Association Between Dysmenorrhea and Endometrial Cancer: A Mendelian Randomization Study.

IF 3 3区 医学 Q2 CLINICAL NEUROLOGY
Pain Research & Management Pub Date : 2025-07-23 eCollection Date: 2025-01-01 DOI:10.1155/prm/4194108
Qiuyuan Huang, Xizhen Huang, Liyuan Huang, Yanglin Wang, Suyu Li, Xiangqin Zheng
{"title":"Association Between Dysmenorrhea and Endometrial Cancer: A Mendelian Randomization Study.","authors":"Qiuyuan Huang, Xizhen Huang, Liyuan Huang, Yanglin Wang, Suyu Li, Xiangqin Zheng","doi":"10.1155/prm/4194108","DOIUrl":null,"url":null,"abstract":"<p><p><b>Background:</b> Dysmenorrhea is a common gynecological symptom among reproductive-aged women, associated with substantial pain and decreased quality of life. Previous studies have suggested that inflammatory and hormonal fluctuations linked to dysmenorrhea may influence endometrial cancer (EC) risk though causality remains uncertain. This study aimed to investigate potential causal relationships between dysmenorrhea (including pain severity, analgesic use, endometriosis, and related pelvic pain) and EC risk using a Mendelian randomization (MR) approach. <b>Methods:</b> A two-sample MR analysis was conducted using genome-wide association study (GWAS) data, selecting single nucleotide polymorphisms (SNPs) significantly associated with dysmenorrhea to assess EC risk. Primary analysis was performed with the inverse-variance weighted (IVW) method, while weighted median and MR-Egger analyses were conducted to enhance robustness. <b>Results:</b> The IVW analysis showed a significant inverse association between dysmenorrhea and EC risk (OR = 0.883; 95% CI: 0.794-0.983; and <i>p</i>=0.023), which remained significant after adjusting for confounders (OR = 0.868; 95% CI: 0.775-0.971; and <i>p</i>=0.0136). Sensitivity analyses supported this protective association. Other factors, including pain severity, analgesic use, endometriosis, and related pelvic pain, showed no significant association with EC. <b>Conclusion:</b> This study indicates a potential inverse relationship between dysmenorrhea and EC risk. These findings provide novel causal evidence for understanding complex associations in female reproductive health, underscoring the need for further research on dysmenorrhea in EC prevention.</p>","PeriodicalId":19913,"journal":{"name":"Pain Research & Management","volume":"2025 ","pages":"4194108"},"PeriodicalIF":3.0000,"publicationDate":"2025-07-23","publicationTypes":"Journal Article","fieldsOfStudy":null,"isOpenAccess":false,"openAccessPdf":"https://www.ncbi.nlm.nih.gov/pmc/articles/PMC12310317/pdf/","citationCount":"0","resultStr":null,"platform":"Semanticscholar","paperid":null,"PeriodicalName":"Pain Research & Management","FirstCategoryId":"3","ListUrlMain":"https://doi.org/10.1155/prm/4194108","RegionNum":3,"RegionCategory":"医学","ArticlePicture":[],"TitleCN":null,"AbstractTextCN":null,"PMCID":null,"EPubDate":"2025/1/1 0:00:00","PubModel":"eCollection","JCR":"Q2","JCRName":"CLINICAL NEUROLOGY","Score":null,"Total":0}
引用次数: 0

Abstract

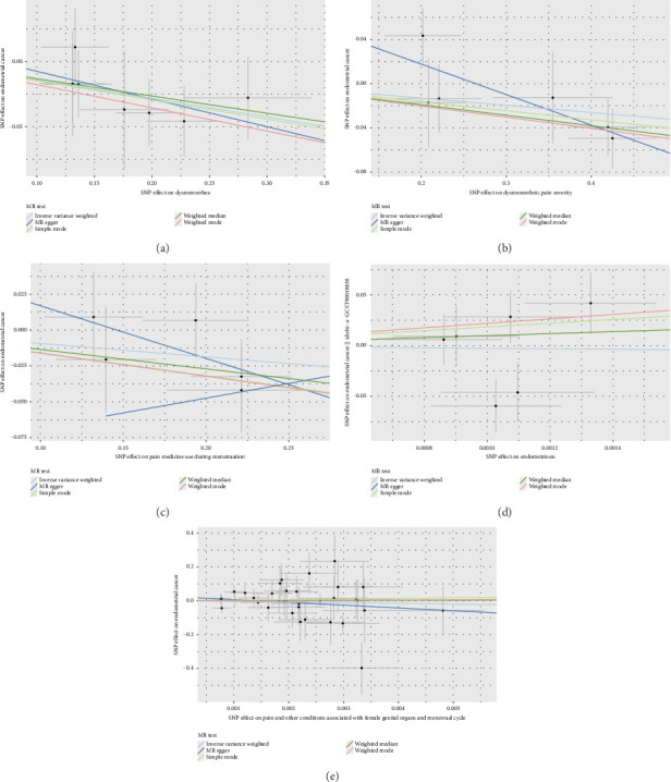
Background: Dysmenorrhea is a common gynecological symptom among reproductive-aged women, associated with substantial pain and decreased quality of life. Previous studies have suggested that inflammatory and hormonal fluctuations linked to dysmenorrhea may influence endometrial cancer (EC) risk though causality remains uncertain. This study aimed to investigate potential causal relationships between dysmenorrhea (including pain severity, analgesic use, endometriosis, and related pelvic pain) and EC risk using a Mendelian randomization (MR) approach. Methods: A two-sample MR analysis was conducted using genome-wide association study (GWAS) data, selecting single nucleotide polymorphisms (SNPs) significantly associated with dysmenorrhea to assess EC risk. Primary analysis was performed with the inverse-variance weighted (IVW) method, while weighted median and MR-Egger analyses were conducted to enhance robustness. Results: The IVW analysis showed a significant inverse association between dysmenorrhea and EC risk (OR = 0.883; 95% CI: 0.794-0.983; and p=0.023), which remained significant after adjusting for confounders (OR = 0.868; 95% CI: 0.775-0.971; and p=0.0136). Sensitivity analyses supported this protective association. Other factors, including pain severity, analgesic use, endometriosis, and related pelvic pain, showed no significant association with EC. Conclusion: This study indicates a potential inverse relationship between dysmenorrhea and EC risk. These findings provide novel causal evidence for understanding complex associations in female reproductive health, underscoring the need for further research on dysmenorrhea in EC prevention.

Abstract Image

Abstract Image

Abstract Image

痛经与子宫内膜癌的关系:孟德尔随机研究。
背景:痛经是育龄妇女常见的妇科症状,与剧烈疼痛和生活质量下降有关。先前的研究表明,与痛经相关的炎症和激素波动可能影响子宫内膜癌(EC)的风险,但因果关系仍不确定。本研究旨在通过孟德尔随机化(MR)方法探讨痛经(包括疼痛严重程度、止痛药使用、子宫内膜异位症和相关盆腔疼痛)与EC风险之间的潜在因果关系。方法:使用全基因组关联研究(GWAS)数据进行两样本MR分析,选择与痛经显著相关的单核苷酸多态性(snp)来评估EC风险。采用反方差加权(IVW)方法进行初步分析,同时进行加权中位数和MR-Egger分析以增强稳健性。结果:IVW分析显示痛经与EC风险呈显著负相关(OR = 0.883;95% ci: 0.794-0.983;p=0.023),调整混杂因素后仍然显著(OR = 0.868;95% ci: 0.775-0.971;和p = 0.0136)。敏感性分析支持这种保护性关联。其他因素,包括疼痛严重程度、镇痛药的使用、子宫内膜异位症和相关的盆腔疼痛,与EC没有明显的关联。结论:本研究提示痛经与EC风险之间可能存在负相关关系。这些发现为理解女性生殖健康的复杂关联提供了新的因果证据,强调了痛经在EC预防中的进一步研究的必要性。
本文章由计算机程序翻译,如有差异,请以英文原文为准。
求助全文
约1分钟内获得全文 求助全文
来源期刊
Pain Research & Management
Pain Research & Management CLINICAL NEUROLOGY-
CiteScore
5.30
自引率
0.00%
发文量
109
审稿时长
>12 weeks
期刊介绍: Pain Research and Management is a peer-reviewed, Open Access journal that publishes original research articles, review articles, and clinical studies in all areas of pain management. The most recent Impact Factor for Pain Research and Management is 1.685 according to the 2015 Journal Citation Reports released by Thomson Reuters in 2016.
×
引用
GB/T 7714-2015
复制
MLA
复制
APA
复制
导出至
BibTeX EndNote RefMan NoteFirst NoteExpress
×
提示
您的信息不完整,为了账户安全,请先补充。
现在去补充
×
提示
您因"违规操作"
具体请查看互助需知
我知道了
×
提示
确定
请完成安全验证×
copy
已复制链接
快去分享给好友吧!
我知道了
右上角分享
点击右上角分享
0
联系我们:info@booksci.cn Book学术提供免费学术资源搜索服务,方便国内外学者检索中英文文献。致力于提供最便捷和优质的服务体验。 Copyright © 2023 布克学术 All rights reserved.
京ICP备2023020795号-1
ghs 京公网安备 11010802042870号
Book学术文献互助
Book学术文献互助群
群 号:604180095
Book学术官方微信