Neomycin sulfate and triamcinolone acetonide suspended ointment designed for transdermal delivery: formulation and in vitro evaluation.

IF 3.4 3区 医学 Q2 PHARMACOLOGY & PHARMACY
Jiong Wu, Qian Tang, Xufei Zhao, Yan Shen, Ruixi Liao, Hongxiu Zhang, XiuJuan Feng, Aiping Shi
{"title":"Neomycin sulfate and triamcinolone acetonide suspended ointment designed for transdermal delivery: formulation and in vitro evaluation.","authors":"Jiong Wu, Qian Tang, Xufei Zhao, Yan Shen, Ruixi Liao, Hongxiu Zhang, XiuJuan Feng, Aiping Shi","doi":"10.1007/s44446-025-00027-1","DOIUrl":null,"url":null,"abstract":"<p><p>Neurodermatitis and chronic eczema are characterized by severe itching and can lead to complications such as skin infections and folliculitis. Current treatment primarily involves glucocorticoid analogs which may be associated with side effects and lack of effective delivery strategies. The suspended ointment developed in this study aims to address these issues, offering improved therapeutic outcomes. The present study aimed to investigate the relationship between formulation/process variables versus the content uniformity and viscosity of neomycin sulfate and triamcinolone acetonide ointments and to explore the feasibility of using an in vitro approach to assess product sameness. Monofactor analysis was used to evaluate the impact of formulation and process variables. The new formulation was evaluated in terms of the prescription process, quality, stability, in vitro drug release behavior, and distribution of skin. The optimal prescription composition was 0.54% neomycin sulfate, 0.10% triamcinolone acetonide, 5.08% substrate A and 94.28% liquid paraffin. Quality and stability assessments confirmed that the formulation met the required standards for appearance and composition. Mathematical modeling of the drug release profile indicated that the release kinetics evaluated using the vertical diffusion cell method, closely aligned with first-order kinetics. Raman spectroscopy confirmed the successful penetration of triamcinolone acetonide into the skin, triamcinolone acetonide works primarily in the skin. Furthermore, skin irritation tests demonstrated that the formulation caused no detectable irritation. These results demonstrate that it can be a promising drug in treating neurodermatitis and chronic eczema.</p>","PeriodicalId":49257,"journal":{"name":"Saudi Pharmaceutical Journal","volume":"33 4","pages":"28"},"PeriodicalIF":3.4000,"publicationDate":"2025-08-04","publicationTypes":"Journal Article","fieldsOfStudy":null,"isOpenAccess":false,"openAccessPdf":"https://www.ncbi.nlm.nih.gov/pmc/articles/PMC12321736/pdf/","citationCount":"0","resultStr":null,"platform":"Semanticscholar","paperid":null,"PeriodicalName":"Saudi Pharmaceutical Journal","FirstCategoryId":"3","ListUrlMain":"https://doi.org/10.1007/s44446-025-00027-1","RegionNum":3,"RegionCategory":"医学","ArticlePicture":[],"TitleCN":null,"AbstractTextCN":null,"PMCID":null,"EPubDate":"","PubModel":"","JCR":"Q2","JCRName":"PHARMACOLOGY & PHARMACY","Score":null,"Total":0}
引用次数: 0

Abstract

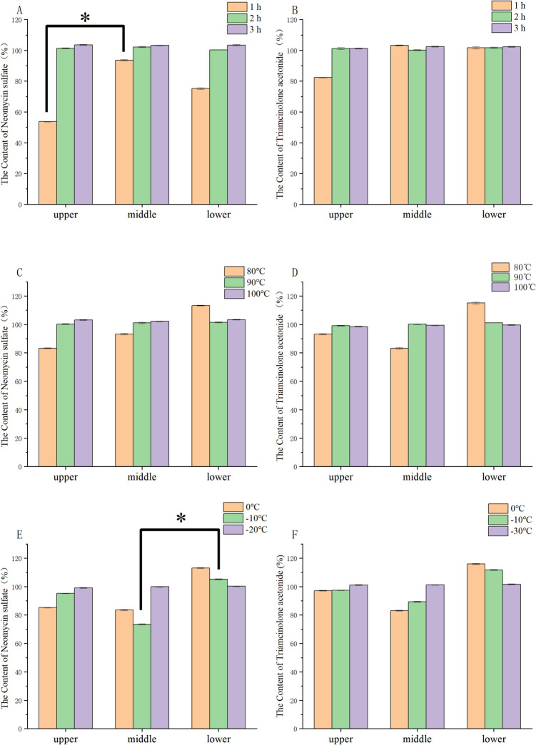
Neurodermatitis and chronic eczema are characterized by severe itching and can lead to complications such as skin infections and folliculitis. Current treatment primarily involves glucocorticoid analogs which may be associated with side effects and lack of effective delivery strategies. The suspended ointment developed in this study aims to address these issues, offering improved therapeutic outcomes. The present study aimed to investigate the relationship between formulation/process variables versus the content uniformity and viscosity of neomycin sulfate and triamcinolone acetonide ointments and to explore the feasibility of using an in vitro approach to assess product sameness. Monofactor analysis was used to evaluate the impact of formulation and process variables. The new formulation was evaluated in terms of the prescription process, quality, stability, in vitro drug release behavior, and distribution of skin. The optimal prescription composition was 0.54% neomycin sulfate, 0.10% triamcinolone acetonide, 5.08% substrate A and 94.28% liquid paraffin. Quality and stability assessments confirmed that the formulation met the required standards for appearance and composition. Mathematical modeling of the drug release profile indicated that the release kinetics evaluated using the vertical diffusion cell method, closely aligned with first-order kinetics. Raman spectroscopy confirmed the successful penetration of triamcinolone acetonide into the skin, triamcinolone acetonide works primarily in the skin. Furthermore, skin irritation tests demonstrated that the formulation caused no detectable irritation. These results demonstrate that it can be a promising drug in treating neurodermatitis and chronic eczema.

Abstract Image

Abstract Image

Abstract Image

硫酸新霉素醋酸曲安奈德悬浮膏经皮给药:配方及体外评价。
神经性皮炎和慢性湿疹的特点是严重瘙痒,并可导致并发症,如皮肤感染和毛囊炎。目前的治疗主要涉及糖皮质激素类似物,这可能与副作用和缺乏有效的给药策略有关。本研究开发的悬浮软膏旨在解决这些问题,提供更好的治疗效果。本研究旨在探讨处方/工艺变量与硫酸新霉素和曲安奈德软膏含量均匀性和粘度的关系,并探讨采用体外方法评价产品均匀性的可行性。采用单因素分析评价配方和工艺变量的影响。从处方工艺、质量、稳定性、体外释药行为和皮肤分布等方面对新制剂进行了评价。最佳处方组成为:硫酸新霉素0.54%、曲安奈德0.10%、底物A 5.08%、液体石蜡94.28%。质量和稳定性评估确认该制剂符合外观和成分的要求标准。药物释放曲线的数学模型表明,垂直扩散池法评估的释放动力学与一级动力学密切相关。拉曼光谱证实了曲安奈德成功渗透到皮肤中,曲安奈德主要在皮肤中起作用。此外,皮肤刺激试验表明,该配方没有引起可检测到的刺激。这些结果表明,它可能是一种有前途的药物治疗神经性皮炎和慢性湿疹。
本文章由计算机程序翻译,如有差异,请以英文原文为准。
求助全文
约1分钟内获得全文 求助全文
来源期刊
Saudi Pharmaceutical Journal
Saudi Pharmaceutical Journal PHARMACOLOGY & PHARMACY-
CiteScore
6.10
自引率
2.40%
发文量
194
审稿时长
67 days
期刊介绍: The Saudi Pharmaceutical Journal (SPJ) is the official journal of the Saudi Pharmaceutical Society (SPS) publishing high quality clinically oriented submissions which encompass the various disciplines of pharmaceutical sciences and related subjects. SPJ publishes 8 issues per year by the Saudi Pharmaceutical Society, with the cooperation of the College of Pharmacy, King Saud University.
×
引用
GB/T 7714-2015
复制
MLA
复制
APA
复制
导出至
BibTeX EndNote RefMan NoteFirst NoteExpress
×
提示
您的信息不完整,为了账户安全,请先补充。
现在去补充
×
提示
您因"违规操作"
具体请查看互助需知
我知道了
×
提示
确定
请完成安全验证×
copy
已复制链接
快去分享给好友吧!
我知道了
右上角分享
点击右上角分享
0
联系我们:info@booksci.cn Book学术提供免费学术资源搜索服务,方便国内外学者检索中英文文献。致力于提供最便捷和优质的服务体验。 Copyright © 2023 布克学术 All rights reserved.
京ICP备2023020795号-1
ghs 京公网安备 11010802042870号
Book学术文献互助
Book学术文献互助群
群 号:604180095
Book学术官方微信