Efficacy of garlic (Allium sativum) on metabolic syndrome components in women with polycystic ovary syndrome: randomized controlled trial.

IF 2.8 3区 医学 Q3 ENVIRONMENTAL SCIENCES
Naiiere Gharagozloo Hesari, Shahideh Jahanian Sadatmahalleh, Parvin Mohebbi, Malihe Nasiri, Ahmad Khosravi
{"title":"Efficacy of garlic (Allium sativum) on metabolic syndrome components in women with polycystic ovary syndrome: randomized controlled trial.","authors":"Naiiere Gharagozloo Hesari, Shahideh Jahanian Sadatmahalleh, Parvin Mohebbi, Malihe Nasiri, Ahmad Khosravi","doi":"10.1186/s41043-025-01025-8","DOIUrl":null,"url":null,"abstract":"<p><strong>Background: </strong>This study aimed to illustrate the effect of garlic supplementation on metabolic syndrome (MetS) components in women with polycystic ovary syndrome (PCOS).</p><p><strong>Methods: </strong>From 2020 to 2021, a randomized controlled clinical trial was conducted on 97 women with PCOS and MetS. Participants were randomly assigned to receive either garlic tablets (500 mg containing 2-3 mg allicin; n = 49) or placebo tablets (n = 48) twice daily for 8 weeks. The study assessed changes in MetS indices, quality of life (QoL), and sexual function before and after the intervention.</p><p><strong>Results: </strong>After 8 weeks, the garlic group showed significant reductions in fasting blood sugar (FBS) by 10.5% (from 107.2 to 95.9 mg/dL; P < 0.001), triglycerides (TG) by 17.8% (P = 0.002), low-density lipoprotein cholesterol (LDL-C) by 14.2% (P < 0.001), total cholesterol (TC) by 12.6% (P < 0.001), and C-reactive protein (CRP) by 24.7% (P < 0.001), compared to the placebo group. A significant increase in sex hormone-binding globulin (SHBG) levels was also observed (18.3%; P = 0.005). Systolic and diastolic blood pressure decreased significantly by 5.2% and 6.1%, respectively (P < 0.001 and P = 0.001), and both weight and body mass index (BMI) were significantly reduced (P < 0.01). However, the waist-to-hip ratio (WHR) did not change significantly (P = 0.86). Notable improvements were also observed in all six domains of the Female Sexual Function Index (FSFI)- desire, arousal, lubrication, orgasm, satisfaction, and pain (P < 0.05 for all). Moreover, significant enhancements were recorded in all domains of the Modified Polycystic Ovary Syndrome Health-Related Quality of Life Questionnaire (MPCOSQ), including hirsutism, acne, weight, infertility, menstrual, and emotional disturbances (P < 0.001 for all). The study's limitations include a relatively short follow-up period, lack of strict dietary control, and the omission of some relevant hormonal assays (e.g., androstenedione, DHEA, and DHEAS) due to budgetary constraints.</p><p><strong>Conclusions: </strong>The results suggest that garlic supplementation may be an effective strategy for managing MetS markers in women with PCOS.</p><p><strong>Trial registration: </strong>IRCT20150905023897N4, Registration date: 09/11/2019 ( https://irct.behdasht.gov.ir/trial/42316 ).</p>","PeriodicalId":15969,"journal":{"name":"Journal of Health, Population, and Nutrition","volume":"44 1","pages":"282"},"PeriodicalIF":2.8000,"publicationDate":"2025-08-06","publicationTypes":"Journal Article","fieldsOfStudy":null,"isOpenAccess":false,"openAccessPdf":"https://www.ncbi.nlm.nih.gov/pmc/articles/PMC12330188/pdf/","citationCount":"0","resultStr":null,"platform":"Semanticscholar","paperid":null,"PeriodicalName":"Journal of Health, Population, and Nutrition","FirstCategoryId":"3","ListUrlMain":"https://doi.org/10.1186/s41043-025-01025-8","RegionNum":3,"RegionCategory":"医学","ArticlePicture":[],"TitleCN":null,"AbstractTextCN":null,"PMCID":null,"EPubDate":"","PubModel":"","JCR":"Q3","JCRName":"ENVIRONMENTAL SCIENCES","Score":null,"Total":0}
引用次数: 0

Abstract

Background: This study aimed to illustrate the effect of garlic supplementation on metabolic syndrome (MetS) components in women with polycystic ovary syndrome (PCOS).

Methods: From 2020 to 2021, a randomized controlled clinical trial was conducted on 97 women with PCOS and MetS. Participants were randomly assigned to receive either garlic tablets (500 mg containing 2-3 mg allicin; n = 49) or placebo tablets (n = 48) twice daily for 8 weeks. The study assessed changes in MetS indices, quality of life (QoL), and sexual function before and after the intervention.

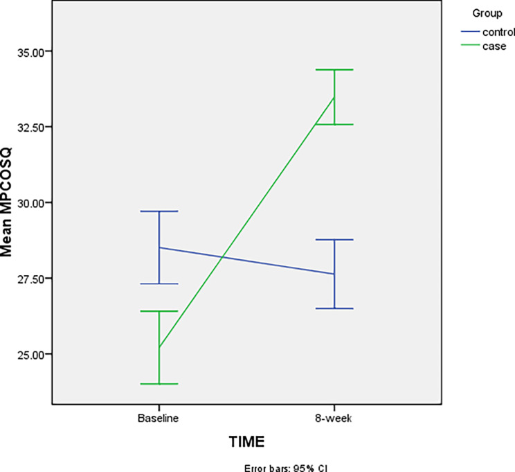
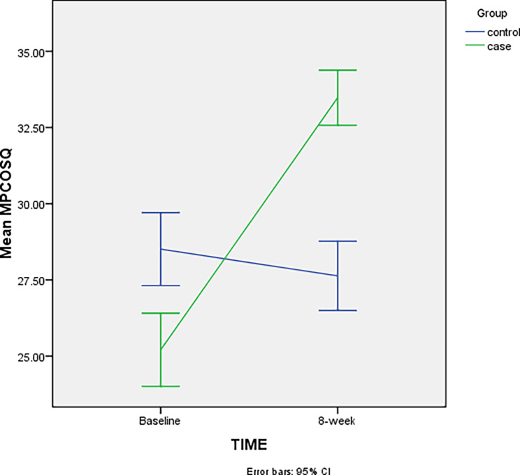
Results: After 8 weeks, the garlic group showed significant reductions in fasting blood sugar (FBS) by 10.5% (from 107.2 to 95.9 mg/dL; P < 0.001), triglycerides (TG) by 17.8% (P = 0.002), low-density lipoprotein cholesterol (LDL-C) by 14.2% (P < 0.001), total cholesterol (TC) by 12.6% (P < 0.001), and C-reactive protein (CRP) by 24.7% (P < 0.001), compared to the placebo group. A significant increase in sex hormone-binding globulin (SHBG) levels was also observed (18.3%; P = 0.005). Systolic and diastolic blood pressure decreased significantly by 5.2% and 6.1%, respectively (P < 0.001 and P = 0.001), and both weight and body mass index (BMI) were significantly reduced (P < 0.01). However, the waist-to-hip ratio (WHR) did not change significantly (P = 0.86). Notable improvements were also observed in all six domains of the Female Sexual Function Index (FSFI)- desire, arousal, lubrication, orgasm, satisfaction, and pain (P < 0.05 for all). Moreover, significant enhancements were recorded in all domains of the Modified Polycystic Ovary Syndrome Health-Related Quality of Life Questionnaire (MPCOSQ), including hirsutism, acne, weight, infertility, menstrual, and emotional disturbances (P < 0.001 for all). The study's limitations include a relatively short follow-up period, lack of strict dietary control, and the omission of some relevant hormonal assays (e.g., androstenedione, DHEA, and DHEAS) due to budgetary constraints.

Conclusions: The results suggest that garlic supplementation may be an effective strategy for managing MetS markers in women with PCOS.

Trial registration: IRCT20150905023897N4, Registration date: 09/11/2019 ( https://irct.behdasht.gov.ir/trial/42316 ).

Abstract Image

Abstract Image

Abstract Image

Abstract Image

Abstract Image

Abstract Image

大蒜(Allium sativum)对多囊卵巢综合征女性代谢综合征成分的影响:随机对照试验。
背景:本研究旨在阐明大蒜补充剂对多囊卵巢综合征(PCOS)女性代谢综合征(MetS)成分的影响。方法:从2020年到2021年,对97名PCOS和MetS女性进行随机对照临床试验。参与者被随机分配服用大蒜片(500毫克,含有2-3毫克大蒜素;N = 49)或安慰剂片(N = 48),每天2次,持续8周。该研究评估了干预前后met指数、生活质量(QoL)和性功能的变化。结果:8周后,大蒜组空腹血糖(FBS)显著降低10.5%(从107.2 mg/dL降至95.9 mg/dL;结论:结果表明,大蒜补充剂可能是一种有效的策略来管理代谢代谢标志物的女性多囊卵巢综合征。试验注册:IRCT20150905023897N4,注册日期:2019年11月9日(https://irct.behdasht.gov.ir/trial/42316)。
本文章由计算机程序翻译,如有差异,请以英文原文为准。
求助全文
约1分钟内获得全文 求助全文
来源期刊
Journal of Health, Population, and Nutrition
Journal of Health, Population, and Nutrition 医学-公共卫生、环境卫生与职业卫生
CiteScore
2.20
自引率
0.00%
发文量
49
审稿时长
6 months
期刊介绍: Journal of Health, Population and Nutrition brings together research on all aspects of issues related to population, nutrition and health. The journal publishes articles across a broad range of topics including global health, maternal and child health, nutrition, common illnesses and determinants of population health.
×
引用
GB/T 7714-2015
复制
MLA
复制
APA
复制
导出至
BibTeX EndNote RefMan NoteFirst NoteExpress
×
提示
您的信息不完整,为了账户安全,请先补充。
现在去补充
×
提示
您因"违规操作"
具体请查看互助需知
我知道了
×
提示
确定
请完成安全验证×
copy
已复制链接
快去分享给好友吧!
我知道了
右上角分享
点击右上角分享
0
联系我们:info@booksci.cn Book学术提供免费学术资源搜索服务,方便国内外学者检索中英文文献。致力于提供最便捷和优质的服务体验。 Copyright © 2023 布克学术 All rights reserved.
京ICP备2023020795号-1
ghs 京公网安备 11010802042870号
Book学术文献互助
Book学术文献互助群
群 号:604180095
Book学术官方微信