Daily iron supplementation does not impact on prevalence of exclusive breastfeeding or growth in young breastfed Gambian infants.

IF 2.5 Q2 NUTRITION & DIETETICS
BMJ Nutrition, Prevention and Health Pub Date : 2025-01-11 eCollection Date: 2025-01-01 DOI:10.1136/bmjnph-2023-000847
Isabella Stelle, Mamadou Bah, Hans Verhoef, Sophie Moore, Carla Cerami
{"title":"Daily iron supplementation does not impact on prevalence of exclusive breastfeeding or growth in young breastfed Gambian infants.","authors":"Isabella Stelle, Mamadou Bah, Hans Verhoef, Sophie Moore, Carla Cerami","doi":"10.1136/bmjnph-2023-000847","DOIUrl":null,"url":null,"abstract":"<p><strong>Background: </strong>In a randomised placebo-controlled trial among exclusively breastfed rural Gambian infants aged 6-10 weeks at randomisation, daily iron supplementation for 14 weeks improved iron status. This secondary analysis explores the impact of iron supplementation on duration of exclusive breastfeeding and growth.</p><p><strong>Methods: </strong>Breastfed 6-10 week-old infants were supplemented for 14 weeks with either daily iron or placebo (n=101). Infant feeding practices were assessed weekly through questionnaires. Survival analysis was used to measure the effect of iron supplementation on age at and time to cessation of exclusive breastfeeding. Groups were also compared regarding the change in anthropometric z-scores between baseline and endline.</p><p><strong>Results: </strong>At endline, 31% (n=31/101) of infants were exclusively breastfed. There was no evidence that iron supplementation reduced the time to cessation of exclusive breastfeeding (median: 70 days (range: 7-105 days), iron: 67 days; placebo 71 days; Kaplan-Meier, log-rank test: p=0.15; Cox regression, crude HR: 1.42, 95% CI: 0.86 to 2.34, p=0.17; HR adjusting for infant age and sex: 1.40, 95% CI: 0.85 to 2.31, p=0.19) or age at cessation of exclusive breastfeeding (median time: 18 weeks (range:1-24 weeks), iron: 16 weeks; placebo 18 weeks; Kaplan-Meier, log-rank test: p=0.13; crude HR=1.47, 95% CI: 0.89, 2.43; p=0.13; HR adjusting for infant age and sex=1.44, 95% CI: 0.87, 2.39 p=0.16) There was no evidence that iron supplementation affected infant weight (p=0.79) or length (p=0.64) at endline or change in z-scores during the intervention period for weight-for-age (p=0.99), length-for-age (p=0.70) and weight-for-length (p=0.89). There was no evidence that duration of exclusive breastfeeding impacted endline anthropometric outcomes.</p><p><strong>Conclusion: </strong>Although requiring replication in larger trials, these findings do not raise concerns about iron supplementations' effect on feeding or growth in exclusively breastfed infants.</p>","PeriodicalId":36307,"journal":{"name":"BMJ Nutrition, Prevention and Health","volume":"8 1","pages":"e000847"},"PeriodicalIF":2.5000,"publicationDate":"2025-01-11","publicationTypes":"Journal Article","fieldsOfStudy":null,"isOpenAccess":false,"openAccessPdf":"https://www.ncbi.nlm.nih.gov/pmc/articles/PMC12322543/pdf/","citationCount":"0","resultStr":null,"platform":"Semanticscholar","paperid":null,"PeriodicalName":"BMJ Nutrition, Prevention and Health","FirstCategoryId":"1085","ListUrlMain":"https://doi.org/10.1136/bmjnph-2023-000847","RegionNum":0,"RegionCategory":null,"ArticlePicture":[],"TitleCN":null,"AbstractTextCN":null,"PMCID":null,"EPubDate":"2025/1/1 0:00:00","PubModel":"eCollection","JCR":"Q2","JCRName":"NUTRITION & DIETETICS","Score":null,"Total":0}
引用次数: 0

Abstract

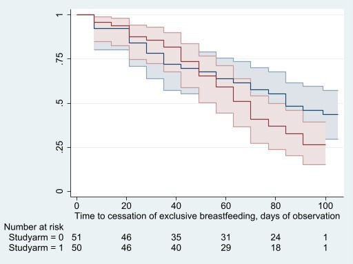
Background: In a randomised placebo-controlled trial among exclusively breastfed rural Gambian infants aged 6-10 weeks at randomisation, daily iron supplementation for 14 weeks improved iron status. This secondary analysis explores the impact of iron supplementation on duration of exclusive breastfeeding and growth.

Methods: Breastfed 6-10 week-old infants were supplemented for 14 weeks with either daily iron or placebo (n=101). Infant feeding practices were assessed weekly through questionnaires. Survival analysis was used to measure the effect of iron supplementation on age at and time to cessation of exclusive breastfeeding. Groups were also compared regarding the change in anthropometric z-scores between baseline and endline.

Results: At endline, 31% (n=31/101) of infants were exclusively breastfed. There was no evidence that iron supplementation reduced the time to cessation of exclusive breastfeeding (median: 70 days (range: 7-105 days), iron: 67 days; placebo 71 days; Kaplan-Meier, log-rank test: p=0.15; Cox regression, crude HR: 1.42, 95% CI: 0.86 to 2.34, p=0.17; HR adjusting for infant age and sex: 1.40, 95% CI: 0.85 to 2.31, p=0.19) or age at cessation of exclusive breastfeeding (median time: 18 weeks (range:1-24 weeks), iron: 16 weeks; placebo 18 weeks; Kaplan-Meier, log-rank test: p=0.13; crude HR=1.47, 95% CI: 0.89, 2.43; p=0.13; HR adjusting for infant age and sex=1.44, 95% CI: 0.87, 2.39 p=0.16) There was no evidence that iron supplementation affected infant weight (p=0.79) or length (p=0.64) at endline or change in z-scores during the intervention period for weight-for-age (p=0.99), length-for-age (p=0.70) and weight-for-length (p=0.89). There was no evidence that duration of exclusive breastfeeding impacted endline anthropometric outcomes.

Conclusion: Although requiring replication in larger trials, these findings do not raise concerns about iron supplementations' effect on feeding or growth in exclusively breastfed infants.

Abstract Image

Abstract Image

Abstract Image

每日补铁不会影响纯母乳喂养的流行率或冈比亚母乳喂养婴儿的生长。
背景:在一项随机安慰剂对照试验中,在6-10周龄的冈比亚农村纯母乳喂养婴儿中,每天补充铁,持续14周可改善铁状态。这一次要分析探讨了补充铁对纯母乳喂养持续时间和生长的影响。方法:母乳喂养的6-10周龄婴儿在14周内补充每日铁或安慰剂(n=101)。每周通过问卷对婴儿喂养方式进行评估。生存分析用于测量补铁对纯母乳喂养年龄和停止时间的影响。还比较各组在基线和终点之间人体测量z分数的变化。结果:31% (n=31/101)的婴儿接受纯母乳喂养。没有证据表明补充铁可以缩短停止纯母乳喂养的时间(中位数:70天(范围:7-105天),铁:67天;安慰剂71天;Kaplan-Meier, log-rank检验:p=0.15;Cox回归,粗HR: 1.42, 95% CI: 0.86 ~ 2.34, p=0.17;调整婴儿年龄和性别的HR: 1.40, 95% CI: 0.85至2.31,p=0.19)或停止纯母乳喂养时的年龄(中位时间:18周(范围:1-24周),铁:16周;安慰剂18周;Kaplan-Meier, log-rank检验:p=0.13;粗HR=1.47, 95% CI: 0.89, 2.43;p = 0.13;婴儿年龄和性别的HR调整=1.44,95% CI: 0.87, 2.39 p=0.16)没有证据表明补铁影响婴儿体重(p=0.79)或体长(p=0.64),也没有证据表明在干预期间,年龄体重(p=0.99)、年龄体重(p=0.70)和体长体重(p=0.89)的z得分发生变化。没有证据表明纯母乳喂养的持续时间会影响终末人体测量结果。结论:尽管需要在更大规模的试验中进行复制,但这些发现并不会引起人们对铁补充剂对纯母乳喂养婴儿的喂养或生长的影响的担忧。
本文章由计算机程序翻译,如有差异,请以英文原文为准。
求助全文
约1分钟内获得全文 求助全文
来源期刊
BMJ Nutrition, Prevention and Health
BMJ Nutrition, Prevention and Health Nursing-Nutrition and Dietetics
CiteScore
5.80
自引率
0.00%
发文量
34
×
引用
GB/T 7714-2015
复制
MLA
复制
APA
复制
导出至
BibTeX EndNote RefMan NoteFirst NoteExpress
×
提示
您的信息不完整,为了账户安全,请先补充。
现在去补充
×
提示
您因"违规操作"
具体请查看互助需知
我知道了
×
提示
确定
请完成安全验证×
copy
已复制链接
快去分享给好友吧!
我知道了
右上角分享
点击右上角分享
0
联系我们:info@booksci.cn Book学术提供免费学术资源搜索服务,方便国内外学者检索中英文文献。致力于提供最便捷和优质的服务体验。 Copyright © 2023 布克学术 All rights reserved.
京ICP备2023020795号-1
ghs 京公网安备 11010802042870号
Book学术文献互助
Book学术文献互助群
群 号:604180095
Book学术官方微信