adams, Erika F Augustine, Kristen Bonifacio, Alyssa Collins, Amy E Vierhile, Jonathan W Mink
{"title":"The Wechsler intelligence scale for children, fourth and fifth editions perform comparably in children with Batten disease.","authors":"Heather R Adams, Erika F Augustine, Kristen Bonifacio, Alyssa Collins, Amy E Vierhile, Jonathan W Mink","doi":"10.1186/s13023-025-03923-w","DOIUrl":null,"url":null,"abstract":"<p><strong>Background: </strong>The neuronal ceroid lipofuscinoses (Batten disease) are rare neurodegenerative lysosomal storage diseases principally of childhood onset and an autosomal recessive inheritance pattern. Cognitive regression is a hallmark of the disease, and has been characterized as part of the University of Rochester Batten Center's prospective longitudinal natural history. The objective of the present study was to establish convergent validity of the two most recent versions of the Wechsler Intelligence Scale for Children in this population (WISC-IV, 2003; WISC-V, 2014) due to anticipated eventual obsolescence of WISC-IV. 18 children and young adults (12 males, 6 females) with a genetically confirmed NCL diagnosis were administered selected subtests from the WISC-IV and WISC-V. We used bivariate correlations and repeated measures ANOVA between matching subtests across these two WISC versions to determine convergence of the measures.</p><p><strong>Results: </strong>WISC-IV and WISC-V verbal subtests were strongly correlated with one another and mean age-adjusted scores for comparable subtests on WISC-IV vs. WISC-V were not significantly different from one another.</p><p><strong>Conclusions: </strong>Overall, the minimal performance differences on the two measures supports combining WISC-IV and WISC-V datasets for larger-scale analyses of the neurocognitive natural history of NCL disorders.</p>","PeriodicalId":19651,"journal":{"name":"Orphanet Journal of Rare Diseases","volume":"20 1","pages":"413"},"PeriodicalIF":3.5000,"publicationDate":"2025-08-07","publicationTypes":"Journal Article","fieldsOfStudy":null,"isOpenAccess":false,"openAccessPdf":"https://www.ncbi.nlm.nih.gov/pmc/articles/PMC12333175/pdf/","citationCount":"0","resultStr":null,"platform":"Semanticscholar","paperid":null,"PeriodicalName":"Orphanet Journal of Rare Diseases","FirstCategoryId":"3","ListUrlMain":"https://doi.org/10.1186/s13023-025-03923-w","RegionNum":2,"RegionCategory":"医学","ArticlePicture":[],"TitleCN":null,"AbstractTextCN":null,"PMCID":null,"EPubDate":"","PubModel":"","JCR":"Q2","JCRName":"GENETICS & HEREDITY","Score":null,"Total":0}
引用次数: 0

Abstract

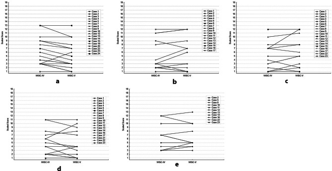
Background: The neuronal ceroid lipofuscinoses (Batten disease) are rare neurodegenerative lysosomal storage diseases principally of childhood onset and an autosomal recessive inheritance pattern. Cognitive regression is a hallmark of the disease, and has been characterized as part of the University of Rochester Batten Center's prospective longitudinal natural history. The objective of the present study was to establish convergent validity of the two most recent versions of the Wechsler Intelligence Scale for Children in this population (WISC-IV, 2003; WISC-V, 2014) due to anticipated eventual obsolescence of WISC-IV. 18 children and young adults (12 males, 6 females) with a genetically confirmed NCL diagnosis were administered selected subtests from the WISC-IV and WISC-V. We used bivariate correlations and repeated measures ANOVA between matching subtests across these two WISC versions to determine convergence of the measures.

Results: WISC-IV and WISC-V verbal subtests were strongly correlated with one another and mean age-adjusted scores for comparable subtests on WISC-IV vs. WISC-V were not significantly different from one another.

Conclusions: Overall, the minimal performance differences on the two measures supports combining WISC-IV and WISC-V datasets for larger-scale analyses of the neurocognitive natural history of NCL disorders.

Abstract Image

Abstract Image

韦氏儿童智力量表,第四版和第五版在患有巴顿病的儿童中表现相当。
背景:神经元样脂褐质病(巴顿病)是一种罕见的神经退行性溶酶体贮积性疾病,主要发病于儿童期,常染色体隐性遗传。认知退化是该疾病的一个标志,并已被描述为罗切斯特大学巴顿中心前瞻性纵向自然历史的一部分。本研究的目的是在这一人群中建立韦氏儿童智力量表的两个最新版本的收敛效度(WISC-IV, 2003;WISC-V, 2014),因为预计WISC-IV最终会过时。从WISC-IV和WISC-V中选择亚试验,对遗传上确诊为NCL的18名儿童和年轻人(12名男性,6名女性)进行了研究。我们在这两个WISC版本的匹配子测试之间使用双变量相关性和重复测量方差分析来确定测量的收敛性。结果:WISC-IV和WISC-V言语子测试之间存在强相关,WISC-IV和WISC-V的可比子测试的平均年龄调整得分之间无显著差异。结论:总体而言,两种测量方法的最小性能差异支持将WISC-IV和WISC-V数据集结合起来进行更大规模的NCL疾病神经认知自然史分析。
本文章由计算机程序翻译,如有差异,请以英文原文为准。
求助全文
约1分钟内获得全文 求助全文
来源期刊
Orphanet Journal of Rare Diseases
Orphanet Journal of Rare Diseases 医学-医学:研究与实验
CiteScore
6.30
自引率
8.10%
发文量
418
审稿时长
4-8 weeks
期刊介绍: Orphanet Journal of Rare Diseases is an open access, peer-reviewed journal that encompasses all aspects of rare diseases and orphan drugs. The journal publishes high-quality reviews on specific rare diseases. In addition, the journal may consider articles on clinical trial outcome reports, either positive or negative, and articles on public health issues in the field of rare diseases and orphan drugs. The journal does not accept case reports.
×
引用
GB/T 7714-2015
复制
MLA
复制
APA
复制
导出至
BibTeX EndNote RefMan NoteFirst NoteExpress
×
提示
您的信息不完整,为了账户安全,请先补充。
现在去补充
×
提示
您因"违规操作"
具体请查看互助需知
我知道了
×
提示
确定
请完成安全验证×
copy
已复制链接
快去分享给好友吧!
我知道了
右上角分享
点击右上角分享
0
联系我们:info@booksci.cn Book学术提供免费学术资源搜索服务,方便国内外学者检索中英文文献。致力于提供最便捷和优质的服务体验。 Copyright © 2023 布克学术 All rights reserved.
京ICP备2023020795号-1
ghs 京公网安备 11010802042870号
Book学术文献互助
Book学术文献互助群
群 号:604180095
Book学术官方微信