Effect of personality characteristics on perception of tooth whitening outcome in young adults in long-term: a randomised, double-blind, placebo controlled trial.

IF 2.4 2区 医学 Q2 DENTISTRY, ORAL SURGERY & MEDICINE
Marija Batinić, Daniela Kovačević Pavičić, Ana Šango, Martina Brumini, Stjepan Špalj
{"title":"Effect of personality characteristics on perception of tooth whitening outcome in young adults in long-term: a randomised, double-blind, placebo controlled trial.","authors":"Marija Batinić, Daniela Kovačević Pavičić, Ana Šango, Martina Brumini, Stjepan Špalj","doi":"10.1186/s13005-025-00536-3","DOIUrl":null,"url":null,"abstract":"<p><strong>Background: </strong>Tooth whitening is a popular cosmetic procedure; however, its perceived effectiveness and long-term psychosocial impact remain underexplored. This study investigated perceptions of tooth color change and the associated psychological and social effects over a one-year period, with particular attention to the role of individual personality traits.</p><p><strong>Methods: </strong>Fifty participants aged 19 to 28 were randomly assigned to either an experimental group or a control group. The experimental group received a light-activated whitening gel, while the control group received an inactive gel. Evaluations were conducted at baseline, one week post-treatment, and one year post-treatment. Tooth color was measured using spectrophotometry. Standardized questionnaires were employed to assess psychosocial effects and personality traits. Data were analyzed using analysis of variance with Bonferroni post hoc tests and independent samples t-tests.</p><p><strong>Results: </strong>The experimental group showed a significantly greater improvement in tooth color shortly after treatment compared to the control group. Although this improvement diminished over time, it remained above baseline levels at the one-year follow-up. In the short term, participants in the experimental group reported reduced psychological and social concerns, while the control group reported a decrease in psychological impact only. After one year, the experimental group experienced a return of psychosocial concerns, whereas the control group continued to report improvements. Personality traits influenced these outcomes: lower neuroticism and higher perfectionism were associated with enhanced short-term benefits, while higher conscientiousness was linked to more sustained long-term improvements.</p><p><strong>Conclusions: </strong>Participants demonstrated limited ability to accurately perceive improvements in tooth color, often noticing relapse over time. The psychosocial impact of tooth whitening was influenced by personality traits, highlighting the importance of a personalized approach in cosmetic dental treatments. Practitioners should consider individual psychological profiles when managing patient expectations.</p><p><strong>Trial registration: </strong>This clinical trial was prospectively registered with ClinicalTrials.gov (Identifier NCT03380702) on December 21, 2017.</p>","PeriodicalId":12994,"journal":{"name":"Head & Face Medicine","volume":"21 1","pages":"57"},"PeriodicalIF":2.4000,"publicationDate":"2025-08-07","publicationTypes":"Journal Article","fieldsOfStudy":null,"isOpenAccess":false,"openAccessPdf":"https://www.ncbi.nlm.nih.gov/pmc/articles/PMC12330114/pdf/","citationCount":"0","resultStr":null,"platform":"Semanticscholar","paperid":null,"PeriodicalName":"Head & Face Medicine","FirstCategoryId":"3","ListUrlMain":"https://doi.org/10.1186/s13005-025-00536-3","RegionNum":2,"RegionCategory":"医学","ArticlePicture":[],"TitleCN":null,"AbstractTextCN":null,"PMCID":null,"EPubDate":"","PubModel":"","JCR":"Q2","JCRName":"DENTISTRY, ORAL SURGERY & MEDICINE","Score":null,"Total":0}
引用次数: 0

Abstract

Background: Tooth whitening is a popular cosmetic procedure; however, its perceived effectiveness and long-term psychosocial impact remain underexplored. This study investigated perceptions of tooth color change and the associated psychological and social effects over a one-year period, with particular attention to the role of individual personality traits.

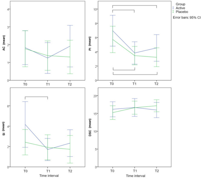
Methods: Fifty participants aged 19 to 28 were randomly assigned to either an experimental group or a control group. The experimental group received a light-activated whitening gel, while the control group received an inactive gel. Evaluations were conducted at baseline, one week post-treatment, and one year post-treatment. Tooth color was measured using spectrophotometry. Standardized questionnaires were employed to assess psychosocial effects and personality traits. Data were analyzed using analysis of variance with Bonferroni post hoc tests and independent samples t-tests.

Results: The experimental group showed a significantly greater improvement in tooth color shortly after treatment compared to the control group. Although this improvement diminished over time, it remained above baseline levels at the one-year follow-up. In the short term, participants in the experimental group reported reduced psychological and social concerns, while the control group reported a decrease in psychological impact only. After one year, the experimental group experienced a return of psychosocial concerns, whereas the control group continued to report improvements. Personality traits influenced these outcomes: lower neuroticism and higher perfectionism were associated with enhanced short-term benefits, while higher conscientiousness was linked to more sustained long-term improvements.

Conclusions: Participants demonstrated limited ability to accurately perceive improvements in tooth color, often noticing relapse over time. The psychosocial impact of tooth whitening was influenced by personality traits, highlighting the importance of a personalized approach in cosmetic dental treatments. Practitioners should consider individual psychological profiles when managing patient expectations.

Trial registration: This clinical trial was prospectively registered with ClinicalTrials.gov (Identifier NCT03380702) on December 21, 2017.

Abstract Image

Abstract Image

Abstract Image

性格特征对年轻人长期牙齿美白结果感知的影响:一项随机、双盲、安慰剂对照试验。
背景:牙齿美白是一种流行的美容程序;然而,其感知有效性和长期社会心理影响仍未得到充分探索。本研究调查了一年时间内对牙齿颜色变化的感知以及相关的心理和社会影响,特别关注了个人性格特征的作用。方法:50名年龄在19 ~ 28岁之间的参与者随机分为实验组和对照组。实验组使用光激活美白凝胶,对照组使用无活性美白凝胶。在基线、治疗后1周和治疗后1年进行评估。用分光光度法测定牙齿颜色。采用标准化问卷来评估心理社会影响和人格特征。采用方差分析、Bonferroni事后检验和独立样本t检验对数据进行分析。结果:实验组治疗后牙色较对照组有明显改善。虽然这种改善随着时间的推移而减弱,但在一年的随访中仍高于基线水平。在短期内,实验组的参与者报告了心理和社会问题的减少,而对照组只报告了心理影响的减少。一年后,实验组经历了心理社会问题的回归,而对照组继续报告改善。人格特质影响了这些结果:较低的神经质和较高的完美主义与增强的短期效益有关,而较高的责任心与更持续的长期改善有关。结论:参与者表现出有限的能力,准确地感知牙齿颜色的改善,经常注意到复发随着时间的推移。牙齿美白的心理社会影响受到人格特征的影响,强调了个性化方法在牙科美容治疗中的重要性。在管理病人期望时,医生应该考虑病人的个人心理状况。试验注册:该临床试验已于2017年12月21日在ClinicalTrials.gov(标识符NCT03380702)前瞻性注册。
本文章由计算机程序翻译,如有差异,请以英文原文为准。
求助全文
约1分钟内获得全文 求助全文
来源期刊
Head & Face Medicine
Head & Face Medicine DENTISTRY, ORAL SURGERY & MEDICINE-
CiteScore
4.70
自引率
3.30%
发文量
32
审稿时长
>12 weeks
期刊介绍: Head & Face Medicine is a multidisciplinary open access journal that publishes basic and clinical research concerning all aspects of cranial, facial and oral conditions. The journal covers all aspects of cranial, facial and oral diseases and their management. It has been designed as a multidisciplinary journal for clinicians and researchers involved in the diagnostic and therapeutic aspects of diseases which affect the human head and face. The journal is wide-ranging, covering the development, aetiology, epidemiology and therapy of head and face diseases to the basic science that underlies these diseases. Management of head and face diseases includes all aspects of surgical and non-surgical treatments including psychopharmacological therapies.
×
引用
GB/T 7714-2015
复制
MLA
复制
APA
复制
导出至
BibTeX EndNote RefMan NoteFirst NoteExpress
×
提示
您的信息不完整,为了账户安全,请先补充。
现在去补充
×
提示
您因"违规操作"
具体请查看互助需知
我知道了
×
提示
确定
请完成安全验证×
copy
已复制链接
快去分享给好友吧!
我知道了
右上角分享
点击右上角分享
0
联系我们:info@booksci.cn Book学术提供免费学术资源搜索服务,方便国内外学者检索中英文文献。致力于提供最便捷和优质的服务体验。 Copyright © 2023 布克学术 All rights reserved.
京ICP备2023020795号-1
ghs 京公网安备 11010802042870号
Book学术文献互助
Book学术文献互助群
群 号:604180095
Book学术官方微信