Associations of the Neutrophil-to-Lymphocyte Ratio(NLR), Triglyceride-Glucose Index (TyG), and TyG-derived indices with vitality decline in older adults in China: a study within the Integrated Care for Older People (ICOPE) framework.

IF 3.9 2区 医学 Q2 BIOCHEMISTRY & MOLECULAR BIOLOGY
Jiaxiu Zhao, Xueying Ji, Yixin Chen, Jiaofeng Wang, Jie Chen, Yiqin Huang, Zhijun Bao
{"title":"Associations of the Neutrophil-to-Lymphocyte Ratio(NLR), Triglyceride-Glucose Index (TyG), and TyG-derived indices with vitality decline in older adults in China: a study within the Integrated Care for Older People (ICOPE) framework.","authors":"Jiaxiu Zhao, Xueying Ji, Yixin Chen, Jiaofeng Wang, Jie Chen, Yiqin Huang, Zhijun Bao","doi":"10.1186/s12944-025-02671-x","DOIUrl":null,"url":null,"abstract":"<p><strong>Background/objectives: </strong>Aging populations have led to numerous health challenges. The World Health Organization (WHO) proposed \"Healthy Aging\" to promote elderly health by optimizing Intrinsic Capacity (IC) with vitality as a core component of metabolic homeostasis. The relationships between vitality decline and inflammatory-metabolic indicators (the NLR and TyG index) remain to be investigated.</p><p><strong>Methods: </strong>This study recruited 986 community-dwelling adults ≥ 60 years old at the Beixingjing Street Community from March 25, 2024, to June 17, 2024, in Shanghai, China. Participants underwent comprehensive face‒to-face assessments with IC evaluations conducted according to the Integrated Care for Older People (ICOPE) guidelines. Vitality was evaluated using the Mini Nutritional Assessment-Short Form (MNA-SF). The study population was divided into two groups based on vitality decline (scores < 12). Multivariable logistic regression was used to analyze associations between vitality decline and other IC domains as well as between vitality decline and inflammatory (NLR) and metabolic indices (TyG, TyG-WC, TyG-BMI, and TyG-WHtR). Three logistic regression models constructed with progressive adjustments were used to assess associations between indices (NLR, TyG, TyG-WC, TyG-BMI, and TyG-WHtR) and vitality decline. Restricted cubic spline (RCS) analyses explored potential nonlinear relationships and threshold effects. Receiver Operating Characteristic (ROC) curve analysis was used to assess the discriminative capacity of different models.</p><p><strong>Results: </strong>The prevalence of vitality decline was 16.43%. Vitality decline was strongly associated with psychological and locomotor capacity decline in fully adjusted models (p < 0.05). An elevated NLR showed a significant association with greater vitality decline (OR = 1.233, p = 0.045). Participants in the highest NLR quartile (Q4) demonstrated significantly greater odds of vitality decline compared to those in the lowest quartile (Q1) (OR = 1.886, p = 0.043). Conversely, unit increases in TyG-derived indices demonstrated protective effects as follows: TyG-WC (OR = 0.988, p < 0.001), TyG-BMI (OR = 0.952, p < 0.001) and TyG-WHtR (OR = 0.120, p < 0.001). In contrast, TyG alone did not reach statistical significance (OR = 0.622, p = 0.078). The highest-quartile (Q4) participants presented a significantly lower risk of vitality decline than the lowest-quartile (Q1) participants as follows: TyG-WC (OR = 0.104, p < 0.001), TyG-BMI (OR = 0.052, p < 0.001), and TyG-WHtR (OR = 0.070, p < 0.001). Interaction terms between NLR, TyG and its indicators were analyzed in separate models and across quartiles. These terms did not show consistent significant associations with vitality decline. RCS analysis with vitality decline as the dependent variable identified threshold effects at TyG-WC = 794.358, TyG-BMI = 209.179, and TyG-WHtR = 4.476. The analysis revealed significant positive linear relationships between NLR and vitality decline, negative linear relationships between TyG and vitality decline, and negative nonlinear relationships between TyG-derived indices and vitality decline. Sensitivity analyses using MNA-SF score as a continuous variable confirmed similar relationship patterns, with NLR showing a significant linear negative association with MNA-SF score and TyG showing a linear positive association. The TyG-derived indices exhibited significant positive nonlinear relationships with MNA-SF scores, with threshold effects emerging at TyG-WC = 666.818, TyG-BMI = 210.997, and TyG-WHtR = 4.405. Effect sizes below the inflection points were substantially larger than those above thresholds, suggesting more pronounced effects at lower values. Among all biomarkers examined, NLR demonstrated the strongest association with vitality decline (AUC = 0.873). Subgroup analyses revealed significant effect modifications exclusively for TyG-derived indices but not for NLR or TyG alone.</p><p><strong>Conclusions: </strong>This study revealed a high prevalence of vitality decline among older Chinese adults, which was strongly associated with a decrease in psychological and locomotor capacity. NLR showed a negative linear correlation with vitality, whereas TyG-derived parameters showed nonlinear positive associations with a plateau effect. NLR showed optimal discriminative capacity among all indicators for identifying vitality decline.</p>","PeriodicalId":18073,"journal":{"name":"Lipids in Health and Disease","volume":"24 1","pages":"256"},"PeriodicalIF":3.9000,"publicationDate":"2025-07-30","publicationTypes":"Journal Article","fieldsOfStudy":null,"isOpenAccess":false,"openAccessPdf":"https://www.ncbi.nlm.nih.gov/pmc/articles/PMC12312603/pdf/","citationCount":"0","resultStr":null,"platform":"Semanticscholar","paperid":null,"PeriodicalName":"Lipids in Health and Disease","FirstCategoryId":"3","ListUrlMain":"https://doi.org/10.1186/s12944-025-02671-x","RegionNum":2,"RegionCategory":"医学","ArticlePicture":[],"TitleCN":null,"AbstractTextCN":null,"PMCID":null,"EPubDate":"","PubModel":"","JCR":"Q2","JCRName":"BIOCHEMISTRY & MOLECULAR BIOLOGY","Score":null,"Total":0}
引用次数: 0

Abstract

Background/objectives: Aging populations have led to numerous health challenges. The World Health Organization (WHO) proposed "Healthy Aging" to promote elderly health by optimizing Intrinsic Capacity (IC) with vitality as a core component of metabolic homeostasis. The relationships between vitality decline and inflammatory-metabolic indicators (the NLR and TyG index) remain to be investigated.

Methods: This study recruited 986 community-dwelling adults ≥ 60 years old at the Beixingjing Street Community from March 25, 2024, to June 17, 2024, in Shanghai, China. Participants underwent comprehensive face‒to-face assessments with IC evaluations conducted according to the Integrated Care for Older People (ICOPE) guidelines. Vitality was evaluated using the Mini Nutritional Assessment-Short Form (MNA-SF). The study population was divided into two groups based on vitality decline (scores < 12). Multivariable logistic regression was used to analyze associations between vitality decline and other IC domains as well as between vitality decline and inflammatory (NLR) and metabolic indices (TyG, TyG-WC, TyG-BMI, and TyG-WHtR). Three logistic regression models constructed with progressive adjustments were used to assess associations between indices (NLR, TyG, TyG-WC, TyG-BMI, and TyG-WHtR) and vitality decline. Restricted cubic spline (RCS) analyses explored potential nonlinear relationships and threshold effects. Receiver Operating Characteristic (ROC) curve analysis was used to assess the discriminative capacity of different models.

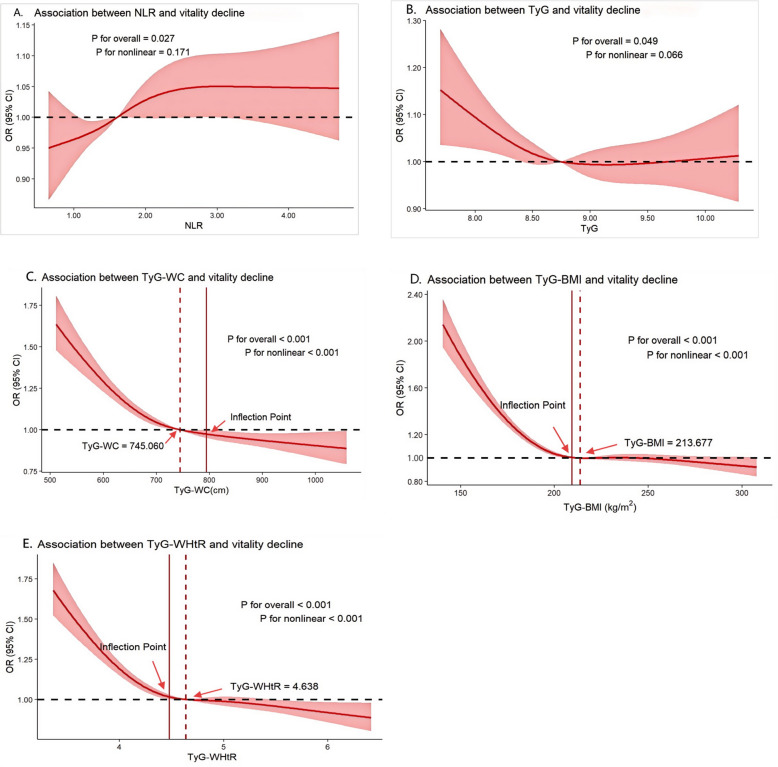
Results: The prevalence of vitality decline was 16.43%. Vitality decline was strongly associated with psychological and locomotor capacity decline in fully adjusted models (p < 0.05). An elevated NLR showed a significant association with greater vitality decline (OR = 1.233, p = 0.045). Participants in the highest NLR quartile (Q4) demonstrated significantly greater odds of vitality decline compared to those in the lowest quartile (Q1) (OR = 1.886, p = 0.043). Conversely, unit increases in TyG-derived indices demonstrated protective effects as follows: TyG-WC (OR = 0.988, p < 0.001), TyG-BMI (OR = 0.952, p < 0.001) and TyG-WHtR (OR = 0.120, p < 0.001). In contrast, TyG alone did not reach statistical significance (OR = 0.622, p = 0.078). The highest-quartile (Q4) participants presented a significantly lower risk of vitality decline than the lowest-quartile (Q1) participants as follows: TyG-WC (OR = 0.104, p < 0.001), TyG-BMI (OR = 0.052, p < 0.001), and TyG-WHtR (OR = 0.070, p < 0.001). Interaction terms between NLR, TyG and its indicators were analyzed in separate models and across quartiles. These terms did not show consistent significant associations with vitality decline. RCS analysis with vitality decline as the dependent variable identified threshold effects at TyG-WC = 794.358, TyG-BMI = 209.179, and TyG-WHtR = 4.476. The analysis revealed significant positive linear relationships between NLR and vitality decline, negative linear relationships between TyG and vitality decline, and negative nonlinear relationships between TyG-derived indices and vitality decline. Sensitivity analyses using MNA-SF score as a continuous variable confirmed similar relationship patterns, with NLR showing a significant linear negative association with MNA-SF score and TyG showing a linear positive association. The TyG-derived indices exhibited significant positive nonlinear relationships with MNA-SF scores, with threshold effects emerging at TyG-WC = 666.818, TyG-BMI = 210.997, and TyG-WHtR = 4.405. Effect sizes below the inflection points were substantially larger than those above thresholds, suggesting more pronounced effects at lower values. Among all biomarkers examined, NLR demonstrated the strongest association with vitality decline (AUC = 0.873). Subgroup analyses revealed significant effect modifications exclusively for TyG-derived indices but not for NLR or TyG alone.

Conclusions: This study revealed a high prevalence of vitality decline among older Chinese adults, which was strongly associated with a decrease in psychological and locomotor capacity. NLR showed a negative linear correlation with vitality, whereas TyG-derived parameters showed nonlinear positive associations with a plateau effect. NLR showed optimal discriminative capacity among all indicators for identifying vitality decline.

Abstract Image

Abstract Image

Abstract Image

中性粒细胞与淋巴细胞比率(NLR)、甘油三酯-葡萄糖指数(TyG)和TyG衍生指数与中国老年人活力下降的关系:一项在老年人综合护理(ICOPE)框架内的研究。
背景/目标:人口老龄化导致了许多健康挑战。世界卫生组织(WHO)提出了“健康老龄化”(Healthy Aging),通过优化内在能力(Intrinsic Capacity, IC)来促进老年人健康,活力是代谢稳态的核心组成部分。活力下降与炎症代谢指标(NLR和TyG指数)之间的关系仍有待研究。方法:本研究于2024年3月25日至2024年6月17日在中国上海北京星京街社区招募986名≥60岁的社区居住成年人。参与者根据老年人综合护理(ICOPE)指南进行了全面的面对面评估。活力采用迷你营养评估简表(MNA-SF)进行评估。根据活力下降评分将研究人群分为两组。结果:活力下降患病率为16.43%。活力下降与心理和运动能力下降密切相关(p结论:本研究揭示了中国老年人活力下降的高发性,这与心理和运动能力下降密切相关。NLR与活力呈负线性相关,而tyg衍生参数与平台效应呈非线性正相关。在所有指标中,NLR的判别能力最优。
本文章由计算机程序翻译,如有差异,请以英文原文为准。
求助全文
约1分钟内获得全文 求助全文
来源期刊
Lipids in Health and Disease
Lipids in Health and Disease 生物-生化与分子生物学
CiteScore
7.70
自引率
2.20%
发文量
122
审稿时长
3-8 weeks
期刊介绍: Lipids in Health and Disease is an open access, peer-reviewed, journal that publishes articles on all aspects of lipids: their biochemistry, pharmacology, toxicology, role in health and disease, and the synthesis of new lipid compounds. Lipids in Health and Disease is aimed at all scientists, health professionals and physicians interested in the area of lipids. Lipids are defined here in their broadest sense, to include: cholesterol, essential fatty acids, saturated fatty acids, phospholipids, inositol lipids, second messenger lipids, enzymes and synthetic machinery that is involved in the metabolism of various lipids in the cells and tissues, and also various aspects of lipid transport, etc. In addition, the journal also publishes research that investigates and defines the role of lipids in various physiological processes, pathology and disease. In particular, the journal aims to bridge the gap between the bench and the clinic by publishing articles that are particularly relevant to human diseases and the role of lipids in the management of various diseases.
×
引用
GB/T 7714-2015
复制
MLA
复制
APA
复制
导出至
BibTeX EndNote RefMan NoteFirst NoteExpress
×
提示
您的信息不完整,为了账户安全,请先补充。
现在去补充
×
提示
您因"违规操作"
具体请查看互助需知
我知道了
×
提示
确定
请完成安全验证×
copy
已复制链接
快去分享给好友吧!
我知道了
右上角分享
点击右上角分享
0
联系我们:info@booksci.cn Book学术提供免费学术资源搜索服务,方便国内外学者检索中英文文献。致力于提供最便捷和优质的服务体验。 Copyright © 2023 布克学术 All rights reserved.
京ICP备2023020795号-1
ghs 京公网安备 11010802042870号
Book学术文献互助
Book学术文献互助群
群 号:604180095
Book学术官方微信