Developing personalized algorithms for sensing mental health symptoms in daily life.

Adela C Timmons, Abdullah Aman Tutul, Kleanthis Avramidis, Jacqueline B Duong, Kayla E Carta, Sierra N Walters, Grace A Jumonville, Alyssa S Carrasco, Gabrielle F Freitag, Daniela N Romero, Matthew W Ahle, Jonathan S Comer, Shrikanth S Narayanan, Ishita P Khurd, Theodora Chaspari
{"title":"Developing personalized algorithms for sensing mental health symptoms in daily life.","authors":"Adela C Timmons, Abdullah Aman Tutul, Kleanthis Avramidis, Jacqueline B Duong, Kayla E Carta, Sierra N Walters, Grace A Jumonville, Alyssa S Carrasco, Gabrielle F Freitag, Daniela N Romero, Matthew W Ahle, Jonathan S Comer, Shrikanth S Narayanan, Ishita P Khurd, Theodora Chaspari","doi":"10.1038/s44184-025-00147-5","DOIUrl":null,"url":null,"abstract":"<p><p>The integration of artificial intelligence (AI) and pervasive computing offers new opportunities to sense mental health symptoms and deliver just-in-time adaptive interventions via mobile devices. This pilot study tested personalized versus generalized machine learning models for detecting individual and family mental health symptoms as a foundational step toward JITAI development, using data collected through the Colliga app on smart devices. Over a 60-day period, data from 35 families resulted in approximately 14 million data points across 52 data streams. Findings showed that personalized models consistently outperformed generalized models. Model performance varied significantly based on individual factors and symptom profiles, underscoring the need for tailored approaches. These preliminary findings suggest that successful implementation of passive sensing technologies for mental health will require accounting for users' unique characteristics. Further research with larger samples is needed to refine the models, address data heterogeneity, and develop scalable systems for personalized mental health interventions.</p>","PeriodicalId":74321,"journal":{"name":"Npj mental health research","volume":"4 1","pages":"34"},"PeriodicalIF":0.0000,"publicationDate":"2025-08-06","publicationTypes":"Journal Article","fieldsOfStudy":null,"isOpenAccess":false,"openAccessPdf":"https://www.ncbi.nlm.nih.gov/pmc/articles/PMC12329041/pdf/","citationCount":"0","resultStr":null,"platform":"Semanticscholar","paperid":null,"PeriodicalName":"Npj mental health research","FirstCategoryId":"1085","ListUrlMain":"https://doi.org/10.1038/s44184-025-00147-5","RegionNum":0,"RegionCategory":null,"ArticlePicture":[],"TitleCN":null,"AbstractTextCN":null,"PMCID":null,"EPubDate":"","PubModel":"","JCR":"","JCRName":"","Score":null,"Total":0}
引用次数: 0

Abstract

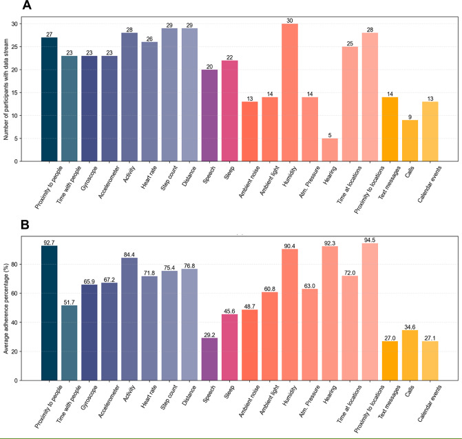
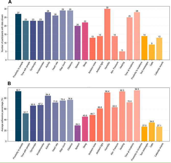
The integration of artificial intelligence (AI) and pervasive computing offers new opportunities to sense mental health symptoms and deliver just-in-time adaptive interventions via mobile devices. This pilot study tested personalized versus generalized machine learning models for detecting individual and family mental health symptoms as a foundational step toward JITAI development, using data collected through the Colliga app on smart devices. Over a 60-day period, data from 35 families resulted in approximately 14 million data points across 52 data streams. Findings showed that personalized models consistently outperformed generalized models. Model performance varied significantly based on individual factors and symptom profiles, underscoring the need for tailored approaches. These preliminary findings suggest that successful implementation of passive sensing technologies for mental health will require accounting for users' unique characteristics. Further research with larger samples is needed to refine the models, address data heterogeneity, and develop scalable systems for personalized mental health interventions.

Abstract Image

Abstract Image

Abstract Image

Abstract Image

Abstract Image

Abstract Image

开发个性化算法,用于感知日常生活中的心理健康症状。
人工智能(AI)和普适计算的融合为感知心理健康症状和通过移动设备及时提供适应性干预提供了新的机会。这项试点研究使用通过智能设备上的Colliga应用程序收集的数据,测试了用于检测个人和家庭心理健康症状的个性化和广义机器学习模型,作为JITAI开发的基础步骤。在60天的时间里,来自35个家庭的数据在52个数据流中产生了大约1400万个数据点。研究结果表明,个性化模型始终优于广义模型。模型的性能根据个体因素和症状特征有很大差异,这强调了定制方法的必要性。这些初步发现表明,成功实施被动感知技术用于心理健康将需要考虑到用户的独特特征。需要更大样本的进一步研究来完善模型,解决数据异质性,并开发个性化心理健康干预的可扩展系统。
本文章由计算机程序翻译,如有差异,请以英文原文为准。
求助全文
约1分钟内获得全文 求助全文
来源期刊
自引率
0.00%
发文量
0
×
引用
GB/T 7714-2015
复制
MLA
复制
APA
复制
导出至
BibTeX EndNote RefMan NoteFirst NoteExpress
×
提示
您的信息不完整,为了账户安全,请先补充。
现在去补充
×
提示
您因"违规操作"
具体请查看互助需知
我知道了
×
提示
确定
请完成安全验证×
copy
已复制链接
快去分享给好友吧!
我知道了
右上角分享
点击右上角分享
0
联系我们:info@booksci.cn Book学术提供免费学术资源搜索服务,方便国内外学者检索中英文文献。致力于提供最便捷和优质的服务体验。 Copyright © 2023 布克学术 All rights reserved.
京ICP备2023020795号-1
ghs 京公网安备 11010802042870号
Book学术文献互助
Book学术文献互助群
群 号:604180095
Book学术官方微信