Effects of short physical activity sessions on physical fitness and cognitive control in Norwegian upper secondary school students: the MOVE12 pilot study.

IF 2.8 3区 医学 Q1 REHABILITATION
Svein Barene, Harald Oseland, Rolf Inge Ølberg, Sigbjørn Litleskare
{"title":"Effects of short physical activity sessions on physical fitness and cognitive control in Norwegian upper secondary school students: the MOVE12 pilot study.","authors":"Svein Barene, Harald Oseland, Rolf Inge Ølberg, Sigbjørn Litleskare","doi":"10.1186/s13102-025-01120-7","DOIUrl":null,"url":null,"abstract":"<p><strong>Background: </strong>The MOVE12 pilot study investigated the effects of integrating brief, student-led physical activity sessions on fitness and cognitive control in Norwegian upper secondary school students. The MOVE-break concept integrates strength, endurance, and playful activities into classroom settings to counteract sedentary behavior.</p><p><strong>Methods: </strong>This 12-week cluster-randomized controlled trial enrolled 517 first-year students from academic and vocational programs. Classes were randomly assigned to either an intervention or control group. The intervention group was encouraged to conduct two daily Move-breaks sessions, each lasting 6-7 min, during classroom instruction. Physical fitness was assessed through aerobic fitness, muscular strength, flexibility, and postural control tests. Cognitive control was evaluated using the Eriksen Flanker and Stroop tasks.</p><p><strong>Results: </strong>No significant between-group differences were observed in aerobic fitness, muscular strength, flexibility, or postural control over the intervention period. However, within-group improvements were detected in the intervention group for handgrip strength and standing long jump performance. Notably, despite differences in exercise intensity between students in academic and vocational programs, both groups showed significant improvements in cognitive control.</p><p><strong>Conclusions: </strong>These findings highlight the potential of brief, student-led physical activity sessions to enhance cognitive control in adolescents, irrespective of educational program or intensity levels. While no substantial improvements in physical fitness were observed, the cognitive benefits highlight the potential of integrating structured movement sessions into the school day. Further research should explore optimized intervention strategies and long-term effects on both cognitive and physical health outcomes.</p><p><strong>Trial registration: </strong>ISRCTN, ISRCTN10405415. Registered 14/12/2023, https://doi.org/10.1186/ISRCTN10405415 .</p>","PeriodicalId":48585,"journal":{"name":"BMC Sports Science Medicine and Rehabilitation","volume":"17 1","pages":"222"},"PeriodicalIF":2.8000,"publicationDate":"2025-08-01","publicationTypes":"Journal Article","fieldsOfStudy":null,"isOpenAccess":false,"openAccessPdf":"https://www.ncbi.nlm.nih.gov/pmc/articles/PMC12317642/pdf/","citationCount":"0","resultStr":null,"platform":"Semanticscholar","paperid":null,"PeriodicalName":"BMC Sports Science Medicine and Rehabilitation","FirstCategoryId":"3","ListUrlMain":"https://doi.org/10.1186/s13102-025-01120-7","RegionNum":3,"RegionCategory":"医学","ArticlePicture":[],"TitleCN":null,"AbstractTextCN":null,"PMCID":null,"EPubDate":"","PubModel":"","JCR":"Q1","JCRName":"REHABILITATION","Score":null,"Total":0}
引用次数: 0

Abstract

Background: The MOVE12 pilot study investigated the effects of integrating brief, student-led physical activity sessions on fitness and cognitive control in Norwegian upper secondary school students. The MOVE-break concept integrates strength, endurance, and playful activities into classroom settings to counteract sedentary behavior.

Methods: This 12-week cluster-randomized controlled trial enrolled 517 first-year students from academic and vocational programs. Classes were randomly assigned to either an intervention or control group. The intervention group was encouraged to conduct two daily Move-breaks sessions, each lasting 6-7 min, during classroom instruction. Physical fitness was assessed through aerobic fitness, muscular strength, flexibility, and postural control tests. Cognitive control was evaluated using the Eriksen Flanker and Stroop tasks.

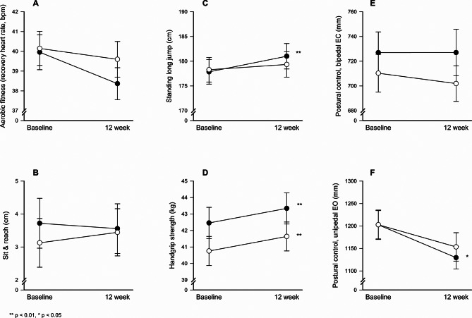
Results: No significant between-group differences were observed in aerobic fitness, muscular strength, flexibility, or postural control over the intervention period. However, within-group improvements were detected in the intervention group for handgrip strength and standing long jump performance. Notably, despite differences in exercise intensity between students in academic and vocational programs, both groups showed significant improvements in cognitive control.

Conclusions: These findings highlight the potential of brief, student-led physical activity sessions to enhance cognitive control in adolescents, irrespective of educational program or intensity levels. While no substantial improvements in physical fitness were observed, the cognitive benefits highlight the potential of integrating structured movement sessions into the school day. Further research should explore optimized intervention strategies and long-term effects on both cognitive and physical health outcomes.

Trial registration: ISRCTN, ISRCTN10405415. Registered 14/12/2023, https://doi.org/10.1186/ISRCTN10405415 .

Abstract Image

Abstract Image

Abstract Image

短时间体育活动对挪威高中生身体健康和认知控制的影响:MOVE12试点研究
背景:MOVE12试点研究调查了挪威高中生整合简短的、学生主导的体育活动课程对健康和认知控制的影响。MOVE-break概念将力量、耐力和有趣的活动融入课堂环境,以抵消久坐不动的行为。方法:这项为期12周的集群随机对照试验招募了517名来自学术和职业专业的一年级学生。班级被随机分配到干预组或对照组。干预组被鼓励在课堂教学期间每天进行两次移动休息,每次持续6-7分钟。通过有氧适能、肌肉力量、柔韧性和姿势控制测试来评估身体健康。使用Eriksen Flanker和Stroop任务评估认知控制。结果:在干预期间,在有氧适能、肌肉力量、柔韧性或姿势控制方面,组间无显著差异。然而,干预组在握力和立定跳远成绩方面均有组内改善。值得注意的是,尽管学术课程和职业课程的学生在运动强度上存在差异,但两组学生在认知控制方面都有显著改善。结论:这些发现强调了简短的、学生主导的体育活动在增强青少年认知控制方面的潜力,无论其教育计划或强度水平如何。虽然没有观察到身体健康方面的实质性改善,但将有组织的运动课程融入学校生活的认知益处突出了。进一步的研究应该探索优化的干预策略和对认知和身体健康结果的长期影响。试验注册:ISRCTN, ISRCTN10405415。2023年12月14日注册,https://doi.org/10.1186/ISRCTN10405415。
本文章由计算机程序翻译,如有差异,请以英文原文为准。
求助全文
约1分钟内获得全文 求助全文
来源期刊
BMC Sports Science Medicine and Rehabilitation
BMC Sports Science Medicine and Rehabilitation Medicine-Orthopedics and Sports Medicine
CiteScore
3.00
自引率
5.30%
发文量
196
审稿时长
26 weeks
期刊介绍: BMC Sports Science, Medicine and Rehabilitation is an open access, peer reviewed journal that considers articles on all aspects of sports medicine and the exercise sciences, including rehabilitation, traumatology, cardiology, physiology, and nutrition.
×
引用
GB/T 7714-2015
复制
MLA
复制
APA
复制
导出至
BibTeX EndNote RefMan NoteFirst NoteExpress
×
提示
您的信息不完整,为了账户安全,请先补充。
现在去补充
×
提示
您因"违规操作"
具体请查看互助需知
我知道了
×
提示
确定
请完成安全验证×
copy
已复制链接
快去分享给好友吧!
我知道了
右上角分享
点击右上角分享
0
联系我们:info@booksci.cn Book学术提供免费学术资源搜索服务,方便国内外学者检索中英文文献。致力于提供最便捷和优质的服务体验。 Copyright © 2023 布克学术 All rights reserved.
京ICP备2023020795号-1
ghs 京公网安备 11010802042870号
Book学术文献互助
Book学术文献互助群
群 号:604180095
Book学术官方微信