Thermal stability changes of photosynthesis during osmotic and salt stress in wheat varieties cultivated in Central Europe and Mediterranean North Africa.

IF 1.6 4区 生物学 Q2 PLANT SCIENCES
Photosynthetica Pub Date : 2025-07-08 eCollection Date: 2025-01-01 DOI:10.32615/ps.2025.019
A Allem, R Tarnai, S B Tóth, W A E Abido, S Dulai
{"title":"Thermal stability changes of photosynthesis during osmotic and salt stress in wheat varieties cultivated in Central Europe and Mediterranean North Africa.","authors":"A Allem, R Tarnai, S B Tóth, W A E Abido, S Dulai","doi":"10.32615/ps.2025.019","DOIUrl":null,"url":null,"abstract":"<p><p>The thermal stability of photosynthetic apparatus under osmotic/salt stress was examined in wheat cultivars grown under different climatic conditions. The thermostability of nonstressed plants did not differ significantly from each other and it was not improved by osmotic treatment in the absence of light. In contrast, the salt stress resulted in better thermostability. This was also manifested in the temperature dependence of maximal quantum yield of PSII photochemistry. The temperature dependence of steady-state fluorescence and other photosynthetic parameters indicated a moderate reduction in thermal sensitivity of photosynthesis in well-watered plants which was further enhanced by osmotic, but even more by salt treatment. It seems likely that the osmotic stress-induced thermal stability increase of PSII occurs only in energized thylakoids. The temperature dependence of quantum yield of regulated energy dissipation seems to suggest that the secondary effects of lumen pH might have a role in the protective mechanisms concerning these stresses, but salt stress can also affect thermal stability in other ways as well.</p>","PeriodicalId":20157,"journal":{"name":"Photosynthetica","volume":"63 2","pages":"165-181"},"PeriodicalIF":1.6000,"publicationDate":"2025-07-08","publicationTypes":"Journal Article","fieldsOfStudy":null,"isOpenAccess":false,"openAccessPdf":"https://www.ncbi.nlm.nih.gov/pmc/articles/PMC12319942/pdf/","citationCount":"0","resultStr":null,"platform":"Semanticscholar","paperid":null,"PeriodicalName":"Photosynthetica","FirstCategoryId":"99","ListUrlMain":"https://doi.org/10.32615/ps.2025.019","RegionNum":4,"RegionCategory":"生物学","ArticlePicture":[],"TitleCN":null,"AbstractTextCN":null,"PMCID":null,"EPubDate":"2025/1/1 0:00:00","PubModel":"eCollection","JCR":"Q2","JCRName":"PLANT SCIENCES","Score":null,"Total":0}
引用次数: 0

Abstract

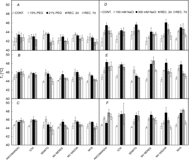
The thermal stability of photosynthetic apparatus under osmotic/salt stress was examined in wheat cultivars grown under different climatic conditions. The thermostability of nonstressed plants did not differ significantly from each other and it was not improved by osmotic treatment in the absence of light. In contrast, the salt stress resulted in better thermostability. This was also manifested in the temperature dependence of maximal quantum yield of PSII photochemistry. The temperature dependence of steady-state fluorescence and other photosynthetic parameters indicated a moderate reduction in thermal sensitivity of photosynthesis in well-watered plants which was further enhanced by osmotic, but even more by salt treatment. It seems likely that the osmotic stress-induced thermal stability increase of PSII occurs only in energized thylakoids. The temperature dependence of quantum yield of regulated energy dissipation seems to suggest that the secondary effects of lumen pH might have a role in the protective mechanisms concerning these stresses, but salt stress can also affect thermal stability in other ways as well.

Abstract Image

Abstract Image

Abstract Image

渗透和盐胁迫下中欧和地中海北非小麦品种光合作用热稳定性的变化
研究了不同气候条件下小麦光合器官在渗透/盐胁迫下的热稳定性。无胁迫植株的热稳定性差异不显著,在无光照条件下,渗透处理对其热稳定性没有改善作用。相反,盐胁迫导致了更好的热稳定性。这也体现在PSII光化学最大量子产率的温度依赖性上。稳态荧光和其他光合参数的温度依赖性表明,水分充足的植物光合作用的热敏性有一定程度的降低,渗透进一步增强了热敏性,而盐处理则增强了热敏性。渗透应力诱导的PSII热稳定性增加似乎只发生在通电的类囊体中。调控能量耗散量子产率的温度依赖性似乎表明,管腔pH的二次效应可能在这些胁迫的保护机制中起作用,但盐胁迫也可以以其他方式影响热稳定性。
本文章由计算机程序翻译,如有差异,请以英文原文为准。
求助全文
约1分钟内获得全文 求助全文
来源期刊
Photosynthetica
Photosynthetica 生物-植物科学
CiteScore
5.60
自引率
7.40%
发文量
55
审稿时长
3.8 months
期刊介绍: Photosynthetica publishes original scientific papers and brief communications, reviews on specialized topics, book reviews and announcements and reports covering wide range of photosynthesis research or research including photosynthetic parameters of both experimental and theoretical nature and dealing with physiology, biophysics, biochemistry, molecular biology on one side and leaf optics, stress physiology and ecology of photosynthesis on the other side. The language of journal is English (British or American). Papers should not be published or under consideration for publication elsewhere.
×
引用
GB/T 7714-2015
复制
MLA
复制
APA
复制
导出至
BibTeX EndNote RefMan NoteFirst NoteExpress
×
提示
您的信息不完整,为了账户安全,请先补充。
现在去补充
×
提示
您因"违规操作"
具体请查看互助需知
我知道了
×
提示
确定
请完成安全验证×
copy
已复制链接
快去分享给好友吧!
我知道了
右上角分享
点击右上角分享
0
联系我们:info@booksci.cn Book学术提供免费学术资源搜索服务,方便国内外学者检索中英文文献。致力于提供最便捷和优质的服务体验。 Copyright © 2023 布克学术 All rights reserved.
京ICP备2023020795号-1
ghs 京公网安备 11010802042870号
Book学术文献互助
Book学术文献互助群
群 号:604180095
Book学术官方微信