Transcriptional patterns of cancer-related genes in primary and metastatic tumours revealed by machine learning.

IF 4.5 1区 生物学 Q1 BIOLOGY
Faeze Keshavarz-Rahaghi, Erin Pleasance, Steven J M Jones
{"title":"Transcriptional patterns of cancer-related genes in primary and metastatic tumours revealed by machine learning.","authors":"Faeze Keshavarz-Rahaghi, Erin Pleasance, Steven J M Jones","doi":"10.1186/s12915-025-02339-z","DOIUrl":null,"url":null,"abstract":"<p><strong>Background: </strong>A key to understanding cancer is to determine the impact on the cellular pathways caused by the repertoire of DNA changes accrued in a cancer cell. Exploring the interactions between genomic aberrations and the expressed transcriptome can not only improve our understanding of the disease but also identify potential therapeutic approaches.</p><p><strong>Results: </strong>Using random forest models, we successfully identified transcriptional patterns associated with the loss of wild-type activity in cancer-related genes across various tumour types. While genes like TP53 and CDKN2A exhibited unique pan-cancer transcriptional patterns, others like ATRX, BRAF, and NRAS showed tumour-type-specific expression patterns. We also observed that genes like AR and ERBB4 did not lead to strong detectable patterns in the transcriptome when disrupted. Our investigation has also led to the identification of genes highly associated with transcriptional patterns. For instance, DRG2 emerged as the top contributor in classification of ATRX alterations in lower-grade gliomas and was significantly downregulated in ATRX mutant tumours. Additionally, transcriptional features important in classification of PTEN aberrations, such as CDCA8, AURKA, and CDC20, were found to be closely related to PTEN function.</p><p><strong>Conclusions: </strong>Our findings demonstrate the utility of machine learning in interpretation of cancer genomic data and provide new avenues for development of targeted therapies tailored to individual patients with cancer. Our analysis on the transcriptome revealed genes with expression levels strongly correlated with alterations in cancer-related genes. Additionally, we identified AURKA inhibitors as potential therapeutic option for tumours with alterations in tumour suppressors like FBXW7 or NSD1.</p>","PeriodicalId":9339,"journal":{"name":"BMC Biology","volume":"23 1","pages":"246"},"PeriodicalIF":4.5000,"publicationDate":"2025-08-07","publicationTypes":"Journal Article","fieldsOfStudy":null,"isOpenAccess":false,"openAccessPdf":"https://www.ncbi.nlm.nih.gov/pmc/articles/PMC12329921/pdf/","citationCount":"0","resultStr":null,"platform":"Semanticscholar","paperid":null,"PeriodicalName":"BMC Biology","FirstCategoryId":"99","ListUrlMain":"https://doi.org/10.1186/s12915-025-02339-z","RegionNum":1,"RegionCategory":"生物学","ArticlePicture":[],"TitleCN":null,"AbstractTextCN":null,"PMCID":null,"EPubDate":"","PubModel":"","JCR":"Q1","JCRName":"BIOLOGY","Score":null,"Total":0}
引用次数: 0

Abstract

Background: A key to understanding cancer is to determine the impact on the cellular pathways caused by the repertoire of DNA changes accrued in a cancer cell. Exploring the interactions between genomic aberrations and the expressed transcriptome can not only improve our understanding of the disease but also identify potential therapeutic approaches.

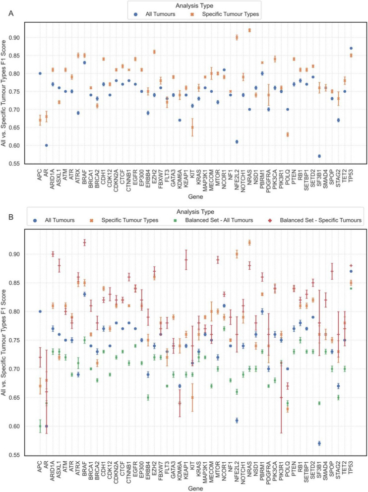
Results: Using random forest models, we successfully identified transcriptional patterns associated with the loss of wild-type activity in cancer-related genes across various tumour types. While genes like TP53 and CDKN2A exhibited unique pan-cancer transcriptional patterns, others like ATRX, BRAF, and NRAS showed tumour-type-specific expression patterns. We also observed that genes like AR and ERBB4 did not lead to strong detectable patterns in the transcriptome when disrupted. Our investigation has also led to the identification of genes highly associated with transcriptional patterns. For instance, DRG2 emerged as the top contributor in classification of ATRX alterations in lower-grade gliomas and was significantly downregulated in ATRX mutant tumours. Additionally, transcriptional features important in classification of PTEN aberrations, such as CDCA8, AURKA, and CDC20, were found to be closely related to PTEN function.

Conclusions: Our findings demonstrate the utility of machine learning in interpretation of cancer genomic data and provide new avenues for development of targeted therapies tailored to individual patients with cancer. Our analysis on the transcriptome revealed genes with expression levels strongly correlated with alterations in cancer-related genes. Additionally, we identified AURKA inhibitors as potential therapeutic option for tumours with alterations in tumour suppressors like FBXW7 or NSD1.

Abstract Image

Abstract Image

Abstract Image

机器学习揭示原发性和转移性肿瘤中癌症相关基因的转录模式。
背景:了解癌症的关键是确定癌细胞中累积的DNA变化对细胞通路的影响。探索基因组畸变和表达转录组之间的相互作用不仅可以提高我们对疾病的理解,还可以确定潜在的治疗方法。结果:使用随机森林模型,我们成功地确定了与各种肿瘤类型中癌症相关基因的野生型活性丧失相关的转录模式。虽然TP53和CDKN2A等基因表现出独特的泛癌症转录模式,但其他基因如ATRX、BRAF和NRAS则表现出肿瘤类型特异性表达模式。我们还观察到,像AR和ERBB4这样的基因在被破坏时不会在转录组中产生强烈的可检测模式。我们的研究还发现了与转录模式高度相关的基因。例如,DRG2是低级别胶质瘤中ATRX改变分类的主要贡献者,并且在ATRX突变肿瘤中显着下调。此外,在PTEN畸变分类中重要的转录特征,如CDCA8、AURKA和CDC20,被发现与PTEN功能密切相关。结论:我们的研究结果证明了机器学习在解释癌症基因组数据方面的效用,并为开发针对癌症患者的靶向治疗提供了新的途径。我们对转录组的分析显示,表达水平与癌症相关基因的改变密切相关。此外,我们发现AURKA抑制剂是肿瘤抑制因子如FBXW7或NSD1改变的肿瘤的潜在治疗选择。
本文章由计算机程序翻译,如有差异,请以英文原文为准。
求助全文
约1分钟内获得全文 求助全文
来源期刊
BMC Biology
BMC Biology 生物-生物学
CiteScore
7.80
自引率
1.90%
发文量
260
审稿时长
3 months
期刊介绍: BMC Biology is a broad scope journal covering all areas of biology. Our content includes research articles, new methods and tools. BMC Biology also publishes reviews, Q&A, and commentaries.
×
引用
GB/T 7714-2015
复制
MLA
复制
APA
复制
导出至
BibTeX EndNote RefMan NoteFirst NoteExpress
×
提示
您的信息不完整,为了账户安全,请先补充。
现在去补充
×
提示
您因"违规操作"
具体请查看互助需知
我知道了
×
提示
确定
请完成安全验证×
copy
已复制链接
快去分享给好友吧!
我知道了
右上角分享
点击右上角分享
0
联系我们:info@booksci.cn Book学术提供免费学术资源搜索服务,方便国内外学者检索中英文文献。致力于提供最便捷和优质的服务体验。 Copyright © 2023 布克学术 All rights reserved.
京ICP备2023020795号-1
ghs 京公网安备 11010802042870号
Book学术文献互助
Book学术文献互助群
群 号:604180095
Book学术官方微信