Is the construction of high-speed rail crowding out the market for medical care services at county? Quasi-experimental evidence from China.

IF 3.3 3区 经济学 Q1 ECONOMICS
Liu Yang, Zhongliang Zhou, Yawei Huang, Sha Lai, Chi Shen
{"title":"Is the construction of high-speed rail crowding out the market for medical care services at county? Quasi-experimental evidence from China.","authors":"Liu Yang, Zhongliang Zhou, Yawei Huang, Sha Lai, Chi Shen","doi":"10.1186/s13561-025-00661-4","DOIUrl":null,"url":null,"abstract":"<p><strong>Background: </strong>Public transportation, including high-speed rail (HSR), exerts a significant influence on people's health and health-related behaviors in various ways around the world. Several studies have investigated the impact of HSR on patients' health-seeking behavior, however, many issues regarding the impact of HSR remain to be investigated in depth. We aim to explore whether the effect of HSR on patients' health-seeking behavior crowds out the market for medical services in county regions based on China's practice.</p><p><strong>Methods: </strong>The opening of two important HSR lines connecting two megacities in western China, Xi'an to Chengdu (opened on December 6, 2017) and Yinchuan to Xi'an (opened on December 26, 2020), were considered as quasi-experimental intervention, and Event Study and Synthetic Difference-in-Differences (DID) research design were applied in this study. A monthly report database about county-level hospitals of the health statistical data collection from 2017 to 2018 and 2020 to 2021 was used.</p><p><strong>Results: </strong>There is no significant change in the total number of visits (TOV) and the number of bed days occupied by discharged persons (BDODP) in county-level hospitals before and after the opening of two major HSR lines being observed. The estimates of TOV from synthetic DID were 319.38 (95% CI, -761.01, 1399.77) and -915.69 (95% CI, -5079.07, 3247.68) for the two HSR lines, respectively. The estimates of BDODP from synthetic DID were -581.34 (95% CI, -1555.27, 392.59) and -960.62 (95% CI, -3932.40, 2011,17) for the two HSR lines, respectively. The results from the event study DID estimates are in line with the synthetic DID.</p><p><strong>Conclusions: </strong>Our findings suggest that the construction of HSR does not substantially modify the utilization of medical services at the county level. Moreover the effect of the construction of HSR on the flow of patients to large hospitals may be an incremental effect. These findings hold important implications for infrastructure policy, suggesting that improvements in transportation can coexist with and perhaps even bolster local healthcare services without compromising their usage.</p>","PeriodicalId":46936,"journal":{"name":"Health Economics Review","volume":"15 1","pages":"66"},"PeriodicalIF":3.3000,"publicationDate":"2025-08-02","publicationTypes":"Journal Article","fieldsOfStudy":null,"isOpenAccess":false,"openAccessPdf":"https://www.ncbi.nlm.nih.gov/pmc/articles/PMC12317508/pdf/","citationCount":"0","resultStr":null,"platform":"Semanticscholar","paperid":null,"PeriodicalName":"Health Economics Review","FirstCategoryId":"96","ListUrlMain":"https://doi.org/10.1186/s13561-025-00661-4","RegionNum":3,"RegionCategory":"经济学","ArticlePicture":[],"TitleCN":null,"AbstractTextCN":null,"PMCID":null,"EPubDate":"","PubModel":"","JCR":"Q1","JCRName":"ECONOMICS","Score":null,"Total":0}
引用次数: 0

Abstract

Background: Public transportation, including high-speed rail (HSR), exerts a significant influence on people's health and health-related behaviors in various ways around the world. Several studies have investigated the impact of HSR on patients' health-seeking behavior, however, many issues regarding the impact of HSR remain to be investigated in depth. We aim to explore whether the effect of HSR on patients' health-seeking behavior crowds out the market for medical services in county regions based on China's practice.

Methods: The opening of two important HSR lines connecting two megacities in western China, Xi'an to Chengdu (opened on December 6, 2017) and Yinchuan to Xi'an (opened on December 26, 2020), were considered as quasi-experimental intervention, and Event Study and Synthetic Difference-in-Differences (DID) research design were applied in this study. A monthly report database about county-level hospitals of the health statistical data collection from 2017 to 2018 and 2020 to 2021 was used.

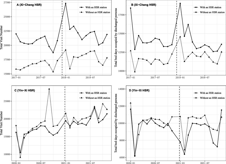
Results: There is no significant change in the total number of visits (TOV) and the number of bed days occupied by discharged persons (BDODP) in county-level hospitals before and after the opening of two major HSR lines being observed. The estimates of TOV from synthetic DID were 319.38 (95% CI, -761.01, 1399.77) and -915.69 (95% CI, -5079.07, 3247.68) for the two HSR lines, respectively. The estimates of BDODP from synthetic DID were -581.34 (95% CI, -1555.27, 392.59) and -960.62 (95% CI, -3932.40, 2011,17) for the two HSR lines, respectively. The results from the event study DID estimates are in line with the synthetic DID.

Conclusions: Our findings suggest that the construction of HSR does not substantially modify the utilization of medical services at the county level. Moreover the effect of the construction of HSR on the flow of patients to large hospitals may be an incremental effect. These findings hold important implications for infrastructure policy, suggesting that improvements in transportation can coexist with and perhaps even bolster local healthcare services without compromising their usage.

Abstract Image

Abstract Image

Abstract Image

高铁建设是否挤占了县域医疗服务市场?来自中国的准实验证据。
背景:包括高速铁路(HSR)在内的公共交通在世界范围内以各种方式对人们的健康和健康相关行为产生重大影响。一些研究已经探讨了高铁对患者就医行为的影响,但关于高铁影响的许多问题仍有待深入研究。我们的目的是根据中国的实践,探讨高铁对患者就医行为的影响是否挤占了县域医疗服务市场。​采用2017 - 2018年和2020 - 2021年县级医院卫生统计数据收集月报数据库。结果:两条主要高铁线路开通前后,县级医院总就诊人次(TOV)和出院病人病床天数(BDODP)无显著变化。合成DID对两条高铁线路的TOV估计分别为319.38 (95% CI, -761.01, 1399.77)和-915.69 (95% CI, -5079.07, 3247.68)。合成DID对两条高铁线路的BDODP估计分别为-581.34 (95% CI, -1555.27, 392.59)和-960.62 (95% CI, -3932.40, 2011,17)。事件研究DID估计的结果与合成DID一致。结论:高铁建设并未对县域医疗服务利用产生实质性影响。此外,高铁建设对大医院患者流量的影响可能是一种增量效应。这些发现对基础设施政策具有重要意义,表明交通的改善可以与当地医疗服务共存,甚至可能在不影响其使用的情况下加强当地医疗服务。
本文章由计算机程序翻译,如有差异,请以英文原文为准。
求助全文
约1分钟内获得全文 求助全文
来源期刊
CiteScore
3.90
自引率
4.20%
发文量
59
审稿时长
13 weeks
期刊介绍: Health Economics Review is an international high-quality journal covering all fields of Health Economics. A broad range of theoretical contributions, empirical studies and analyses of health policy with a health economic focus will be considered for publication. Its scope includes macro- and microeconomics of health care financing, health insurance and reimbursement as well as health economic evaluation, health services research and health policy analysis. Further research topics are the individual and institutional aspects of health care management and the growing importance of health care in developing countries.
×
引用
GB/T 7714-2015
复制
MLA
复制
APA
复制
导出至
BibTeX EndNote RefMan NoteFirst NoteExpress
×
提示
您的信息不完整,为了账户安全,请先补充。
现在去补充
×
提示
您因"违规操作"
具体请查看互助需知
我知道了
×
提示
确定
请完成安全验证×
copy
已复制链接
快去分享给好友吧!
我知道了
右上角分享
点击右上角分享
0
联系我们:info@booksci.cn Book学术提供免费学术资源搜索服务,方便国内外学者检索中英文文献。致力于提供最便捷和优质的服务体验。 Copyright © 2023 布克学术 All rights reserved.
京ICP备2023020795号-1
ghs 京公网安备 11010802042870号
Book学术文献互助
Book学术文献互助群
群 号:604180095
Book学术官方微信