Pain and pessimism affect calves' play behaviours post-disbudding.

Discover animals Pub Date : 2025-01-01 Epub Date: 2025-07-31 DOI:10.1007/s44338-025-00105-7
Amelia St John Wallis, Suzanne D E Held, Michael T Mendl, Marina A G von Keyserlingk, Daniel M Weary, Benjamin Lecorps
{"title":"Pain and pessimism affect calves' play behaviours post-disbudding.","authors":"Amelia St John Wallis, Suzanne D E Held, Michael T Mendl, Marina A G von Keyserlingk, Daniel M Weary, Benjamin Lecorps","doi":"10.1007/s44338-025-00105-7","DOIUrl":null,"url":null,"abstract":"<p><p>Calves are expected to play less when in pain, and more pessimistic individuals may be more affected by painful events, such as hot-iron disbudding (i.e., horn-bud removal). We explored 1) the impact of disbudding on different play behaviours, predicting that those involving the head (e.g., play-fighting) may be more sensitive to disbudding due to the injury location, and 2) the effect of 'pessimism' (assessed using the judgement bias test) on changes in play post-disbudding. Holstein female calves (n = 19) were housed in groups of 10, individually tested for judgement bias at 25 days old, and disbudded following the farm's standards (including sedation and local anaesthesia) at 45 days old. Individual and parallel locomotor play and play-fighting were recorded for 4 h/day (from 1800 to 2200 h) for 5 days before disbudding, on disbudding day, and for 7 days after. Play-fighting reduced after disbudding compared to baseline and did not recover over 7 days. Locomotor play did not change on disbudding day and increased on the day after compared to baseline. More pessimistic calves did not show greater changes in play post-disbudding, but they showed a smaller increase in locomotor play on the day after disbudding, suggesting they did not recover as well as the others. Overall, play-fighting (i.e., pushing with the head) may be a more sensitive indicator of disbudding pain than other play behaviours, likely reflecting calves avoiding evoked pain, which may persist for at least 7 days. Our results also add to the growing literature demonstrating that pessimistic expectations affect animals' ability to cope with stressors.</p><p><strong>Supplementary information: </strong>The online version contains supplementary material available at 10.1007/s44338-025-00105-7.</p>","PeriodicalId":520282,"journal":{"name":"Discover animals","volume":"2 1","pages":"50"},"PeriodicalIF":0.0000,"publicationDate":"2025-01-01","publicationTypes":"Journal Article","fieldsOfStudy":null,"isOpenAccess":false,"openAccessPdf":"https://www.ncbi.nlm.nih.gov/pmc/articles/PMC12313738/pdf/","citationCount":"0","resultStr":null,"platform":"Semanticscholar","paperid":null,"PeriodicalName":"Discover animals","FirstCategoryId":"1085","ListUrlMain":"https://doi.org/10.1007/s44338-025-00105-7","RegionNum":0,"RegionCategory":null,"ArticlePicture":[],"TitleCN":null,"AbstractTextCN":null,"PMCID":null,"EPubDate":"2025/7/31 0:00:00","PubModel":"Epub","JCR":"","JCRName":"","Score":null,"Total":0}
引用次数: 0

Abstract

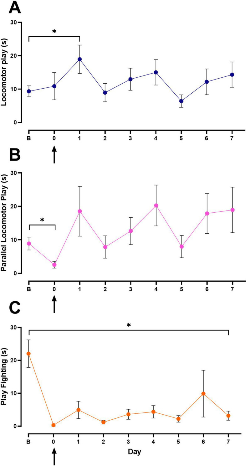
Calves are expected to play less when in pain, and more pessimistic individuals may be more affected by painful events, such as hot-iron disbudding (i.e., horn-bud removal). We explored 1) the impact of disbudding on different play behaviours, predicting that those involving the head (e.g., play-fighting) may be more sensitive to disbudding due to the injury location, and 2) the effect of 'pessimism' (assessed using the judgement bias test) on changes in play post-disbudding. Holstein female calves (n = 19) were housed in groups of 10, individually tested for judgement bias at 25 days old, and disbudded following the farm's standards (including sedation and local anaesthesia) at 45 days old. Individual and parallel locomotor play and play-fighting were recorded for 4 h/day (from 1800 to 2200 h) for 5 days before disbudding, on disbudding day, and for 7 days after. Play-fighting reduced after disbudding compared to baseline and did not recover over 7 days. Locomotor play did not change on disbudding day and increased on the day after compared to baseline. More pessimistic calves did not show greater changes in play post-disbudding, but they showed a smaller increase in locomotor play on the day after disbudding, suggesting they did not recover as well as the others. Overall, play-fighting (i.e., pushing with the head) may be a more sensitive indicator of disbudding pain than other play behaviours, likely reflecting calves avoiding evoked pain, which may persist for at least 7 days. Our results also add to the growing literature demonstrating that pessimistic expectations affect animals' ability to cope with stressors.

Supplementary information: The online version contains supplementary material available at 10.1007/s44338-025-00105-7.

Abstract Image

Abstract Image

疼痛和悲观情绪会影响小牛犊的玩耍行为。
小牛在疼痛时会少玩耍,而更悲观的个体可能更容易受到疼痛事件的影响,比如热铁脱芽(即角芽去除)。我们探索了1)脱芽对不同游戏行为的影响,预测那些涉及头部的行为(例如,游戏打斗)可能由于受伤位置而对脱芽更敏感,以及2)“悲观”(使用判断偏差测试评估)对脱芽后游戏变化的影响。19头荷斯坦母犊牛(n = 10)为一组,在25日龄时分别进行判断偏差测试,并在45日龄时按照农场标准(包括镇静和局部麻醉)出栏。分别记录除芽前5天、除芽当日和除芽后7天,每天4小时(1800 ~ 2200小时)的单独和平行运动游戏和游戏打斗。与基线相比,脱芽后的游戏打架减少,并且在7天内没有恢复。与基线相比,运动游戏在萌芽日没有变化,并在第二天增加。更悲观的小牛在脱芽后的游戏中没有表现出更大的变化,但在脱芽后的第二天,它们在运动游戏中表现出较小的增长,这表明它们恢复得不如其他小牛好。总的来说,与其他玩耍行为相比,玩耍打斗(即用头推搡)可能是一种更敏感的疼痛释放指标,可能反映了小牛避免引起疼痛,这种疼痛可能持续至少7天。越来越多的文献表明,悲观的预期会影响动物应对压力源的能力,我们的研究结果也进一步证明了这一点。补充信息:在线版本包含补充资料,提供地址为10.1007/s44338-025-00105-7。
本文章由计算机程序翻译,如有差异,请以英文原文为准。
求助全文
约1分钟内获得全文 求助全文
来源期刊
自引率
0.00%
发文量
0
×
引用
GB/T 7714-2015
复制
MLA
复制
APA
复制
导出至
BibTeX EndNote RefMan NoteFirst NoteExpress
×
提示
您的信息不完整,为了账户安全,请先补充。
现在去补充
×
提示
您因"违规操作"
具体请查看互助需知
我知道了
×
提示
确定
请完成安全验证×
copy
已复制链接
快去分享给好友吧!
我知道了
右上角分享
点击右上角分享
0
联系我们:info@booksci.cn Book学术提供免费学术资源搜索服务,方便国内外学者检索中英文文献。致力于提供最便捷和优质的服务体验。 Copyright © 2023 布克学术 All rights reserved.
京ICP备2023020795号-1
ghs 京公网安备 11010802042870号
Book学术文献互助
Book学术文献互助群
群 号:604180095
Book学术官方微信