Untargeted metabolomics analysis of serum metabolic signatures as novel biomarkers for gastric carcinoma.

IF 3.2 Q3 ONCOLOGY
Le Ren, Jun Liu, Ya-Yun Xu, Zhen-Wang Shi
{"title":"Untargeted metabolomics analysis of serum metabolic signatures as novel biomarkers for gastric carcinoma.","authors":"Le Ren, Jun Liu, Ya-Yun Xu, Zhen-Wang Shi","doi":"10.5306/wjco.v16.i7.108967","DOIUrl":null,"url":null,"abstract":"<p><strong>Background: </strong>In recent years, metabolomics has emerged as a novel platform for biomarker discovery. However, the metabolic profiles associated with gastric carcinoma (GC) remain insufficiently explored.</p><p><strong>Aim: </strong>To examine the differences in metabolites between patients with GC and healthy controls, with the objective of identifying potential serum biomarkers for GC diagnosis through a non-targeted metabolomics approach.</p><p><strong>Methods: </strong>An untargeted metabolic analysis was conducted on serum samples from 6 patients with GC and 6 healthy controls. Subsequently, the differential metabolites identified were further validated in serum samples from an expanded cohort of 50 patients with GC and 50 healthy controls. The discriminative capacity of differential metabolites in distinguishing patients with GC from healthy controls was assessed utilizing the receiver operating characteristic curve analysis. The association between the serum levels of differential metabolites and the disease severity, as determined by the tumor-node-metastasis staging system, was evaluated using Spearman's rank correlation coefficient.</p><p><strong>Results: </strong>Our findings revealed a significant alteration in the metabolic profile, characterized by 111 up-regulated and 55 down-regulated metabolites in patients with GC compared to healthy controls. Among the top 10 up-regulated metabolites, the serum concentrations of eight metabolites including fenpiclonil, methyclothiazide, 5-hydroxyindoleacetate, 3-pyridinecarboxylic acid, guanabenz, 2,2-dichloro-N-(3-chloro-1,4-dioxo-2-naphthyl) acetamide, epigallocatechin gallate, and dimethenamid, were further validated to be significantly elevated in a cohort of 50 patients diagnosed with GC compared to 50 healthy control subjects (<i>P</i> < 0.001). With the exception of 3-pyridinecarboxylic acid, the area under the curve values for the remaining seven metabolites exceeded 0.7, suggesting that these metabolites possess substantial diagnostic potential for distinguishing patients with GC from healthy individuals. Additionally, the serum concentrations of methyclothiazide (<i>r</i> = 0.615, <i>P</i> < 0.001), epigallocatechin gallate (<i>r</i> = 0.482, <i>P</i> = 0.004), and dimethenamid (<i>r</i> = 0.634, <i>P</i> < 0.001) demonstrated a significant positive correlation with the T stage in patients with GC. The serum concentrations of methyclothiazide (<i>r</i> = 0.438, <i>P</i> = 0.008) and epigallocatechin gallate (<i>r</i> = 0.383, <i>P</i> = 0.023) exhibited a significant positive correlation with the N stage in these patients.</p><p><strong>Conclusion: </strong>This study provides insights into the metabolic alterations associated with GC, and the identification of these biomarkers may enhance the clinical detection and management of the disease.</p>","PeriodicalId":23802,"journal":{"name":"World journal of clinical oncology","volume":"16 7","pages":"108967"},"PeriodicalIF":3.2000,"publicationDate":"2025-07-24","publicationTypes":"Journal Article","fieldsOfStudy":null,"isOpenAccess":false,"openAccessPdf":"https://www.ncbi.nlm.nih.gov/pmc/articles/PMC12305032/pdf/","citationCount":"0","resultStr":null,"platform":"Semanticscholar","paperid":null,"PeriodicalName":"World journal of clinical oncology","FirstCategoryId":"1085","ListUrlMain":"https://doi.org/10.5306/wjco.v16.i7.108967","RegionNum":0,"RegionCategory":null,"ArticlePicture":[],"TitleCN":null,"AbstractTextCN":null,"PMCID":null,"EPubDate":"","PubModel":"","JCR":"Q3","JCRName":"ONCOLOGY","Score":null,"Total":0}
引用次数: 0

Abstract

Background: In recent years, metabolomics has emerged as a novel platform for biomarker discovery. However, the metabolic profiles associated with gastric carcinoma (GC) remain insufficiently explored.

Aim: To examine the differences in metabolites between patients with GC and healthy controls, with the objective of identifying potential serum biomarkers for GC diagnosis through a non-targeted metabolomics approach.

Methods: An untargeted metabolic analysis was conducted on serum samples from 6 patients with GC and 6 healthy controls. Subsequently, the differential metabolites identified were further validated in serum samples from an expanded cohort of 50 patients with GC and 50 healthy controls. The discriminative capacity of differential metabolites in distinguishing patients with GC from healthy controls was assessed utilizing the receiver operating characteristic curve analysis. The association between the serum levels of differential metabolites and the disease severity, as determined by the tumor-node-metastasis staging system, was evaluated using Spearman's rank correlation coefficient.

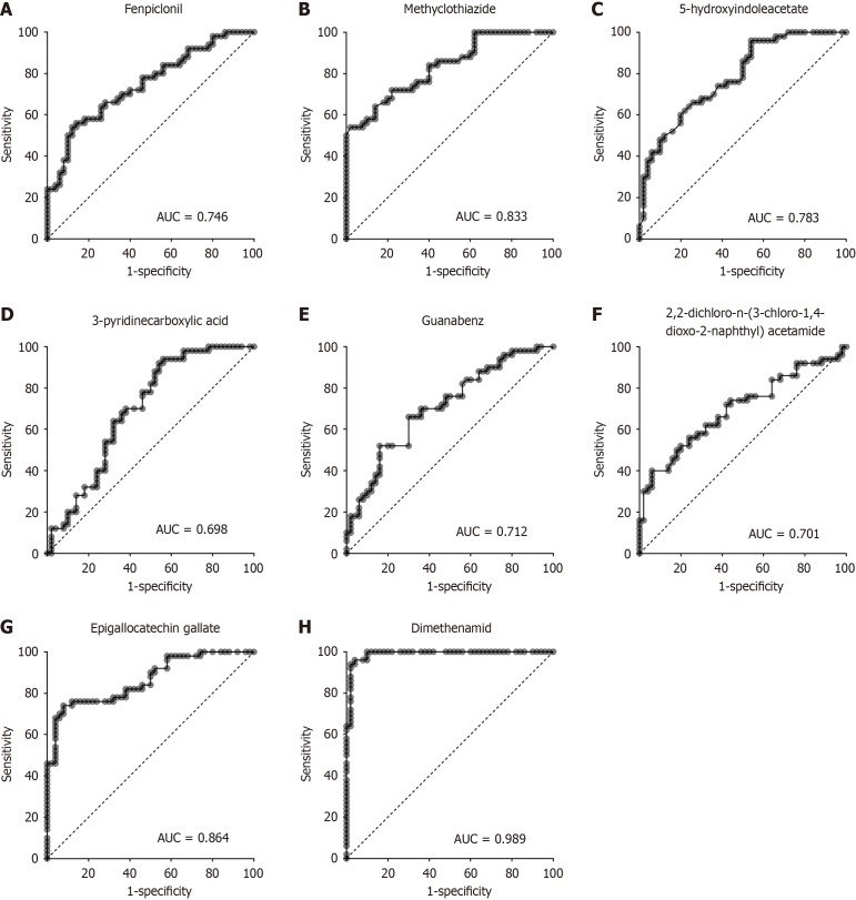
Results: Our findings revealed a significant alteration in the metabolic profile, characterized by 111 up-regulated and 55 down-regulated metabolites in patients with GC compared to healthy controls. Among the top 10 up-regulated metabolites, the serum concentrations of eight metabolites including fenpiclonil, methyclothiazide, 5-hydroxyindoleacetate, 3-pyridinecarboxylic acid, guanabenz, 2,2-dichloro-N-(3-chloro-1,4-dioxo-2-naphthyl) acetamide, epigallocatechin gallate, and dimethenamid, were further validated to be significantly elevated in a cohort of 50 patients diagnosed with GC compared to 50 healthy control subjects (P < 0.001). With the exception of 3-pyridinecarboxylic acid, the area under the curve values for the remaining seven metabolites exceeded 0.7, suggesting that these metabolites possess substantial diagnostic potential for distinguishing patients with GC from healthy individuals. Additionally, the serum concentrations of methyclothiazide (r = 0.615, P < 0.001), epigallocatechin gallate (r = 0.482, P = 0.004), and dimethenamid (r = 0.634, P < 0.001) demonstrated a significant positive correlation with the T stage in patients with GC. The serum concentrations of methyclothiazide (r = 0.438, P = 0.008) and epigallocatechin gallate (r = 0.383, P = 0.023) exhibited a significant positive correlation with the N stage in these patients.

Conclusion: This study provides insights into the metabolic alterations associated with GC, and the identification of these biomarkers may enhance the clinical detection and management of the disease.

Abstract Image

Abstract Image

Abstract Image

血清代谢特征作为胃癌新生物标志物的非靶向代谢组学分析。
背景:近年来,代谢组学已成为发现生物标志物的新平台。然而,与胃癌(GC)相关的代谢谱仍未得到充分探讨。目的:研究胃癌患者与健康对照者代谢物的差异,目的是通过非靶向代谢组学方法确定胃癌诊断的潜在血清生物标志物。方法:对6例胃癌患者和6例健康对照者的血清进行非靶向代谢分析。随后,在50名胃癌患者和50名健康对照者的扩大队列血清样本中进一步验证了鉴定出的差异代谢物。利用受试者工作特征曲线分析来评估鉴别GC患者与健康对照的差异代谢物的鉴别能力。血清差异代谢物水平与疾病严重程度之间的关系,由肿瘤-淋巴结-转移分期系统确定,使用Spearman等级相关系数进行评估。结果:我们的研究结果显示,与健康对照组相比,GC患者的代谢谱发生了显著变化,其特征是111种代谢产物上调,55种代谢产物下调。在前10位上调代谢物中,50例GC患者血清中芬匹克隆尼、甲基噻嗪、5-羟基吲哚乙酸酯、3-吡啶羧酸、胍那苯、2,2-二氯-n -(3-氯-1,4-二氧-2-萘基)乙酰胺、表没食子儿茶素没食子酸酯、二甲甲基胺等8种代谢物的浓度与50例健康对照相比显著升高(P < 0.001)。除3-吡啶羧酸外,其余7种代谢物的曲线下面积均超过0.7,表明这些代谢物在区分胃癌患者和健康人方面具有很大的诊断潜力。血清中甲基噻嗪(r = 0.615, P < 0.001)、表没食子儿茶素没食子酸酯(r = 0.482, P = 0.004)、甲基苯丙胺(r = 0.634, P < 0.001)浓度与胃癌患者T分期呈显著正相关。血清甲基噻嗪(r = 0.438, P = 0.008)和没食子儿茶素没食子酸酯(r = 0.383, P = 0.023)浓度与N分期呈显著正相关。结论:本研究提供了与胃癌相关的代谢改变的见解,这些生物标志物的鉴定可能会加强对该疾病的临床检测和管理。
本文章由计算机程序翻译,如有差异,请以英文原文为准。
求助全文
约1分钟内获得全文 求助全文
来源期刊
自引率
0.00%
发文量
585
期刊介绍: The WJCO is a high-quality, peer reviewed, open-access journal. The primary task of WJCO is to rapidly publish high-quality original articles, reviews, editorials, and case reports in the field of oncology. In order to promote productive academic communication, the peer review process for the WJCO is transparent; to this end, all published manuscripts are accompanied by the anonymized reviewers’ comments as well as the authors’ responses. The primary aims of the WJCO are to improve diagnostic, therapeutic and preventive modalities and the skills of clinicians and to guide clinical practice in oncology. Scope: Art of Oncology, Biology of Neoplasia, Breast Cancer, Cancer Prevention and Control, Cancer-Related Complications, Diagnosis in Oncology, Gastrointestinal Cancer, Genetic Testing For Cancer, Gynecologic Cancer, Head and Neck Cancer, Hematologic Malignancy, Lung Cancer, Melanoma, Molecular Oncology, Neurooncology, Palliative and Supportive Care, Pediatric Oncology, Surgical Oncology, Translational Oncology, and Urologic Oncology.
×
引用
GB/T 7714-2015
复制
MLA
复制
APA
复制
导出至
BibTeX EndNote RefMan NoteFirst NoteExpress
×
提示
您的信息不完整,为了账户安全,请先补充。
现在去补充
×
提示
您因"违规操作"
具体请查看互助需知
我知道了
×
提示
确定
请完成安全验证×
copy
已复制链接
快去分享给好友吧!
我知道了
右上角分享
点击右上角分享
0
联系我们:info@booksci.cn Book学术提供免费学术资源搜索服务,方便国内外学者检索中英文文献。致力于提供最便捷和优质的服务体验。 Copyright © 2023 布克学术 All rights reserved.
京ICP备2023020795号-1
ghs 京公网安备 11010802042870号
Book学术文献互助
Book学术文献互助群
群 号:604180095
Book学术官方微信