Enhancing regional disease burden estimates: insights from the comparison of Global Burden of Disease and China's notifiable infectious diseases data with policy implications (2010-2020).

IF 5.5 1区 医学
Zi-Yu Zhao, Jiao-Jiao Li, Han-Qi Ouyang, Wei-Hao Li, Sheng-Kai Huang, Okugbe Ebiotubo Ohore, Lu Wang, Jürg Utzinger, Guo-Jing Yang
{"title":"Enhancing regional disease burden estimates: insights from the comparison of Global Burden of Disease and China's notifiable infectious diseases data with policy implications (2010-2020).","authors":"Zi-Yu Zhao, Jiao-Jiao Li, Han-Qi Ouyang, Wei-Hao Li, Sheng-Kai Huang, Okugbe Ebiotubo Ohore, Lu Wang, Jürg Utzinger, Guo-Jing Yang","doi":"10.1186/s40249-025-01351-3","DOIUrl":null,"url":null,"abstract":"<p><strong>Background: </strong>The Global Burden of Disease (GBD) study offers influential Disability-Adjusted Life Years (DALYs) estimates for various diseases. However, discrepancies with national surveillance data raise concerns about accuracy. This study aims to promote the deep integration of the GBD model with localized data and facilitate the development of region-specific models.</p><p><strong>Methods: </strong>Data for 14 notifiable infectious diseases (NIDs), grouped into intestinal infectious diseases, respiratory infectious diseases, and sexually transmitted and blood-borne infections, were obtained from the Data-center of China Public Health Science. DALYs based on national surveillance data (2010-2020) were calculated using DALY formulas, and discrepancies with GBD estimates were quantified through ratio comparisons. A historical timeline map highlighted key infectious disease control policies and certified disease elimination events in China.</p><p><strong>Results: </strong>National surveillance data show a decrease in DALYs for 14 NIDs in China, from 6,529,124.62 person-years in 2010 to 6,326,497.18 person-years in 2020. Among them, sexually transmitted and blood-borne infections have the highest burden, with 78% of DALYs attributed to hepatitis B (4,864,028.29 person-years). Respiratory infectious diseases follow, with 99% of DALYs from TB (394,927.70 person-years). Intestinal infectious diseases have the relative lightest burden, with 45% of DALYs from hepatitis E (496.49 person-years). Over 11 years, 9 of the 14 NIDs showed a downward trend. Comparisons reveal that DALYs based on national surveillance data are lower than GBD 2021 estimates.</p><p><strong>Conclusions: </strong>Considerable differences exist between the GBD estimates and national surveillance data regarding the burden of 14 NIDs in China. Therefore, strengthening national reporting systems and integrating localized data with the GBD model is essential for more accurate disease burden assessments and effective response strategies. Despite significant progress in infectious disease control, China still faces substantial challenges in domestic disease elimination.</p>","PeriodicalId":48820,"journal":{"name":"Infectious Diseases of Poverty","volume":"14 1","pages":"81"},"PeriodicalIF":5.5000,"publicationDate":"2025-08-06","publicationTypes":"Journal Article","fieldsOfStudy":null,"isOpenAccess":false,"openAccessPdf":"https://www.ncbi.nlm.nih.gov/pmc/articles/PMC12326785/pdf/","citationCount":"0","resultStr":null,"platform":"Semanticscholar","paperid":null,"PeriodicalName":"Infectious Diseases of Poverty","FirstCategoryId":"3","ListUrlMain":"https://doi.org/10.1186/s40249-025-01351-3","RegionNum":1,"RegionCategory":"医学","ArticlePicture":[],"TitleCN":null,"AbstractTextCN":null,"PMCID":null,"EPubDate":"","PubModel":"","JCR":"","JCRName":"","Score":null,"Total":0}
引用次数: 0

Abstract

Background: The Global Burden of Disease (GBD) study offers influential Disability-Adjusted Life Years (DALYs) estimates for various diseases. However, discrepancies with national surveillance data raise concerns about accuracy. This study aims to promote the deep integration of the GBD model with localized data and facilitate the development of region-specific models.

Methods: Data for 14 notifiable infectious diseases (NIDs), grouped into intestinal infectious diseases, respiratory infectious diseases, and sexually transmitted and blood-borne infections, were obtained from the Data-center of China Public Health Science. DALYs based on national surveillance data (2010-2020) were calculated using DALY formulas, and discrepancies with GBD estimates were quantified through ratio comparisons. A historical timeline map highlighted key infectious disease control policies and certified disease elimination events in China.

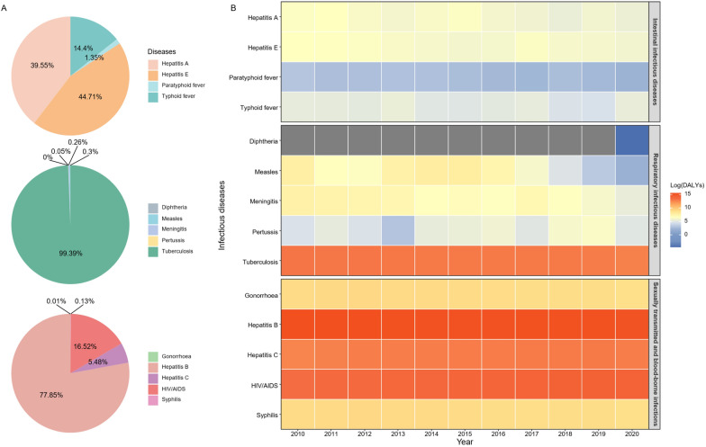
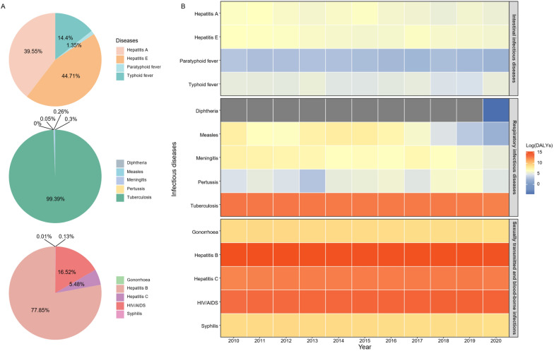
Results: National surveillance data show a decrease in DALYs for 14 NIDs in China, from 6,529,124.62 person-years in 2010 to 6,326,497.18 person-years in 2020. Among them, sexually transmitted and blood-borne infections have the highest burden, with 78% of DALYs attributed to hepatitis B (4,864,028.29 person-years). Respiratory infectious diseases follow, with 99% of DALYs from TB (394,927.70 person-years). Intestinal infectious diseases have the relative lightest burden, with 45% of DALYs from hepatitis E (496.49 person-years). Over 11 years, 9 of the 14 NIDs showed a downward trend. Comparisons reveal that DALYs based on national surveillance data are lower than GBD 2021 estimates.

Conclusions: Considerable differences exist between the GBD estimates and national surveillance data regarding the burden of 14 NIDs in China. Therefore, strengthening national reporting systems and integrating localized data with the GBD model is essential for more accurate disease burden assessments and effective response strategies. Despite significant progress in infectious disease control, China still faces substantial challenges in domestic disease elimination.

Abstract Image

Abstract Image

Abstract Image

Abstract Image

Abstract Image

Abstract Image

加强区域疾病负担估算:2010-2020年全球疾病负担与中国法定传染病数据比较的启示
背景:全球疾病负担(GBD)研究为各种疾病提供了有影响力的残疾调整生命年(DALYs)估计。然而,与国家监测数据的差异引起了对准确性的担忧。本研究旨在促进GBD模型与本地化数据的深度融合,促进区域模型的发展。方法:从中国公共卫生科学数据中心获取14种法定传染病(NIDs)的数据,分为肠道传染病、呼吸道传染病、性传播和血源性感染。使用DALY公式计算基于国家监测数据(2010-2020年)的DALY,并通过比率比较量化与GBD估计值的差异。历史时间轴地图突出了中国主要传染病控制政策和经认证的疾病消除事件。结果:国家监测数据显示,中国14个NIDs的DALYs从2010年的6,529,124.62人年减少到2020年的6,326,497.18人年。其中,性传播感染和血源性感染负担最重,78%的伤残调整生命年归因于乙型肝炎(4,864,028.29人年)。其次是呼吸道传染病,99%的伤残调整生命年来自结核病(394,927.70人年)。肠道感染性疾病的负担相对较轻,戊型肝炎(496.49人-年)的DALYs占45%。在11年中,14个国家中有9个国家呈现下降趋势。比较表明,基于国家监测数据的伤残调整生命年低于2021年《GBD》估计值。结论:关于中国14个国家传染病负担的GBD估计值与国家监测数据之间存在相当大的差异。因此,加强国家报告系统并将本地化数据与GBD模型相结合,对于更准确地评估疾病负担和制定有效的应对战略至关重要。尽管中国在传染病控制方面取得了重大进展,但在消除国内疾病方面仍面临重大挑战。
本文章由计算机程序翻译,如有差异,请以英文原文为准。
求助全文
约1分钟内获得全文 求助全文
来源期刊
Infectious Diseases of Poverty
Infectious Diseases of Poverty INFECTIOUS DISEASES-
自引率
1.20%
发文量
368
期刊介绍: Infectious Diseases of Poverty is an open access, peer-reviewed journal that focuses on addressing essential public health questions related to infectious diseases of poverty. The journal covers a wide range of topics including the biology of pathogens and vectors, diagnosis and detection, treatment and case management, epidemiology and modeling, zoonotic hosts and animal reservoirs, control strategies and implementation, new technologies and application. It also considers the transdisciplinary or multisectoral effects on health systems, ecohealth, environmental management, and innovative technology. The journal aims to identify and assess research and information gaps that hinder progress towards new interventions for public health problems in the developing world. Additionally, it provides a platform for discussing these issues to advance research and evidence building for improved public health interventions in poor settings.
×
引用
GB/T 7714-2015
复制
MLA
复制
APA
复制
导出至
BibTeX EndNote RefMan NoteFirst NoteExpress
×
提示
您的信息不完整,为了账户安全,请先补充。
现在去补充
×
提示
您因"违规操作"
具体请查看互助需知
我知道了
×
提示
确定
请完成安全验证×
copy
已复制链接
快去分享给好友吧!
我知道了
右上角分享
点击右上角分享
0
联系我们:info@booksci.cn Book学术提供免费学术资源搜索服务,方便国内外学者检索中英文文献。致力于提供最便捷和优质的服务体验。 Copyright © 2023 布克学术 All rights reserved.
京ICP备2023020795号-1
ghs 京公网安备 11010802042870号
Book学术文献互助
Book学术文献互助群
群 号:604180095
Book学术官方微信