Assessment of naturally acquired IgG antibodies to pneumococcal vaccine serotypes in healthy and type 2 diabetic adults in India.

IF 1.3 Q4 IMMUNOLOGY
Clinical and Experimental Vaccine Research Pub Date : 2025-07-01 Epub Date: 2025-05-22 DOI:10.7774/cevr.2025.14.e25
Mettingal Ramakrishnan Shincy, Manheri Mavupadi Akhila, Govindan Vandana, Nagaraj Geetha, Vani Rajashekaraiah, Kadahalli Lingegowda Ravikumar
{"title":"Assessment of naturally acquired IgG antibodies to pneumococcal vaccine serotypes in healthy and type 2 diabetic adults in India.","authors":"Mettingal Ramakrishnan Shincy, Manheri Mavupadi Akhila, Govindan Vandana, Nagaraj Geetha, Vani Rajashekaraiah, Kadahalli Lingegowda Ravikumar","doi":"10.7774/cevr.2025.14.e25","DOIUrl":null,"url":null,"abstract":"<p><strong>Purpose: </strong><i>Streptococcus pneumoniae</i> is a leading global cause of morbidity and mortality, particularly in individuals with type 2 diabetes, who are at increased risk due to altered immunity. Vaccination is crucial for preventing pneumococcal disease in this population; however, its effectiveness depends on sufficient baseline immunity and the ability to generate protective antibodies.</p><p><strong>Materials and methods: </strong>This study aimed to measure baseline immunoglobulin G (IgG) antibody levels against 23 vaccine serotypes in 56 type 2 diabetic and 56 healthy Indian adults using the World Health Organization-enzyme-linked immunosorbent assay protocol.</p><p><strong>Results: </strong>Protective IgG levels (≥1.3 µg/mL) were observed for 78% of serotypes (18/23) in healthy adults but only 35% (8/23) in diabetics. Significant differences were noted in 13 of 23 serotypes (56.2%), including 1, 6B, 7F (p=0.008), 8 (p=0.01), 9V, 11A (p=0.009), 12F, 17F, 18C (p=0.002), 19A (p=0.0006), 19F (p=0.004), 22F (p=0.0003), and 33F (p=0.04). Serotype 14 showed the highest IgG levels, while serotype 3 had the lowest. Seroprevalence ranged from 17.8% to 98.21% in non-diabetics and 10.7% to 96.4% in diabetics.</p><p><strong>Conclusion: </strong>The findings highlight differences in baseline immunity and provide insights into pneumococcal immunogenicity in Indian adults with and without diabetes.</p>","PeriodicalId":51768,"journal":{"name":"Clinical and Experimental Vaccine Research","volume":"14 3","pages":"267-275"},"PeriodicalIF":1.3000,"publicationDate":"2025-07-01","publicationTypes":"Journal Article","fieldsOfStudy":null,"isOpenAccess":false,"openAccessPdf":"https://www.ncbi.nlm.nih.gov/pmc/articles/PMC12303704/pdf/","citationCount":"0","resultStr":null,"platform":"Semanticscholar","paperid":null,"PeriodicalName":"Clinical and Experimental Vaccine Research","FirstCategoryId":"1085","ListUrlMain":"https://doi.org/10.7774/cevr.2025.14.e25","RegionNum":0,"RegionCategory":null,"ArticlePicture":[],"TitleCN":null,"AbstractTextCN":null,"PMCID":null,"EPubDate":"2025/5/22 0:00:00","PubModel":"Epub","JCR":"Q4","JCRName":"IMMUNOLOGY","Score":null,"Total":0}
引用次数: 0

Abstract

Purpose: Streptococcus pneumoniae is a leading global cause of morbidity and mortality, particularly in individuals with type 2 diabetes, who are at increased risk due to altered immunity. Vaccination is crucial for preventing pneumococcal disease in this population; however, its effectiveness depends on sufficient baseline immunity and the ability to generate protective antibodies.

Materials and methods: This study aimed to measure baseline immunoglobulin G (IgG) antibody levels against 23 vaccine serotypes in 56 type 2 diabetic and 56 healthy Indian adults using the World Health Organization-enzyme-linked immunosorbent assay protocol.

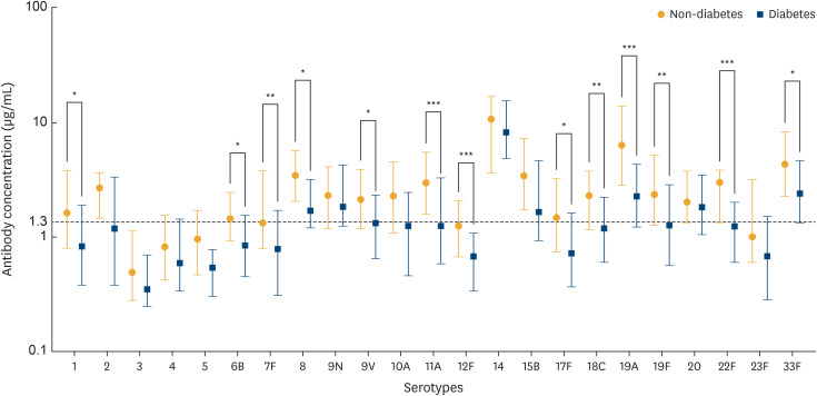
Results: Protective IgG levels (≥1.3 µg/mL) were observed for 78% of serotypes (18/23) in healthy adults but only 35% (8/23) in diabetics. Significant differences were noted in 13 of 23 serotypes (56.2%), including 1, 6B, 7F (p=0.008), 8 (p=0.01), 9V, 11A (p=0.009), 12F, 17F, 18C (p=0.002), 19A (p=0.0006), 19F (p=0.004), 22F (p=0.0003), and 33F (p=0.04). Serotype 14 showed the highest IgG levels, while serotype 3 had the lowest. Seroprevalence ranged from 17.8% to 98.21% in non-diabetics and 10.7% to 96.4% in diabetics.

Conclusion: The findings highlight differences in baseline immunity and provide insights into pneumococcal immunogenicity in Indian adults with and without diabetes.

Abstract Image

Abstract Image

Abstract Image

印度健康成人和2型糖尿病成人肺炎球菌疫苗血清型自然获得性IgG抗体的评估
目的:肺炎链球菌是全球发病率和死亡率的主要原因,特别是在2型糖尿病患者中,由于免疫改变,他们的风险增加。在这一人群中,接种疫苗对于预防肺炎球菌病至关重要;然而,其有效性取决于足够的基线免疫和产生保护性抗体的能力。材料和方法:本研究旨在使用世界卫生组织-酶联免疫吸附试验方案,测量56名2型糖尿病患者和56名健康印度成年人针对23种疫苗血清型的基线免疫球蛋白G (IgG)抗体水平。结果:78%的健康成人血清型(18/23)检测到保护性IgG水平(≥1.3µg/mL),而糖尿病患者仅35%(8/23)检测到保护性IgG水平。23种血清型中有13种(56.2%)存在显著性差异,包括1、6B、7F (p=0.008)、8 (p=0.01)、9V、11A (p=0.009)、12F、17F、18C (p=0.002)、19A (p=0.0006)、19F (p=0.004)、22F (p=0.0003)、33F (p=0.04)。血清14型IgG水平最高,血清3型最低。非糖尿病患者血清阳性率为17.8% ~ 98.21%,糖尿病患者为10.7% ~ 96.4%。结论:研究结果突出了基线免疫的差异,并为有糖尿病和无糖尿病的印度成人肺炎球菌免疫原性提供了见解。
本文章由计算机程序翻译,如有差异,请以英文原文为准。
求助全文
约1分钟内获得全文 求助全文
来源期刊
CiteScore
3.70
自引率
3.70%
发文量
29
审稿时长
8 weeks
期刊介绍: Clin Exp Vaccine Res, the official English journal of the Korean Vaccine Society, is an international, peer reviewed, and open-access journal. It covers all areas related to vaccines and vaccination. Clin Exp Vaccine Res publishes editorials, review articles, special articles, original articles, case reports, brief communications, and correspondences covering a wide range of clinical and experimental subjects including vaccines and vaccination for human and animals against infectious diseases caused by viruses, bacteria, parasites and tumor. The scope of the journal is to disseminate information that may contribute to elaborate vaccine development and vaccination strategies targeting infectious diseases and tumors in human and animals. Relevant topics range from experimental approaches to (pre)clinical trials for the vaccine research based on, but not limited to, basic laboratory, translational, and (pre)clinical investigations, epidemiology of infectious diseases and progression of all aspects in the health related issues. It is published printed and open accessed online issues (https://ecevr.org) two times per year in 31 January and 31 July. Clin Exp Vaccine Res is linked to many international databases and is made freely available to institutions and individuals worldwide
×
引用
GB/T 7714-2015
复制
MLA
复制
APA
复制
导出至
BibTeX EndNote RefMan NoteFirst NoteExpress
×
提示
您的信息不完整,为了账户安全,请先补充。
现在去补充
×
提示
您因"违规操作"
具体请查看互助需知
我知道了
×
提示
确定
请完成安全验证×
copy
已复制链接
快去分享给好友吧!
我知道了
右上角分享
点击右上角分享
0
联系我们:info@booksci.cn Book学术提供免费学术资源搜索服务,方便国内外学者检索中英文文献。致力于提供最便捷和优质的服务体验。 Copyright © 2023 布克学术 All rights reserved.
京ICP备2023020795号-1
ghs 京公网安备 11010802042870号
Book学术文献互助
Book学术文献互助群
群 号:604180095
Book学术官方微信