Optimizing Timing and Preparation for Allogeneic Hematopoietic Stem Cell Transplantation in Higher-Risk Myelodysplastic Syndromes.

IF 4.9 Q2 ONCOLOGY
Blood and Lymphatic Cancer-Targets and Therapy Pub Date : 2025-08-01 eCollection Date: 2025-01-01 DOI:10.2147/BLCTT.S527790
Liangquan Geng, Erling Chen, Yanping Ji, Huilan Liu, Zimin Sun
{"title":"Optimizing Timing and Preparation for Allogeneic Hematopoietic Stem Cell Transplantation in Higher-Risk Myelodysplastic Syndromes.","authors":"Liangquan Geng, Erling Chen, Yanping Ji, Huilan Liu, Zimin Sun","doi":"10.2147/BLCTT.S527790","DOIUrl":null,"url":null,"abstract":"<p><strong>Introduction: </strong>Allogeneic hematopoietic stem cell transplantation (allo-HSCT) is the only curative treatment for higher-risk myelodysplastic syndromes (MDS), but optimal timing and donor selection remain controversial.</p><p><strong>Methods: </strong>We conducted a retrospective analysis of 70 higher-risk MDS patients classified by the revised International Prognostic Scoring System (IPSS-R) undergoing allo-HSCT. Patients were stratified by: 1) the interval from diagnosis to allo-HSCT (early: <6 months vs later: ≥6 months); 2) pre-transplant treatment cycles (fewer: <2 vs more: ≥2); 3) remission status (complete remission [CR] / partial remission [PR] vs non-remission [NR]), and 4) donor type (sibling vs unrelated cord blood [UCB]).</p><p><strong>Results: </strong>The results showed a significantly higher 3-year overall survival (OS) in the early HSCT group (70% vs 50%, p = 0.05) with lower transplant-related mortality (TRM) (22.7% vs 46.5%, p = 0.0205). Although more pre-transplant treatment cycles were linked to a lower relapse rate (2.3% vs 15.4%, p = 0.0403), they did not significantly affect OS or TRM. Early HSCT emerged as the only significant factor influencing both OS (Hazard Ratio [HR] 2.84, p = 0.01) and TRM (HR 3.21, p = 0.01). While no significant differences were noted between sibling HSCT and unrelated cord blood transplantation (UCBT) for OS and TRM, UCBT demonstrated a lower incidence of chronic graft-versus-host disease (cGVHD) (19.0% vs 52.9%, p = 0.003).</p><p><strong>Discussion: </strong>Our findings suggest early allo-HSCT may optimize outcomes in higher-risk MDS. In settings where sibling donors are unavailable, UCBT could serve as a potential alternative, though this observation requires validation in prospective multicenter studies to account for inherent selection biases and confounding factors.</p>","PeriodicalId":42368,"journal":{"name":"Blood and Lymphatic Cancer-Targets and Therapy","volume":"15 ","pages":"103-113"},"PeriodicalIF":4.9000,"publicationDate":"2025-08-01","publicationTypes":"Journal Article","fieldsOfStudy":null,"isOpenAccess":false,"openAccessPdf":"https://www.ncbi.nlm.nih.gov/pmc/articles/PMC12323779/pdf/","citationCount":"0","resultStr":null,"platform":"Semanticscholar","paperid":null,"PeriodicalName":"Blood and Lymphatic Cancer-Targets and Therapy","FirstCategoryId":"1085","ListUrlMain":"https://doi.org/10.2147/BLCTT.S527790","RegionNum":0,"RegionCategory":null,"ArticlePicture":[],"TitleCN":null,"AbstractTextCN":null,"PMCID":null,"EPubDate":"2025/1/1 0:00:00","PubModel":"eCollection","JCR":"Q2","JCRName":"ONCOLOGY","Score":null,"Total":0}
引用次数: 0

Abstract

Introduction: Allogeneic hematopoietic stem cell transplantation (allo-HSCT) is the only curative treatment for higher-risk myelodysplastic syndromes (MDS), but optimal timing and donor selection remain controversial.

Methods: We conducted a retrospective analysis of 70 higher-risk MDS patients classified by the revised International Prognostic Scoring System (IPSS-R) undergoing allo-HSCT. Patients were stratified by: 1) the interval from diagnosis to allo-HSCT (early: <6 months vs later: ≥6 months); 2) pre-transplant treatment cycles (fewer: <2 vs more: ≥2); 3) remission status (complete remission [CR] / partial remission [PR] vs non-remission [NR]), and 4) donor type (sibling vs unrelated cord blood [UCB]).

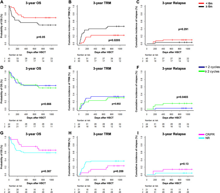
Results: The results showed a significantly higher 3-year overall survival (OS) in the early HSCT group (70% vs 50%, p = 0.05) with lower transplant-related mortality (TRM) (22.7% vs 46.5%, p = 0.0205). Although more pre-transplant treatment cycles were linked to a lower relapse rate (2.3% vs 15.4%, p = 0.0403), they did not significantly affect OS or TRM. Early HSCT emerged as the only significant factor influencing both OS (Hazard Ratio [HR] 2.84, p = 0.01) and TRM (HR 3.21, p = 0.01). While no significant differences were noted between sibling HSCT and unrelated cord blood transplantation (UCBT) for OS and TRM, UCBT demonstrated a lower incidence of chronic graft-versus-host disease (cGVHD) (19.0% vs 52.9%, p = 0.003).

Discussion: Our findings suggest early allo-HSCT may optimize outcomes in higher-risk MDS. In settings where sibling donors are unavailable, UCBT could serve as a potential alternative, though this observation requires validation in prospective multicenter studies to account for inherent selection biases and confounding factors.

Abstract Image

Abstract Image

高危骨髓增生异常综合征的异基因造血干细胞移植时机优化及准备。
同种异体造血干细胞移植(Allogeneic hematopoietic stem cell transplantation, alloo - hsct)是治疗高危骨髓增生异常综合征(MDS)的唯一治疗方法,但最佳时机和供体选择仍然存在争议。方法:我们对70例经修订的国际预后评分系统(IPSS-R)分类的接受同种异体造血干细胞移植的高危MDS患者进行回顾性分析。结果:结果显示,早期HSCT组3年总生存率(OS)显著高于早期HSCT组(70% vs 50%, p = 0.05),移植相关死亡率(TRM)较低(22.7% vs 46.5%, p = 0.0205)。虽然更多的移植前治疗周期与较低的复发率相关(2.3% vs 15.4%, p = 0.0403),但它们对OS或TRM没有显著影响。早期HSCT是影响OS(危险比[HR] 2.84, p = 0.01)和TRM(危险比[HR] 3.21, p = 0.01)的唯一显著因素。虽然在OS和TRM的兄弟姐妹HSCT和非亲属脐带血移植(UCBT)之间没有显著差异,但UCBT显示慢性移植物抗宿主病(cGVHD)的发生率较低(19.0% vs 52.9%, p = 0.003)。讨论:我们的研究结果表明,早期同种异体造血干细胞移植可以优化高危MDS的预后。在无法获得兄弟姐妹供体的情况下,UCBT可以作为潜在的替代方案,尽管这一观察结果需要在前瞻性多中心研究中进行验证,以解释固有的选择偏差和混杂因素。
本文章由计算机程序翻译,如有差异,请以英文原文为准。
求助全文
约1分钟内获得全文 求助全文
来源期刊
自引率
7.10%
发文量
16
审稿时长
16 weeks
期刊介绍: Blood and Lymphatic Cancer: Targets and Therapy is an international, peer reviewed, open access journal focusing on blood and lymphatic cancer research, identification of therapeutic targets, and the optimal use of preventative and integrated treatment interventions to achieve improved outcomes, enhanced survival, and quality of life for the cancer patient. Specific topics covered in the journal include: Epidemiology, detection and screening Cellular research and biomarkers Identification of biotargets and agents with novel mechanisms of action Optimal clinical use of existing anticancer agents, including combination therapies Radiation, surgery, bone marrow transplantation Palliative care Patient adherence, quality of life, satisfaction Health economic evaluations.
×
引用
GB/T 7714-2015
复制
MLA
复制
APA
复制
导出至
BibTeX EndNote RefMan NoteFirst NoteExpress
×
提示
您的信息不完整,为了账户安全,请先补充。
现在去补充
×
提示
您因"违规操作"
具体请查看互助需知
我知道了
×
提示
确定
请完成安全验证×
copy
已复制链接
快去分享给好友吧!
我知道了
右上角分享
点击右上角分享
0
联系我们:info@booksci.cn Book学术提供免费学术资源搜索服务,方便国内外学者检索中英文文献。致力于提供最便捷和优质的服务体验。 Copyright © 2023 布克学术 All rights reserved.
京ICP备2023020795号-1
ghs 京公网安备 11010802042870号
Book学术文献互助
Book学术文献互助群
群 号:604180095
Book学术官方微信