GnT Motifs Can Increase T:A→G:C Mutation Rates Over 1000-fold in Bacteria.

IF 5.3 1区 生物学 Q1 BIOCHEMISTRY & MOLECULAR BIOLOGY
James S Horton, Joshua L Cherry, Gretel Waugh, Tiffany B Taylor
{"title":"GnT Motifs Can Increase T:A→G:C Mutation Rates Over 1000-fold in Bacteria.","authors":"James S Horton, Joshua L Cherry, Gretel Waugh, Tiffany B Taylor","doi":"10.1093/molbev/msaf183","DOIUrl":null,"url":null,"abstract":"<p><p>Nucleotides across a genome do not mutate at equal frequencies. Instead, specific nucleotide positions can exhibit much higher mutation rates than the genomic average due to their immediate nucleotide neighbors. These \"mutational hotspots\" can play a prominent role in adaptive evolution, yet we lack knowledge of which short nucleotide sequences drive hotspots. In this work, we employ a combination of experimental evolution with Pseudomonas fluorescens and bioinformatic analysis of various Salmonella species to characterize a short nucleotide motif (≥8 bp) that can drive T:A→G:C mutation rates >1000-fold higher than the baseline T→G rate in bacteria. First, we experimentally confirm previous analysis showing that homopolymeric tracts (≥3) of G with a 3' T frequently mutate so that the T is replaced with a G, resulting in an extension of the guanine tract, i.e. GGGT → GGGG. We then demonstrate that the potency of this T:A→G:C hotspot is dependent on the nucleotides immediately flanking the GnT sequence. We find that the dinucleotide immediately 5' to a G4 tract and the dinucleotide immediately 3' to the T strongly affect the T:A→G:C mutation rate, which ranges from ∼5-fold higher than the typical rate to over 1000-fold higher depending on the flanking elements. GnT motifs are therefore comprised of several modular nucleotide components which each exert a significant, quantifiable effect on the mutation rate. This work advances our ability to accurately identify the position and quantify the mutagenicity of hotspot motifs predicated on short nucleotide sequences.</p>","PeriodicalId":18730,"journal":{"name":"Molecular biology and evolution","volume":" ","pages":""},"PeriodicalIF":5.3000,"publicationDate":"2025-07-30","publicationTypes":"Journal Article","fieldsOfStudy":null,"isOpenAccess":false,"openAccessPdf":"https://www.ncbi.nlm.nih.gov/pmc/articles/PMC12344412/pdf/","citationCount":"0","resultStr":null,"platform":"Semanticscholar","paperid":null,"PeriodicalName":"Molecular biology and evolution","FirstCategoryId":"99","ListUrlMain":"https://doi.org/10.1093/molbev/msaf183","RegionNum":1,"RegionCategory":"生物学","ArticlePicture":[],"TitleCN":null,"AbstractTextCN":null,"PMCID":null,"EPubDate":"","PubModel":"","JCR":"Q1","JCRName":"BIOCHEMISTRY & MOLECULAR BIOLOGY","Score":null,"Total":0}
引用次数: 0

Abstract

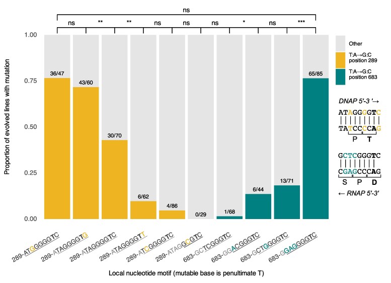
Nucleotides across a genome do not mutate at equal frequencies. Instead, specific nucleotide positions can exhibit much higher mutation rates than the genomic average due to their immediate nucleotide neighbors. These "mutational hotspots" can play a prominent role in adaptive evolution, yet we lack knowledge of which short nucleotide sequences drive hotspots. In this work, we employ a combination of experimental evolution with Pseudomonas fluorescens and bioinformatic analysis of various Salmonella species to characterize a short nucleotide motif (≥8 bp) that can drive T:A→G:C mutation rates >1000-fold higher than the baseline T→G rate in bacteria. First, we experimentally confirm previous analysis showing that homopolymeric tracts (≥3) of G with a 3' T frequently mutate so that the T is replaced with a G, resulting in an extension of the guanine tract, i.e. GGGT → GGGG. We then demonstrate that the potency of this T:A→G:C hotspot is dependent on the nucleotides immediately flanking the GnT sequence. We find that the dinucleotide immediately 5' to a G4 tract and the dinucleotide immediately 3' to the T strongly affect the T:A→G:C mutation rate, which ranges from ∼5-fold higher than the typical rate to over 1000-fold higher depending on the flanking elements. GnT motifs are therefore comprised of several modular nucleotide components which each exert a significant, quantifiable effect on the mutation rate. This work advances our ability to accurately identify the position and quantify the mutagenicity of hotspot motifs predicated on short nucleotide sequences.

Abstract Image

Abstract Image

Abstract Image

GnT基序可使细菌中T:A→G:C的突变率提高1000倍以上。
基因组中核苷酸的变异频率并不相同。相反,特定的核苷酸位置可以表现出比基因组平均水平高得多的突变率,因为它们的直接核苷酸邻居。这些“突变热点”可以在适应性进化中发挥突出作用,但我们缺乏哪些短核苷酸序列驱动热点的知识。在这项工作中,我们采用荧光假单胞菌的实验进化和各种沙门氏菌的生物信息学分析相结合的方法来表征一个短核苷酸基序(≥8bp),该基序可以驱动T: a→G:C突变率比细菌的基线T→G率高1000倍。首先,我们通过实验证实了先前的分析结果,即具有3' T的G的均聚束(≥3)经常发生突变,使T被G取代,从而导致鸟嘌呤束的延伸,即GGGT→GGGG。然后,我们证明了这个T:A→G:C热点的效力取决于紧邻GnT序列两侧的核苷酸。我们发现,直接5‘到G4通道的二核苷酸和直接3’到T通道的二核苷酸强烈影响T: a→G:C突变率,根据侧翼元件的不同,其变化率从典型的5倍到1000倍不等。因此,GnT基序由几个模块核苷酸组成,每个模块对突变率都有显著的、可量化的影响。这项工作提高了我们准确识别位置和量化基于短核苷酸序列的热点基序的致突变性的能力。
本文章由计算机程序翻译,如有差异,请以英文原文为准。
求助全文
约1分钟内获得全文 求助全文
来源期刊
Molecular biology and evolution
Molecular biology and evolution 生物-进化生物学
CiteScore
19.70
自引率
3.70%
发文量
257
审稿时长
1 months
期刊介绍: Molecular Biology and Evolution Journal Overview: Publishes research at the interface of molecular (including genomics) and evolutionary biology Considers manuscripts containing patterns, processes, and predictions at all levels of organization: population, taxonomic, functional, and phenotypic Interested in fundamental discoveries, new and improved methods, resources, technologies, and theories advancing evolutionary research Publishes balanced reviews of recent developments in genome evolution and forward-looking perspectives suggesting future directions in molecular evolution applications.
×
引用
GB/T 7714-2015
复制
MLA
复制
APA
复制
导出至
BibTeX EndNote RefMan NoteFirst NoteExpress
×
提示
您的信息不完整,为了账户安全,请先补充。
现在去补充
×
提示
您因"违规操作"
具体请查看互助需知
我知道了
×
提示
确定
请完成安全验证×
copy
已复制链接
快去分享给好友吧!
我知道了
右上角分享
点击右上角分享
0
联系我们:info@booksci.cn Book学术提供免费学术资源搜索服务,方便国内外学者检索中英文文献。致力于提供最便捷和优质的服务体验。 Copyright © 2023 布克学术 All rights reserved.
京ICP备2023020795号-1
ghs 京公网安备 11010802042870号
Book学术文献互助
Book学术文献互助群
群 号:604180095
Book学术官方微信