From pathophysiology to novel approaches for obesity-associated hypertension.

IF 4.6 2区 医学 Q1 UROLOGY & NEPHROLOGY
Clinical Kidney Journal Pub Date : 2025-07-09 eCollection Date: 2025-08-01 DOI:10.1093/ckj/sfaf218
Mehmet Kanbay, Elif Yayci, Candan Genc, Sidar Copur, Ozgur Aktas, Pantelis Sarafidis, Adrian Covic, Alberto Ortiz, Luke J Laffin
{"title":"From pathophysiology to novel approaches for obesity-associated hypertension.","authors":"Mehmet Kanbay, Elif Yayci, Candan Genc, Sidar Copur, Ozgur Aktas, Pantelis Sarafidis, Adrian Covic, Alberto Ortiz, Luke J Laffin","doi":"10.1093/ckj/sfaf218","DOIUrl":null,"url":null,"abstract":"<p><p>Obesity is a rapidly growing epidemic affecting >15% of the global adult population and has considerable clinical consequences and comorbidities, including hypertension, diabetes mellitus, cardiovascular and cerebrovascular diseases and chronic kidney disease. There is a strong association between obesity or body mass index and high blood pressure (BP) in epidemiological studies while the underlying pathophysiological events linking those conditions are not fully elucidated. Hypothetical mechanisms include a sedentary lifestyle and excess intake of processed foods that contribute to obesity, overactivation of the renin-angiotensin-aldosterone and sympathetic nervous systems, inflammation, altered adipokine homeostasis and the fatty kidney hypothesis involving adipose tissue accumulation in the renal sinus and perirenal space. There are multiple pharmacotherapeutic and surgical approaches for the management of obesity, including dual and triple agonist drugs targeting glucagon-like peptide-1, gastric inhibitory peptide and glucagon receptors and endoscopic bariatric procedures. Despite promising results with such therapeutic approaches in terms of body weight reduction and BP control, it is unclear whether such BP reduction may completely be attributable to weight loss. Confirmation of the adiposity dependence would lead to a major paradigm shift in our understanding of hypertension, potentially leading to a major shift in the causes of hypertension from primary hypertension to adiposity-dependent hypertension, leading to a shift from symptomatic treatment with antihypertensive medication to cause-focused treatment with weight loss medication. In this narrative review, the aim is to evaluate the potential pathophysiological mechanisms linking hypertension and obesity and the efficiency of potential therapeutic approaches on BP.</p>","PeriodicalId":10435,"journal":{"name":"Clinical Kidney Journal","volume":"18 8","pages":"sfaf218"},"PeriodicalIF":4.6000,"publicationDate":"2025-07-09","publicationTypes":"Journal Article","fieldsOfStudy":null,"isOpenAccess":false,"openAccessPdf":"https://www.ncbi.nlm.nih.gov/pmc/articles/PMC12319540/pdf/","citationCount":"0","resultStr":null,"platform":"Semanticscholar","paperid":null,"PeriodicalName":"Clinical Kidney Journal","FirstCategoryId":"3","ListUrlMain":"https://doi.org/10.1093/ckj/sfaf218","RegionNum":2,"RegionCategory":"医学","ArticlePicture":[],"TitleCN":null,"AbstractTextCN":null,"PMCID":null,"EPubDate":"2025/8/1 0:00:00","PubModel":"eCollection","JCR":"Q1","JCRName":"UROLOGY & NEPHROLOGY","Score":null,"Total":0}
引用次数: 0

Abstract

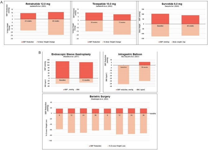
Obesity is a rapidly growing epidemic affecting >15% of the global adult population and has considerable clinical consequences and comorbidities, including hypertension, diabetes mellitus, cardiovascular and cerebrovascular diseases and chronic kidney disease. There is a strong association between obesity or body mass index and high blood pressure (BP) in epidemiological studies while the underlying pathophysiological events linking those conditions are not fully elucidated. Hypothetical mechanisms include a sedentary lifestyle and excess intake of processed foods that contribute to obesity, overactivation of the renin-angiotensin-aldosterone and sympathetic nervous systems, inflammation, altered adipokine homeostasis and the fatty kidney hypothesis involving adipose tissue accumulation in the renal sinus and perirenal space. There are multiple pharmacotherapeutic and surgical approaches for the management of obesity, including dual and triple agonist drugs targeting glucagon-like peptide-1, gastric inhibitory peptide and glucagon receptors and endoscopic bariatric procedures. Despite promising results with such therapeutic approaches in terms of body weight reduction and BP control, it is unclear whether such BP reduction may completely be attributable to weight loss. Confirmation of the adiposity dependence would lead to a major paradigm shift in our understanding of hypertension, potentially leading to a major shift in the causes of hypertension from primary hypertension to adiposity-dependent hypertension, leading to a shift from symptomatic treatment with antihypertensive medication to cause-focused treatment with weight loss medication. In this narrative review, the aim is to evaluate the potential pathophysiological mechanisms linking hypertension and obesity and the efficiency of potential therapeutic approaches on BP.

Abstract Image

Abstract Image

Abstract Image

从病理生理学到肥胖相关高血压的新方法。
肥胖是一种快速增长的流行病,影响全球约15%的成年人口,并具有相当大的临床后果和合并症,包括高血压、糖尿病、心脑血管疾病和慢性肾病。在流行病学研究中,肥胖或体重指数与高血压(BP)之间存在很强的关联,而与这些疾病相关的潜在病理生理事件尚未完全阐明。假设的机制包括久坐不动的生活方式和过量摄入导致肥胖的加工食品、肾素-血管紧张素-醛固酮和交感神经系统的过度激活、炎症、脂肪因子稳态的改变以及涉及脂肪组织在肾窦和肾周间隙积聚的脂肪肾假说。有多种药物治疗和手术方法来治疗肥胖,包括针对胰高血糖素样肽-1、胃抑制肽和胰高血糖素受体的双重和三重激动剂药物以及内镜下减肥手术。尽管这些治疗方法在减轻体重和控制血压方面取得了令人满意的结果,但目前尚不清楚这种血压降低是否完全归因于体重减轻。肥胖依赖性的确认将导致我们对高血压认识的重大范式转变,可能导致高血压病因从原发性高血压向肥胖依赖性高血压的重大转变,导致降压药对症治疗向以减肥药物为重点的病因治疗的转变。在这篇叙述性综述中,目的是评估高血压和肥胖之间潜在的病理生理机制,以及潜在的治疗方法对BP的有效性。
本文章由计算机程序翻译,如有差异,请以英文原文为准。
求助全文
约1分钟内获得全文 求助全文
来源期刊
Clinical Kidney Journal
Clinical Kidney Journal Medicine-Transplantation
CiteScore
6.70
自引率
10.90%
发文量
242
审稿时长
8 weeks
期刊介绍: About the Journal Clinical Kidney Journal: Clinical and Translational Nephrology (ckj), an official journal of the ERA-EDTA (European Renal Association-European Dialysis and Transplant Association), is a fully open access, online only journal publishing bimonthly. The journal is an essential educational and training resource integrating clinical, translational and educational research into clinical practice. ckj aims to contribute to a translational research culture among nephrologists and kidney pathologists that helps close the gap between basic researchers and practicing clinicians and promote sorely needed innovation in the Nephrology field. All research articles in this journal have undergone peer review.
×
引用
GB/T 7714-2015
复制
MLA
复制
APA
复制
导出至
BibTeX EndNote RefMan NoteFirst NoteExpress
×
提示
您的信息不完整,为了账户安全,请先补充。
现在去补充
×
提示
您因"违规操作"
具体请查看互助需知
我知道了
×
提示
确定
请完成安全验证×
copy
已复制链接
快去分享给好友吧!
我知道了
右上角分享
点击右上角分享
0
联系我们:info@booksci.cn Book学术提供免费学术资源搜索服务,方便国内外学者检索中英文文献。致力于提供最便捷和优质的服务体验。 Copyright © 2023 布克学术 All rights reserved.
京ICP备2023020795号-1
ghs 京公网安备 11010802042870号
Book学术文献互助
Book学术文献互助群
群 号:604180095
Book学术官方微信