Translation, Cross-cultural Adaptation and Validation of Hindi Version of Polycystic Ovary Syndrome-quality of Life Scale (PCOSQOL-I) - A Cross-sectional study.

IF 1.1 Q2 Medicine
Journal of Human Reproductive Sciences Pub Date : 2025-04-01 Epub Date: 2025-06-28 DOI:10.4103/jhrs.jhrs_84_25
Reeta Mahey, Sujata Satapathy, Partha Haldar, Supriya Kumari, Monica Gupta, Aarthi K Jayraj, Archana Kumari, Rohitha Cheluvaraju, Rekha Ramappa, Ayushi Negi
{"title":"Translation, Cross-cultural Adaptation and Validation of Hindi Version of Polycystic Ovary Syndrome-quality of Life Scale (PCOSQOL-I) - A Cross-sectional study.","authors":"Reeta Mahey, Sujata Satapathy, Partha Haldar, Supriya Kumari, Monica Gupta, Aarthi K Jayraj, Archana Kumari, Rohitha Cheluvaraju, Rekha Ramappa, Ayushi Negi","doi":"10.4103/jhrs.jhrs_84_25","DOIUrl":null,"url":null,"abstract":"<p><strong>Background: </strong>With specific symptomatology and clinical presentation, the validity of standard quality of life assessment scales is questionable for polycystic ovary syndrome (PCOS) women.</p><p><strong>Aim: </strong>The aim of the study was to translate and validate the Hindi version of the PCOS-related Quality of Life (PCOSQOL) scale into culturally adaptable, screening tool for Indian women with PCOS.</p><p><strong>Settings and design: </strong>A cross-sectional study was conducted in the outpatient department of a tertiary care hospital.</p><p><strong>Materials and methods: </strong>After standard translation and linguistic validation, modifications were done as per culturally acceptable items. After the item content validity index and scale content validity ratio testing, the preliminary tool was prepared. After pilot testing and minor modifications, the final PCOSQOL for Indian Women (PCOSQOL-I) tool was applied to 287 PCOS women to check reliability, exploratory factor analysis, uniqueness, and factor loading.</p><p><strong>Statistical analysis used: </strong>R (version 4.3.0 [2023-04-21]).</p><p><strong>Results: </strong>The CVI of the 27-item Hindi tool was 0.73, 0.83, 0.70, and 0.72, respectively, for relevance, clarity, appropriateness, and necessity, thus indicating recommended content validity. A three-factor solution emerged through exploratory factor analysis with proportional variance for factors 1 (impact of PCOS), 2 (hirsutism), and 3 (infertility) as 0.22, 0.12, and 0.10, respectively. The cumulative variance was 0.22, 0.35, and 0.44, respectively. There was high internal consistency (Cronbach Alpha 0.89). On factor loadings, and dropping items with value <0.3, final 25-item PCOSQOL-I scale was developed where each item scored 0-4 with higher score indicating better quality of life.</p><p><strong>Conclusion: </strong>The PCOSQOL-I scale has good reliability and may be used to screen the quality of life for PCOS women. Further testing of the tool is warranted to check its competency to differentiate among PCOS women with different phenotypes.</p>","PeriodicalId":15975,"journal":{"name":"Journal of Human Reproductive Sciences","volume":"18 2","pages":"96-104"},"PeriodicalIF":1.1000,"publicationDate":"2025-04-01","publicationTypes":"Journal Article","fieldsOfStudy":null,"isOpenAccess":false,"openAccessPdf":"https://www.ncbi.nlm.nih.gov/pmc/articles/PMC12306719/pdf/","citationCount":"0","resultStr":null,"platform":"Semanticscholar","paperid":null,"PeriodicalName":"Journal of Human Reproductive Sciences","FirstCategoryId":"1085","ListUrlMain":"https://doi.org/10.4103/jhrs.jhrs_84_25","RegionNum":0,"RegionCategory":null,"ArticlePicture":[],"TitleCN":null,"AbstractTextCN":null,"PMCID":null,"EPubDate":"2025/6/28 0:00:00","PubModel":"Epub","JCR":"Q2","JCRName":"Medicine","Score":null,"Total":0}
引用次数: 0

Abstract

Background: With specific symptomatology and clinical presentation, the validity of standard quality of life assessment scales is questionable for polycystic ovary syndrome (PCOS) women.

Aim: The aim of the study was to translate and validate the Hindi version of the PCOS-related Quality of Life (PCOSQOL) scale into culturally adaptable, screening tool for Indian women with PCOS.

Settings and design: A cross-sectional study was conducted in the outpatient department of a tertiary care hospital.

Materials and methods: After standard translation and linguistic validation, modifications were done as per culturally acceptable items. After the item content validity index and scale content validity ratio testing, the preliminary tool was prepared. After pilot testing and minor modifications, the final PCOSQOL for Indian Women (PCOSQOL-I) tool was applied to 287 PCOS women to check reliability, exploratory factor analysis, uniqueness, and factor loading.

Statistical analysis used: R (version 4.3.0 [2023-04-21]).

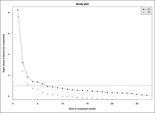
Results: The CVI of the 27-item Hindi tool was 0.73, 0.83, 0.70, and 0.72, respectively, for relevance, clarity, appropriateness, and necessity, thus indicating recommended content validity. A three-factor solution emerged through exploratory factor analysis with proportional variance for factors 1 (impact of PCOS), 2 (hirsutism), and 3 (infertility) as 0.22, 0.12, and 0.10, respectively. The cumulative variance was 0.22, 0.35, and 0.44, respectively. There was high internal consistency (Cronbach Alpha 0.89). On factor loadings, and dropping items with value <0.3, final 25-item PCOSQOL-I scale was developed where each item scored 0-4 with higher score indicating better quality of life.

Conclusion: The PCOSQOL-I scale has good reliability and may be used to screen the quality of life for PCOS women. Further testing of the tool is warranted to check its competency to differentiate among PCOS women with different phenotypes.

Abstract Image

Abstract Image

Abstract Image

印度版多囊卵巢综合征生活质量量表(PCOSQOL-I)的翻译、跨文化适应与验证——一项横断面研究
背景:由于多囊卵巢综合征(PCOS)患者的特殊症状和临床表现,标准生活质量评估量表的有效性值得怀疑。目的:本研究的目的是翻译和验证印地语版本的PCOS相关生活质量(PCOSQOL)量表,使其成为适应文化的筛查工具,用于印度PCOS妇女。背景和设计:横断面研究在一家三级保健医院的门诊部进行。材料和方法:经过标准翻译和语言验证后,根据文化上可接受的项目进行修改。经项目内容效度指标和量表内容效度比检验后,编制初步工具。经试点测试和少量修改后,将最终的印度妇女PCOSQOL (PCOSQOL- i)工具应用于287名PCOS妇女,检验信度、探索性因子分析、独特性和因子负荷。统计分析使用:R (version 4.3.0[2023-04-21])。结果:27项印地语工具的相关性、清晰度、适当性和必要性的CVI分别为0.73、0.83、0.70和0.72,表明推荐的内容效度。探索性因子分析得出三因素解决方案,因子1 (PCOS的影响)、2(多毛症)和3(不育)的比例方差分别为0.22、0.12和0.10。累积方差分别为0.22、0.35、0.44。内部一致性高(Cronbach Alpha 0.89)。结论:pcosqol - 1量表具有良好的信度,可用于PCOS妇女生活质量的筛选。该工具的进一步测试是必要的,以检查其能力区分不同表型的多囊卵巢综合征妇女。
本文章由计算机程序翻译,如有差异,请以英文原文为准。
求助全文
约1分钟内获得全文 求助全文
来源期刊
Journal of Human Reproductive Sciences
Journal of Human Reproductive Sciences Medicine-Reproductive Medicine
CiteScore
2.60
自引率
0.00%
发文量
50
审稿时长
23 weeks
期刊介绍: The Journal of Human Reproductive Sciences (JHRS) (ISSN:0974-1208) a Quarterly peer-reviewed international journal is being launched in January 2008 under the auspices of Indian Society of Assisted Reproduction. The journal will cover all aspects human reproduction including Andrology, Assisted conception, Endocrinology, Physiology and Pathology, Implantation, Preimplantation Diagnosis, Preimplantation Genetic Diagnosis, Embryology as well as Ethical, Legal and Social issues. The journal will publish peer-reviewed original research papers, case reports, systematic reviews, meta-analysis, and debates.
×
引用
GB/T 7714-2015
复制
MLA
复制
APA
复制
导出至
BibTeX EndNote RefMan NoteFirst NoteExpress
×
提示
您的信息不完整,为了账户安全,请先补充。
现在去补充
×
提示
您因"违规操作"
具体请查看互助需知
我知道了
×
提示
确定
请完成安全验证×
copy
已复制链接
快去分享给好友吧!
我知道了
右上角分享
点击右上角分享
0
联系我们:info@booksci.cn Book学术提供免费学术资源搜索服务,方便国内外学者检索中英文文献。致力于提供最便捷和优质的服务体验。 Copyright © 2023 布克学术 All rights reserved.
京ICP备2023020795号-1
ghs 京公网安备 11010802042870号
Book学术文献互助
Book学术文献互助群
群 号:604180095
Book学术官方微信