Exome analysis links kidney malformations to developmental disorders and reveals causal genes

IF 15.7 1区 综合性期刊 Q1 MULTIDISCIPLINARY SCIENCES
Hila Milo Rasouly, Sarath Babu Krishna Murthy, Natalie Vena, Gundula Povysil, Andrew Beenken, Miguel Verbitsky, Shirlee Shril, Iris Lekkerkerker, Sandy Yang, Atlas Khan, David Fasel, Janewit Wongboonsin, Jeremiah Martino, Juntao Ke, Naama Elefant, Nikita Tomar, Ofek Harnof, Sergey Kisselev, Shiraz Bheda, Sivan Reytan-Miron, Tze Y. Lim, Anna Jamry-Dziurla, Francesca Lugani, Jun Y. Zhang, Maddalena Marasa, Victoria Kolupaeva, Emily E. Groopman, Gina Jin, Iman Ghavami, Kelsey O. Stevens, Arielle C. Coughlin, Byum Hee Kil, Debanjana Chatterjee, Drew Bradbury, Jason Zheng, Karla Mehl, Maria Morban, Rachel Reingold, Stacy Piva, Xueru Mu, Adele Mittrori, Agnieszka Szmigielska, Aleksandra Gliwińska, Andrea Ranghino, Andrew S. Bomback, Andrzej Badenski, Anna Latos-Bielenska, Valentina Capone, Anna Materna-Kiryluk, Antonio Amoroso, Claudia Izzi, Claudio La Scola, David Jonathan Cohen, Domenico Santoro, Dorota Drozdz, Enrico Fiaccadori, Fangming Lin, Francesco Scolari, Francesco Tondolo, Gaetano La Manna, Gerald B. Appel, Gian Marco Ghiggeri, Gianluigi Zaza, Giovanni Montini, Giuseppe Masnata, Grażyna Krzemien, Isabella Pisani, Jai Radhakrishnan, Katarzyna Zachwieja, Loreto Gesualdo, Luigi Biancone, Davide Meneghesso, Malgorzata Mizerska-Wasiak, Marcin Tkaczyk, Marcin Zaniew, Maria K. Borszewska-Kornacka, Maria Szczepanska, Marijan Saraga, Maya K. Rao, Monica Bodria, Monika Miklaszewska, Natalie S. Uy, Olga Baraldi, Omar Bjanid, Pasquale Esposito, Pasquale Zamboli, Pierluigi Marzuillo, Pietro A. Canetta, Przemyslaw Sikora, Rik Westland, Russell J. Crew, Shumyle Alam, Stefano Guarino, Susanna Negrisolo, Thomas Hays, Shrikant Mane, Valeria Grandinetti, Velibor Tasic, Vladimir J. Lozanovski, Yasar Caliskan, David Goldstein, Richard P. Lifton, Iuliana Ionita-Laza, Krzysztof Kiryluk, Albertien M. van Eerde, Friedhelm Hildebrandt, Simone Sanna-Cherchi, Ali G. Gharavi
{"title":"Exome analysis links kidney malformations to developmental disorders and reveals causal genes","authors":"Hila Milo Rasouly, Sarath Babu Krishna Murthy, Natalie Vena, Gundula Povysil, Andrew Beenken, Miguel Verbitsky, Shirlee Shril, Iris Lekkerkerker, Sandy Yang, Atlas Khan, David Fasel, Janewit Wongboonsin, Jeremiah Martino, Juntao Ke, Naama Elefant, Nikita Tomar, Ofek Harnof, Sergey Kisselev, Shiraz Bheda, Sivan Reytan-Miron, Tze Y. Lim, Anna Jamry-Dziurla, Francesca Lugani, Jun Y. Zhang, Maddalena Marasa, Victoria Kolupaeva, Emily E. Groopman, Gina Jin, Iman Ghavami, Kelsey O. Stevens, Arielle C. Coughlin, Byum Hee Kil, Debanjana Chatterjee, Drew Bradbury, Jason Zheng, Karla Mehl, Maria Morban, Rachel Reingold, Stacy Piva, Xueru Mu, Adele Mittrori, Agnieszka Szmigielska, Aleksandra Gliwińska, Andrea Ranghino, Andrew S. Bomback, Andrzej Badenski, Anna Latos-Bielenska, Valentina Capone, Anna Materna-Kiryluk, Antonio Amoroso, Claudia Izzi, Claudio La Scola, David Jonathan Cohen, Domenico Santoro, Dorota Drozdz, Enrico Fiaccadori, Fangming Lin, Francesco Scolari, Francesco Tondolo, Gaetano La Manna, Gerald B. Appel, Gian Marco Ghiggeri, Gianluigi Zaza, Giovanni Montini, Giuseppe Masnata, Grażyna Krzemien, Isabella Pisani, Jai Radhakrishnan, Katarzyna Zachwieja, Loreto Gesualdo, Luigi Biancone, Davide Meneghesso, Malgorzata Mizerska-Wasiak, Marcin Tkaczyk, Marcin Zaniew, Maria K. Borszewska-Kornacka, Maria Szczepanska, Marijan Saraga, Maya K. Rao, Monica Bodria, Monika Miklaszewska, Natalie S. Uy, Olga Baraldi, Omar Bjanid, Pasquale Esposito, Pasquale Zamboli, Pierluigi Marzuillo, Pietro A. Canetta, Przemyslaw Sikora, Rik Westland, Russell J. Crew, Shumyle Alam, Stefano Guarino, Susanna Negrisolo, Thomas Hays, Shrikant Mane, Valeria Grandinetti, Velibor Tasic, Vladimir J. Lozanovski, Yasar Caliskan, David Goldstein, Richard P. Lifton, Iuliana Ionita-Laza, Krzysztof Kiryluk, Albertien M. van Eerde, Friedhelm Hildebrandt, Simone Sanna-Cherchi, Ali G. Gharavi","doi":"10.1038/s41467-025-62319-3","DOIUrl":null,"url":null,"abstract":"<p>Congenital anomalies of the kidneys and urinary tract (CAKUT) are developmental disorders that commonly cause pediatric chronic kidney disease and mortality. We examine here rare coding variants in 248 CAKUT trios and 1742 singleton CAKUT cases and compare them to 22,258 controls. Diagnostic and candidate diagnostic variants are detected in 14.1% of cases. We find a significant enrichment of rare damaging variants in constrained genes expressed during kidney development and in genes associated with other developmental disorders, suggesting phenotype expansion. Consistent with these data, 18% of CAKUT patients with diagnostic variants have neurodevelopmental or cardiac phenotypes. We identify 40 candidate genes, including <i>CELSR1</i>, <i>SSBP2, XPO1, NR6A1</i>, and <i>ARID3A</i>. Two are confirmed as CAKUT genes: <i>ARID3A</i> and <i>NR6A1</i>. This study suggests that many yet-unidentified syndromes would be discoverable with larger cohorts and cross-phenotype analysis, leading to clarification of the genetic and phenotypic spectrum of developmental disorders.</p>","PeriodicalId":19066,"journal":{"name":"Nature Communications","volume":"27 1","pages":"7290"},"PeriodicalIF":15.7000,"publicationDate":"2025-08-07","publicationTypes":"Journal Article","fieldsOfStudy":null,"isOpenAccess":false,"openAccessPdf":"","citationCount":"0","resultStr":null,"platform":"Semanticscholar","paperid":null,"PeriodicalName":"Nature Communications","FirstCategoryId":"103","ListUrlMain":"https://doi.org/10.1038/s41467-025-62319-3","RegionNum":1,"RegionCategory":"综合性期刊","ArticlePicture":[],"TitleCN":null,"AbstractTextCN":null,"PMCID":null,"EPubDate":"","PubModel":"","JCR":"Q1","JCRName":"MULTIDISCIPLINARY SCIENCES","Score":null,"Total":0}
引用次数: 0

Abstract

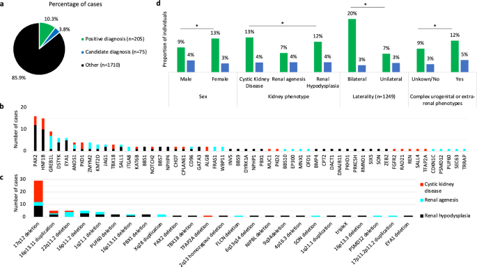
Congenital anomalies of the kidneys and urinary tract (CAKUT) are developmental disorders that commonly cause pediatric chronic kidney disease and mortality. We examine here rare coding variants in 248 CAKUT trios and 1742 singleton CAKUT cases and compare them to 22,258 controls. Diagnostic and candidate diagnostic variants are detected in 14.1% of cases. We find a significant enrichment of rare damaging variants in constrained genes expressed during kidney development and in genes associated with other developmental disorders, suggesting phenotype expansion. Consistent with these data, 18% of CAKUT patients with diagnostic variants have neurodevelopmental or cardiac phenotypes. We identify 40 candidate genes, including CELSR1, SSBP2, XPO1, NR6A1, and ARID3A. Two are confirmed as CAKUT genes: ARID3A and NR6A1. This study suggests that many yet-unidentified syndromes would be discoverable with larger cohorts and cross-phenotype analysis, leading to clarification of the genetic and phenotypic spectrum of developmental disorders.

Abstract Image

外显子组分析将肾脏畸形与发育障碍联系起来,并揭示了致病基因
先天性肾脏和尿路异常(ckut)是一种发育障碍,通常导致儿童慢性肾脏疾病和死亡。我们研究了248例CAKUT三人组和1742例单例CAKUT病例中罕见的编码变异,并将其与22258例对照进行比较。在14.1%的病例中检测到诊断和候选诊断变体。我们发现,在肾脏发育过程中表达的受限基因和与其他发育障碍相关的基因中,罕见的破坏性变异显著富集,表明表型扩增。与这些数据一致,18%的诊断变异的CAKUT患者具有神经发育或心脏表型。我们确定了40个候选基因,包括CELSR1、SSBP2、XPO1、NR6A1和ARID3A。其中两个被确认为CAKUT基因:ARID3A和NR6A1。这项研究表明,通过更大的队列和交叉表型分析,可以发现许多尚未确定的综合征,从而澄清发育障碍的遗传和表型谱。
本文章由计算机程序翻译,如有差异,请以英文原文为准。
求助全文
约1分钟内获得全文 求助全文
来源期刊
Nature Communications
Nature Communications Biological Science Disciplines-
CiteScore
24.90
自引率
2.40%
发文量
6928
审稿时长
3.7 months
期刊介绍: Nature Communications, an open-access journal, publishes high-quality research spanning all areas of the natural sciences. Papers featured in the journal showcase significant advances relevant to specialists in each respective field. With a 2-year impact factor of 16.6 (2022) and a median time of 8 days from submission to the first editorial decision, Nature Communications is committed to rapid dissemination of research findings. As a multidisciplinary journal, it welcomes contributions from biological, health, physical, chemical, Earth, social, mathematical, applied, and engineering sciences, aiming to highlight important breakthroughs within each domain.
×
引用
GB/T 7714-2015
复制
MLA
复制
APA
复制
导出至
BibTeX EndNote RefMan NoteFirst NoteExpress
×
提示
您的信息不完整,为了账户安全,请先补充。
现在去补充
×
提示
您因"违规操作"
具体请查看互助需知
我知道了
×
提示
确定
请完成安全验证×
copy
已复制链接
快去分享给好友吧!
我知道了
右上角分享
点击右上角分享
0
联系我们:info@booksci.cn Book学术提供免费学术资源搜索服务,方便国内外学者检索中英文文献。致力于提供最便捷和优质的服务体验。 Copyright © 2023 布克学术 All rights reserved.
京ICP备2023020795号-1
ghs 京公网安备 11010802042870号
Book学术文献互助
Book学术文献互助群
群 号:604180095
Book学术官方微信