Quantifying the association of Life's Crucial 9 with cardiovascular diseases among elderly hypertensive patients managed in primary care settings.

IF 2.5 2区 医学 Q2 PUBLIC, ENVIRONMENTAL & OCCUPATIONAL HEALTH
Lipei Zhao, Quanman Li, Mingze Ma, Yifei Feng, Saiyi Wang, Zhanlei Shen, Xinghong Guo, Yudong Miao, Jian Wu
{"title":"Quantifying the association of Life's Crucial 9 with cardiovascular diseases among elderly hypertensive patients managed in primary care settings.","authors":"Lipei Zhao, Quanman Li, Mingze Ma, Yifei Feng, Saiyi Wang, Zhanlei Shen, Xinghong Guo, Yudong Miao, Jian Wu","doi":"10.1186/s12963-025-00407-8","DOIUrl":null,"url":null,"abstract":"<p><strong>Background: </strong>Life's Crucial 9 (LC9), an extension for Life's Essential 8 with the addition of psychological health, provides a new tool for assessing cardiovascular health. However, the association between LC9 and cardiovascular diseases (CVD) in elderly hypertensive patients remains unclear.</p><p><strong>Methods: </strong>A cross-sectional survey was carried out among elderly hypertensive patients from the National Basic Public Health Service Programs in Jia County, Henan Province, from July 1 to August 31, 2023. The primary outcome was defined as a composite CVD (coronary heart disease and stroke). The LC9 consisted of 9 metrics (diet, physical activity, nicotine exposure, sleep, psychological health, body mass index, blood pressure, fasting blood glucose, and non-high-density lipoprotein cholesterol). The logistic regression model was established to estimate the odds ratio (OR) and 95% CI of CVD across different LC9 groups.</p><p><strong>Results: </strong>A total of 13,032 elderly hypertensive patients (mean age: 73.45) were analyzed. 5,664 (43.46%) patients were diagnosed with CVD (including 4,455 coronary heart disease and 2,062 stroke). The median (interquartile range) of the LC9 score in all patients, those without CVD, and those with CVD were 65.56 (58.33-72.22), 66.67 (59.44-73.33), and 64.44 (56.67-71.11), respectively. As the number of ideal LC9 metrics increased, the prevalence of CVD decreased (P<sub>trend</sub> <0.05). After adjusting for potential confounders, the OR (95%CI) of CVD in the LC9 score was 0.80 (0.76 - 0.83). Compared with the low group, the OR (95%CI) of CVD in the moderate group was 0.66 (0.58-0.76), and 0.49 (0.41-0.59) for the high group, respectively. Notably, there was a negative dose-response relationship between LC9 and its domain scores and CVD (P-nonlinear > 0.05).</p><p><strong>Conclusion: </strong>Higher LC9 scores and more ideal health metrics, including psychological health, are associated with lower CVD risk in elderly hypertensive patients, highlighting the need for policy efforts to strengthen primary healthcare, expand access to preventive services, and promote comprehensive CVH management in this high-risk population.</p>","PeriodicalId":51476,"journal":{"name":"Population Health Metrics","volume":"23 1","pages":"41"},"PeriodicalIF":2.5000,"publicationDate":"2025-07-31","publicationTypes":"Journal Article","fieldsOfStudy":null,"isOpenAccess":false,"openAccessPdf":"https://www.ncbi.nlm.nih.gov/pmc/articles/PMC12315369/pdf/","citationCount":"0","resultStr":null,"platform":"Semanticscholar","paperid":null,"PeriodicalName":"Population Health Metrics","FirstCategoryId":"3","ListUrlMain":"https://doi.org/10.1186/s12963-025-00407-8","RegionNum":2,"RegionCategory":"医学","ArticlePicture":[],"TitleCN":null,"AbstractTextCN":null,"PMCID":null,"EPubDate":"","PubModel":"","JCR":"Q2","JCRName":"PUBLIC, ENVIRONMENTAL & OCCUPATIONAL HEALTH","Score":null,"Total":0}
引用次数: 0

Abstract

Background: Life's Crucial 9 (LC9), an extension for Life's Essential 8 with the addition of psychological health, provides a new tool for assessing cardiovascular health. However, the association between LC9 and cardiovascular diseases (CVD) in elderly hypertensive patients remains unclear.

Methods: A cross-sectional survey was carried out among elderly hypertensive patients from the National Basic Public Health Service Programs in Jia County, Henan Province, from July 1 to August 31, 2023. The primary outcome was defined as a composite CVD (coronary heart disease and stroke). The LC9 consisted of 9 metrics (diet, physical activity, nicotine exposure, sleep, psychological health, body mass index, blood pressure, fasting blood glucose, and non-high-density lipoprotein cholesterol). The logistic regression model was established to estimate the odds ratio (OR) and 95% CI of CVD across different LC9 groups.

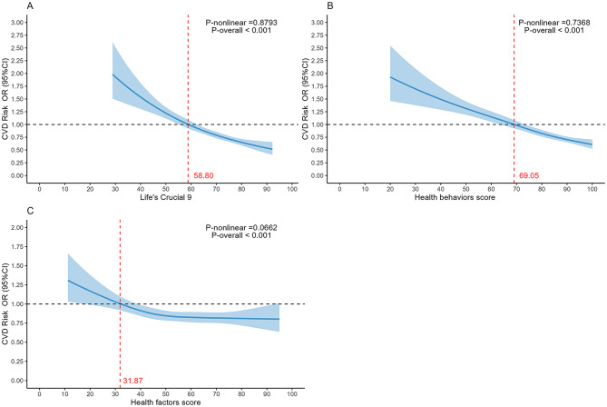
Results: A total of 13,032 elderly hypertensive patients (mean age: 73.45) were analyzed. 5,664 (43.46%) patients were diagnosed with CVD (including 4,455 coronary heart disease and 2,062 stroke). The median (interquartile range) of the LC9 score in all patients, those without CVD, and those with CVD were 65.56 (58.33-72.22), 66.67 (59.44-73.33), and 64.44 (56.67-71.11), respectively. As the number of ideal LC9 metrics increased, the prevalence of CVD decreased (Ptrend <0.05). After adjusting for potential confounders, the OR (95%CI) of CVD in the LC9 score was 0.80 (0.76 - 0.83). Compared with the low group, the OR (95%CI) of CVD in the moderate group was 0.66 (0.58-0.76), and 0.49 (0.41-0.59) for the high group, respectively. Notably, there was a negative dose-response relationship between LC9 and its domain scores and CVD (P-nonlinear > 0.05).

Conclusion: Higher LC9 scores and more ideal health metrics, including psychological health, are associated with lower CVD risk in elderly hypertensive patients, highlighting the need for policy efforts to strengthen primary healthcare, expand access to preventive services, and promote comprehensive CVH management in this high-risk population.

Abstract Image

Abstract Image

Abstract Image

在初级保健机构管理的老年高血压患者中,量化生命关键9与心血管疾病的关系
背景:Life's Crucial 9 (LC9)是Life's Essential 8的扩展,增加了心理健康,为评估心血管健康提供了一种新的工具。然而,LC9与老年高血压患者心血管疾病(CVD)之间的关系尚不清楚。方法:对河南省贾县2023年7月1日至8月31日参加国家基本公共卫生服务项目的老年高血压患者进行横断面调查。主要终点被定义为复合CVD(冠心病和中风)。LC9包括9项指标(饮食、身体活动、尼古丁暴露、睡眠、心理健康、体重指数、血压、空腹血糖和非高密度脂蛋白胆固醇)。建立logistic回归模型,估计不同LC9组CVD的比值比(OR)和95% CI。结果:共分析老年高血压患者13032例,平均年龄73.45岁。5664例(43.46%)患者被诊断为心血管疾病(包括4455例冠心病和2062例中风)。所有患者、无CVD患者和有CVD患者的LC9评分中位数(四分位数范围)分别为65.56(58.33-72.22)、66.67(59.44-73.33)和64.44(56.67-71.11)。随着理想LC9指标数量的增加,CVD患病率降低(p趋势0.05)。结论:较高的LC9评分和更理想的健康指标(包括心理健康)与老年高血压患者CVD风险降低相关,强调需要政策努力加强初级卫生保健,扩大预防服务的可及性,并促进这一高危人群的CVH综合管理。
本文章由计算机程序翻译,如有差异,请以英文原文为准。
求助全文
约1分钟内获得全文 求助全文
来源期刊
Population Health Metrics
Population Health Metrics PUBLIC, ENVIRONMENTAL & OCCUPATIONAL HEALTH-
CiteScore
6.50
自引率
0.00%
发文量
21
审稿时长
29 weeks
期刊介绍: Population Health Metrics aims to advance the science of population health assessment, and welcomes papers relating to concepts, methods, ethics, applications, and summary measures of population health. The journal provides a unique platform for population health researchers to share their findings with the global community. We seek research that addresses the communication of population health measures and policy implications to stakeholders; this includes papers related to burden estimation and risk assessment, and research addressing population health across the full range of development. Population Health Metrics covers a broad range of topics encompassing health state measurement and valuation, summary measures of population health, descriptive epidemiology at the population level, burden of disease and injury analysis, disease and risk factor modeling for populations, and comparative assessment of risks to health at the population level. The journal is also interested in how to use and communicate indicators of population health to reduce disease burden, and the approaches for translating from indicators of population health to health-advancing actions. As a cross-cutting topic of importance, we are particularly interested in inequalities in population health and their measurement.
×
引用
GB/T 7714-2015
复制
MLA
复制
APA
复制
导出至
BibTeX EndNote RefMan NoteFirst NoteExpress
×
提示
您的信息不完整,为了账户安全,请先补充。
现在去补充
×
提示
您因"违规操作"
具体请查看互助需知
我知道了
×
提示
确定
请完成安全验证×
copy
已复制链接
快去分享给好友吧!
我知道了
右上角分享
点击右上角分享
0
联系我们:info@booksci.cn Book学术提供免费学术资源搜索服务,方便国内外学者检索中英文文献。致力于提供最便捷和优质的服务体验。 Copyright © 2023 布克学术 All rights reserved.
京ICP备2023020795号-1
ghs 京公网安备 11010802042870号
Book学术文献互助
Book学术文献互助群
群 号:604180095
Book学术官方微信