Associations between serum lipid profiles and the incidence of chronic obstructive pulmonary disease in the UK Biobank.

IF 2.8 3区 医学 Q3 ENVIRONMENTAL SCIENCES
Mengxia Li, Bingqing Xu, Hao Yu, Yanan Wan, Zheng Zhu, Pengfei Luo, Jian Su, Jinyi Zhou, Xikang Fan
{"title":"Associations between serum lipid profiles and the incidence of chronic obstructive pulmonary disease in the UK Biobank.","authors":"Mengxia Li, Bingqing Xu, Hao Yu, Yanan Wan, Zheng Zhu, Pengfei Luo, Jian Su, Jinyi Zhou, Xikang Fan","doi":"10.1186/s41043-025-01026-7","DOIUrl":null,"url":null,"abstract":"<p><strong>Objective: </strong>To investigate the relationship between serum lipid levels and the risk of Chronic obstructive pulmonary disease (COPD) in the UK Biobank.</p><p><strong>Methods: </strong>We performed this prospective study in 381,938 adults without COPD from UK Biobank. Serum high-density cholesterol (HDL-C), low-density cholesterol (LDL-C), total cholesterol (TC), triglyceride (TG), apolipoprotein A (ApoA) and apolipoprotein B (ApoB) were measured and classified into quintiles. Restricted cubic spline (RCS) analysis was applied to visualize the dose-response relationship between lipids and COPD risk and Cox proportional hazard models to calculate hazard ratios (HRs) and 95% confidence intervals (CIs).</p><p><strong>Results: </strong>We documented 10,443 incident COPD cases. Nonlinear relationships were found between HDL-C, LDL-C, TC, ApoA, ApoB and COPD risk with RCS analysis (P values for non-linearity < 0.05). Accordingly, multivariable-adjusted regression analysis indicated abnormal HDL-C and ApoA, and low LDL-C, TC and ApoB were associated with increased risk of COPD. Compared to intermediate quintile (Q3) group, both high or low HDL-C and ApoA were associated with risk of COPD. Corresponding HRs (95% CIs) were 1.15 (1.08-1.22), 1.16 (1.09-1.23) in Q1 group and 1.08 (1.01-1.16), 1.07 (1.00-1.14) in Q5 group. For LDL-C, TC and ApoB, there were more than 29% higher risk was observed in Q1 group with HRs (95% CIs) of 1.34 (1.27-1.42), 1.38 (1.30-1.46) and 1.29 (1.21-1.37), while HRs (95% CIs) were 0.88 (0.83-0.94), 0.92 (0.86-0.98) and 0.90 (0.84-0.95) in Q5 groups. We also observed the interactions between specific lipids and age at recruitment, sex and smoking status with stratified analysis.</p><p><strong>Conclusions: </strong>Our study provides the first evidence demonstrating the associations between six major serum lipids and COPD risk, revealing multiple nonlinear relationships. There were U-shaped associations between serum HDL-C, ApoA and COPD risk, and L-shaped associations between LDL-C, TC, ApoB and COPD risk.</p>","PeriodicalId":15969,"journal":{"name":"Journal of Health, Population, and Nutrition","volume":"44 1","pages":"281"},"PeriodicalIF":2.8000,"publicationDate":"2025-08-06","publicationTypes":"Journal Article","fieldsOfStudy":null,"isOpenAccess":false,"openAccessPdf":"https://www.ncbi.nlm.nih.gov/pmc/articles/PMC12330189/pdf/","citationCount":"0","resultStr":null,"platform":"Semanticscholar","paperid":null,"PeriodicalName":"Journal of Health, Population, and Nutrition","FirstCategoryId":"3","ListUrlMain":"https://doi.org/10.1186/s41043-025-01026-7","RegionNum":3,"RegionCategory":"医学","ArticlePicture":[],"TitleCN":null,"AbstractTextCN":null,"PMCID":null,"EPubDate":"","PubModel":"","JCR":"Q3","JCRName":"ENVIRONMENTAL SCIENCES","Score":null,"Total":0}
引用次数: 0

Abstract

Objective: To investigate the relationship between serum lipid levels and the risk of Chronic obstructive pulmonary disease (COPD) in the UK Biobank.

Methods: We performed this prospective study in 381,938 adults without COPD from UK Biobank. Serum high-density cholesterol (HDL-C), low-density cholesterol (LDL-C), total cholesterol (TC), triglyceride (TG), apolipoprotein A (ApoA) and apolipoprotein B (ApoB) were measured and classified into quintiles. Restricted cubic spline (RCS) analysis was applied to visualize the dose-response relationship between lipids and COPD risk and Cox proportional hazard models to calculate hazard ratios (HRs) and 95% confidence intervals (CIs).

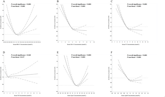
Results: We documented 10,443 incident COPD cases. Nonlinear relationships were found between HDL-C, LDL-C, TC, ApoA, ApoB and COPD risk with RCS analysis (P values for non-linearity < 0.05). Accordingly, multivariable-adjusted regression analysis indicated abnormal HDL-C and ApoA, and low LDL-C, TC and ApoB were associated with increased risk of COPD. Compared to intermediate quintile (Q3) group, both high or low HDL-C and ApoA were associated with risk of COPD. Corresponding HRs (95% CIs) were 1.15 (1.08-1.22), 1.16 (1.09-1.23) in Q1 group and 1.08 (1.01-1.16), 1.07 (1.00-1.14) in Q5 group. For LDL-C, TC and ApoB, there were more than 29% higher risk was observed in Q1 group with HRs (95% CIs) of 1.34 (1.27-1.42), 1.38 (1.30-1.46) and 1.29 (1.21-1.37), while HRs (95% CIs) were 0.88 (0.83-0.94), 0.92 (0.86-0.98) and 0.90 (0.84-0.95) in Q5 groups. We also observed the interactions between specific lipids and age at recruitment, sex and smoking status with stratified analysis.

Conclusions: Our study provides the first evidence demonstrating the associations between six major serum lipids and COPD risk, revealing multiple nonlinear relationships. There were U-shaped associations between serum HDL-C, ApoA and COPD risk, and L-shaped associations between LDL-C, TC, ApoB and COPD risk.

Abstract Image

Abstract Image

Abstract Image

Abstract Image

在英国生物库中,血脂与慢性阻塞性肺疾病发病率之间的关系。
目的:探讨英国生物银行(UK Biobank)患者血脂水平与慢性阻塞性肺疾病(COPD)风险的关系。方法:我们对来自UK Biobank的381938名无COPD的成年人进行了这项前瞻性研究。测定血清高密度胆固醇(HDL-C)、低密度胆固醇(LDL-C)、总胆固醇(TC)、甘油三酯(TG)、载脂蛋白A (ApoA)和载脂蛋白B (ApoB),并按五分位数进行分类。应用限制性三次样条(RCS)分析可视化脂质与COPD风险之间的剂量-反应关系,并使用Cox比例风险模型计算风险比(hr)和95%置信区间(ci)。结果:我们记录了10443例COPD事件。通过RCS分析发现HDL-C、LDL-C、TC、ApoA、ApoB与COPD风险之间存在非线性关系(P值为非线性)。结论:本研究首次提供了6种主要血脂与COPD风险之间存在关联的证据,揭示了多重非线性关系。血清HDL-C、ApoA与COPD风险呈u型相关,LDL-C、TC、ApoB与COPD风险呈l型相关。
本文章由计算机程序翻译,如有差异,请以英文原文为准。
求助全文
约1分钟内获得全文 求助全文
来源期刊
Journal of Health, Population, and Nutrition
Journal of Health, Population, and Nutrition 医学-公共卫生、环境卫生与职业卫生
CiteScore
2.20
自引率
0.00%
发文量
49
审稿时长
6 months
期刊介绍: Journal of Health, Population and Nutrition brings together research on all aspects of issues related to population, nutrition and health. The journal publishes articles across a broad range of topics including global health, maternal and child health, nutrition, common illnesses and determinants of population health.
×
引用
GB/T 7714-2015
复制
MLA
复制
APA
复制
导出至
BibTeX EndNote RefMan NoteFirst NoteExpress
×
提示
您的信息不完整,为了账户安全,请先补充。
现在去补充
×
提示
您因"违规操作"
具体请查看互助需知
我知道了
×
提示
确定
请完成安全验证×
copy
已复制链接
快去分享给好友吧!
我知道了
右上角分享
点击右上角分享
0
联系我们:info@booksci.cn Book学术提供免费学术资源搜索服务,方便国内外学者检索中英文文献。致力于提供最便捷和优质的服务体验。 Copyright © 2023 布克学术 All rights reserved.
京ICP备2023020795号-1
ghs 京公网安备 11010802042870号
Book学术文献互助
Book学术文献互助群
群 号:604180095
Book学术官方微信