Associations of serum choline, betaine and trimethylamine N-oxide with gestational diabetes mellitus among Chinese pregnant women.

IF 2.5 Q2 NUTRITION & DIETETICS
BMJ Nutrition, Prevention and Health Pub Date : 2025-04-03 eCollection Date: 2025-01-01 DOI:10.1136/bmjnph-2024-001111
Gunjana Saikia, Xiaoxi Shen, Yuhong Liu, Kefeng Yang, Hui Wu, Lingpeng Lu, J Lauren Butler, Cassandra M Johnson, Geer Lou, Shiyin Wu, Meiqin Cai, Liang Wang, Jie Jia, Jie Zhu
{"title":"Associations of serum choline, betaine and trimethylamine N-oxide with gestational diabetes mellitus among Chinese pregnant women.","authors":"Gunjana Saikia, Xiaoxi Shen, Yuhong Liu, Kefeng Yang, Hui Wu, Lingpeng Lu, J Lauren Butler, Cassandra M Johnson, Geer Lou, Shiyin Wu, Meiqin Cai, Liang Wang, Jie Jia, Jie Zhu","doi":"10.1136/bmjnph-2024-001111","DOIUrl":null,"url":null,"abstract":"<p><strong>Objective: </strong>Mechanistic studies indicated beneficial effects of choline and betaine on glucose homeostasis during pregnancy. However, limited human studies explored the associations of biomarkers of choline and its related metabolites with gestational diabetes mellitus (GDM) and results remained inconsistent. This study aimed to explore associations of serum choline, betaine and trimethylamine N-oxide (TMAO) with GDM odds among Han Chinese women.</p><p><strong>Research design and methods: </strong>Pregnant women with singleton gestation were enrolled during GDM screening between 24 and 28 weeks of gestation at the Seventh People's Hospital in Shanghai, China. Women with GDM cases (n=173) and non-GDM controls (healthy women without pregnancy-related complications, n=158) were enrolled. Serum metabolites were measured by ultra-high performance liquid chromatography-multiple reaction monitoring-tandem mass spectrometry method. Multivariable logistic regression analyses were used to estimate ORs and their 95% CIs for the associations of these three metabolites with likelihood of GDM.</p><p><strong>Results: </strong>Compared with the lowest tertile of serum choline and betaine, women in the highest tertile had a multivariate-adjusted OR (95% CI) for GDM odds of 0.55 (0.30, 1.00) and 0.55 (0.30, 1.00), respectively. No significant association was found between serum TMAO and GDM odds. In addition, the stratified analysis results showed that among women with abnormal weight gain during pregnancy, there was a significant inverse association between serum betaine and GDM odds [OR (95% CI), 0.26 (0.13, 0.57)].</p><p><strong>Conclusion: </strong>Serum choline and betaine, but not TMAO, tend to be inversely associated with GDM odds among Han Chinese women with singleton gestation. Especially among those women with abnormal weight gain during pregnancy, higher serum betaine was associated with lower GDM likelihood.</p>","PeriodicalId":36307,"journal":{"name":"BMJ Nutrition, Prevention and Health","volume":"8 1","pages":"e001111"},"PeriodicalIF":2.5000,"publicationDate":"2025-04-03","publicationTypes":"Journal Article","fieldsOfStudy":null,"isOpenAccess":false,"openAccessPdf":"https://www.ncbi.nlm.nih.gov/pmc/articles/PMC12322560/pdf/","citationCount":"0","resultStr":null,"platform":"Semanticscholar","paperid":null,"PeriodicalName":"BMJ Nutrition, Prevention and Health","FirstCategoryId":"1085","ListUrlMain":"https://doi.org/10.1136/bmjnph-2024-001111","RegionNum":0,"RegionCategory":null,"ArticlePicture":[],"TitleCN":null,"AbstractTextCN":null,"PMCID":null,"EPubDate":"2025/1/1 0:00:00","PubModel":"eCollection","JCR":"Q2","JCRName":"NUTRITION & DIETETICS","Score":null,"Total":0}
引用次数: 0

Abstract

Objective: Mechanistic studies indicated beneficial effects of choline and betaine on glucose homeostasis during pregnancy. However, limited human studies explored the associations of biomarkers of choline and its related metabolites with gestational diabetes mellitus (GDM) and results remained inconsistent. This study aimed to explore associations of serum choline, betaine and trimethylamine N-oxide (TMAO) with GDM odds among Han Chinese women.

Research design and methods: Pregnant women with singleton gestation were enrolled during GDM screening between 24 and 28 weeks of gestation at the Seventh People's Hospital in Shanghai, China. Women with GDM cases (n=173) and non-GDM controls (healthy women without pregnancy-related complications, n=158) were enrolled. Serum metabolites were measured by ultra-high performance liquid chromatography-multiple reaction monitoring-tandem mass spectrometry method. Multivariable logistic regression analyses were used to estimate ORs and their 95% CIs for the associations of these three metabolites with likelihood of GDM.

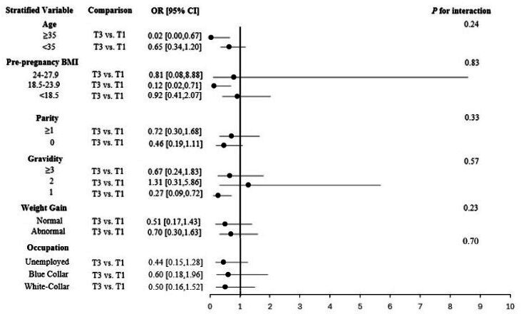
Results: Compared with the lowest tertile of serum choline and betaine, women in the highest tertile had a multivariate-adjusted OR (95% CI) for GDM odds of 0.55 (0.30, 1.00) and 0.55 (0.30, 1.00), respectively. No significant association was found between serum TMAO and GDM odds. In addition, the stratified analysis results showed that among women with abnormal weight gain during pregnancy, there was a significant inverse association between serum betaine and GDM odds [OR (95% CI), 0.26 (0.13, 0.57)].

Conclusion: Serum choline and betaine, but not TMAO, tend to be inversely associated with GDM odds among Han Chinese women with singleton gestation. Especially among those women with abnormal weight gain during pregnancy, higher serum betaine was associated with lower GDM likelihood.

Abstract Image

Abstract Image

Abstract Image

中国孕妇血清胆碱、甜菜碱和三甲胺n -氧化物与妊娠期糖尿病的关系
目的:机制研究表明胆碱和甜菜碱对妊娠期葡萄糖稳态的有益作用。然而,有限的人类研究探索了胆碱生物标志物及其相关代谢物与妊娠糖尿病(GDM)的关系,结果仍然不一致。本研究旨在探讨血清胆碱、甜菜碱和三甲胺n -氧化物(TMAO)与汉族女性GDM发病率的关系。研究设计和方法:在中国上海第七人民医院接受妊娠24 - 28周GDM筛查的单胎妊娠孕妇。纳入了患有GDM的女性(n=173)和非GDM对照者(n= 158)。采用超高效液相色谱-多重反应监测-串联质谱法测定血清代谢物。使用多变量logistic回归分析来估计这三种代谢物与GDM可能性之间的or及其95% ci。结果:与最低分位数的血清胆碱和甜菜碱相比,最高分位数的女性GDM的多变量调整OR (95% CI)分别为0.55(0.30,1.00)和0.55(0.30,1.00)。血清TMAO与GDM发生率无显著相关性。此外,分层分析结果显示,在孕期体重异常增加的女性中,血清甜菜碱与GDM的几率呈显著负相关[OR (95% CI), 0.26(0.13, 0.57)]。结论:汉族单胎妊娠妇女血清胆碱和甜菜碱与GDM发生率呈负相关,而TMAO与GDM发生率呈负相关。特别是在孕期体重异常增加的妇女中,较高的血清甜菜碱与较低的GDM可能性相关。
本文章由计算机程序翻译,如有差异,请以英文原文为准。
求助全文
约1分钟内获得全文 求助全文
来源期刊
BMJ Nutrition, Prevention and Health
BMJ Nutrition, Prevention and Health Nursing-Nutrition and Dietetics
CiteScore
5.80
自引率
0.00%
发文量
34
×
引用
GB/T 7714-2015
复制
MLA
复制
APA
复制
导出至
BibTeX EndNote RefMan NoteFirst NoteExpress
×
提示
您的信息不完整,为了账户安全,请先补充。
现在去补充
×
提示
您因"违规操作"
具体请查看互助需知
我知道了
×
提示
确定
请完成安全验证×
copy
已复制链接
快去分享给好友吧!
我知道了
右上角分享
点击右上角分享
0
联系我们:info@booksci.cn Book学术提供免费学术资源搜索服务,方便国内外学者检索中英文文献。致力于提供最便捷和优质的服务体验。 Copyright © 2023 布克学术 All rights reserved.
京ICP备2023020795号-1
ghs 京公网安备 11010802042870号
Book学术文献互助
Book学术文献互助群
群 号:604180095
Book学术官方微信