Assessing the Role of Honour Culture and Image Concerns in Impeding Apologies

IF 2.7 2区 心理学 Q2 PSYCHOLOGY, SOCIAL
Alexander Kirchner-Häusler, Ayse K. Uskul, Michael J. A. Wohl, Nima Orazani, Rosa Rodriguez-Bailón, Susan E. Cross, Meral Gezici-Yalçın, Charles Harb, Shenel Husnu, Konstantinos Kafetsios, Evangelia Kateri, Juan Matamoros-Lima, Rania Miniesy, Jinkyung Na, Stefano Pagliaro, Charis Psaltis, Dina Rabie, Manuel Teresi, Yukiko Uchida, Vivian L. Vignoles
{"title":"Assessing the Role of Honour Culture and Image Concerns in Impeding Apologies","authors":"Alexander Kirchner-Häusler,&nbsp;Ayse K. Uskul,&nbsp;Michael J. A. Wohl,&nbsp;Nima Orazani,&nbsp;Rosa Rodriguez-Bailón,&nbsp;Susan E. Cross,&nbsp;Meral Gezici-Yalçın,&nbsp;Charles Harb,&nbsp;Shenel Husnu,&nbsp;Konstantinos Kafetsios,&nbsp;Evangelia Kateri,&nbsp;Juan Matamoros-Lima,&nbsp;Rania Miniesy,&nbsp;Jinkyung Na,&nbsp;Stefano Pagliaro,&nbsp;Charis Psaltis,&nbsp;Dina Rabie,&nbsp;Manuel Teresi,&nbsp;Yukiko Uchida,&nbsp;Vivian L. Vignoles","doi":"10.1002/ejsp.70002","DOIUrl":null,"url":null,"abstract":"<p>Despite the known benefits of apologies, people often fail to apologize for wrongdoings. We examined the role of a cultural logic of honour—where apologizing may clash with concerns about maintaining an image of strength and toughness—in reluctance to apologize. Using general population samples from 14 societies in Mediterranean, East Asian and Anglo-Western regions (<i>N</i> = 5471), we explored links between honour values and norms, image concerns, and apology outcomes using multilevel mediation analyses. Members of groups with stronger honour endorsement reported stronger image concerns about apologizing relative to their concerns about not apologizing, which, in turn, predicted greater reluctance to apologize and fewer past apologies. However, groups with stronger honour endorsement did not show greater reluctance to apologize overall, and some individual-level facets of honour predicted better apology outcomes. Our results highlight the importance of considering honour as a multifaceted construct and including contextual factors and processes when studying reconciliation processes and obstacles to apologies.</p>","PeriodicalId":48377,"journal":{"name":"European Journal of Social Psychology","volume":"55 5","pages":"893-911"},"PeriodicalIF":2.7000,"publicationDate":"2025-06-06","publicationTypes":"Journal Article","fieldsOfStudy":null,"isOpenAccess":false,"openAccessPdf":"https://onlinelibrary.wiley.com/doi/epdf/10.1002/ejsp.70002","citationCount":"0","resultStr":null,"platform":"Semanticscholar","paperid":null,"PeriodicalName":"European Journal of Social Psychology","FirstCategoryId":"102","ListUrlMain":"https://onlinelibrary.wiley.com/doi/10.1002/ejsp.70002","RegionNum":2,"RegionCategory":"心理学","ArticlePicture":[],"TitleCN":null,"AbstractTextCN":null,"PMCID":null,"EPubDate":"","PubModel":"","JCR":"Q2","JCRName":"PSYCHOLOGY, SOCIAL","Score":null,"Total":0}
引用次数: 0

Abstract

Despite the known benefits of apologies, people often fail to apologize for wrongdoings. We examined the role of a cultural logic of honour—where apologizing may clash with concerns about maintaining an image of strength and toughness—in reluctance to apologize. Using general population samples from 14 societies in Mediterranean, East Asian and Anglo-Western regions (N = 5471), we explored links between honour values and norms, image concerns, and apology outcomes using multilevel mediation analyses. Members of groups with stronger honour endorsement reported stronger image concerns about apologizing relative to their concerns about not apologizing, which, in turn, predicted greater reluctance to apologize and fewer past apologies. However, groups with stronger honour endorsement did not show greater reluctance to apologize overall, and some individual-level facets of honour predicted better apology outcomes. Our results highlight the importance of considering honour as a multifaceted construct and including contextual factors and processes when studying reconciliation processes and obstacles to apologies.

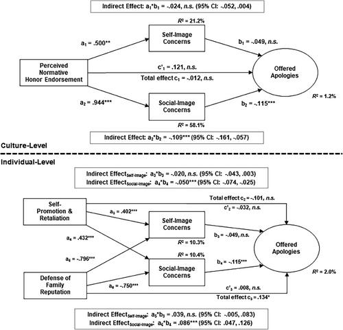
Abstract Image

评价荣誉文化和形象问题在阻碍道歉中的作用
尽管大家都知道道歉的好处,但人们往往不会为自己做错的事道歉。我们研究了荣誉的文化逻辑在不愿道歉中所起的作用——在这种逻辑中,道歉可能与保持坚强和坚韧的形象相冲突。使用来自地中海、东亚和盎格鲁-西方地区14个社会的一般人群样本(N = 5471),我们使用多层次中介分析探讨了荣誉价值观与规范、形象关注和道歉结果之间的联系。与不道歉相比,荣誉支持更强的小组成员对道歉的形象担忧更强,这反过来又预示着更不愿意道歉和更少的道歉。然而,拥有更强荣誉背书的群体总体上并没有表现出更大的道歉意愿,而且荣誉的某些个人层面预示着更好的道歉结果。我们的研究结果强调了在研究和解过程和道歉障碍时,将荣誉视为一个多方面的结构,包括语境因素和过程的重要性。
本文章由计算机程序翻译,如有差异,请以英文原文为准。
求助全文
约1分钟内获得全文 求助全文
来源期刊
CiteScore
6.10
自引率
7.70%
发文量
84
期刊介绍: Topics covered include, among others, intergroup relations, group processes, social cognition, attitudes, social influence and persuasion, self and identity, verbal and nonverbal communication, language and thought, affect and emotion, embodied and situated cognition and individual differences of social-psychological relevance. Together with original research articles, the European Journal of Social Psychology"s innovative and inclusive style is reflected in the variety of articles published: Research Article: Original articles that provide a significant contribution to the understanding of social phenomena, up to a maximum of 12,000 words in length.
×
引用
GB/T 7714-2015
复制
MLA
复制
APA
复制
导出至
BibTeX EndNote RefMan NoteFirst NoteExpress
×
提示
您的信息不完整,为了账户安全,请先补充。
现在去补充
×
提示
您因"违规操作"
具体请查看互助需知
我知道了
×
提示
确定
请完成安全验证×
copy
已复制链接
快去分享给好友吧!
我知道了
右上角分享
点击右上角分享
0
联系我们:info@booksci.cn Book学术提供免费学术资源搜索服务,方便国内外学者检索中英文文献。致力于提供最便捷和优质的服务体验。 Copyright © 2023 布克学术 All rights reserved.
京ICP备2023020795号-1
ghs 京公网安备 11010802042870号
Book学术文献互助
Book学术文献互助群
群 号:604180095
Book学术官方微信