Retinal parameter analysis and diagnostic potentail exploration in familial exudative vitreoretinopathy using ultra-widefield fundus photography.

IF 2.4 Q2 OPHTHALMOLOGY
Jiayu Li, Shaochi Zhang, Xiaolong Qi, Chanjuan Wang, Wen Zhang, Rui Li, Caihong Sun, Keyan Liu, Xiaolu Li, Wenjuan Zhuang
{"title":"Retinal parameter analysis and diagnostic potentail exploration in familial exudative vitreoretinopathy using ultra-widefield fundus photography.","authors":"Jiayu Li, Shaochi Zhang, Xiaolong Qi, Chanjuan Wang, Wen Zhang, Rui Li, Caihong Sun, Keyan Liu, Xiaolu Li, Wenjuan Zhuang","doi":"10.1186/s40942-025-00716-y","DOIUrl":null,"url":null,"abstract":"<p><strong>Background: </strong>Familial Exudative Vitreoretinopathy (FEVR) is a monogenic disorder causing retinal vascular impairment, often underdiagnosed due to its variable presentation and reliance on invasive methods like fundus fluorescein angiography (FFA). Through the utilization of non-invasive ultra-widefield fundus photography (UWFFP), this research explored both the diagnostic potential of integrated retinal parameters for the detection of FEVR, and their characteristic changes during the early stage progression.</p><p><strong>Methods: </strong>Retinal parameters were systematically extracted and quantified from UWFFP of 114 FEVR patients and 114 matched controls using the EVision AI cloud platform. Comparative statistical analyses were performed to identify significant intergroup differences between FEVR and control cohorts, and assess intra-group variations among FEVR subgroups. Based on parameters that showed significant differences between the FEVR group and the control group and had an impact on the FEVR group, a diagnostic model was constructed. Receiver operating characteristic (ROC) curves were plotted to determine the diagnostic potential of these parameters. In addition, subgroup analysis within the FEVR group was conducted to clarify the relationship between retinal parameters and disease staging.</p><p><strong>Results: </strong>Significant differences were observed in 25 retinal parameters between the FEVR group and the control group, with the horizontal cup-to-disc ratio, vertical cup-to-disc ratio, optic disc-to-macula distance, and vascular density demonstrating potential diagnostic efficacy. Subgroup analysis within the FEVR group revealed that as the disease stage advanced and severity increased, the optic disc and cup diameters decreased, the optic disc-to-macula distance increased, and the vascular fractal dimension and vascular density parameters declined.</p><p><strong>Conclusions: </strong>UWFFP and automated retinal parameter analysis offer promising tools for early FEVR diagnosis, with specific structural and vascular markers providing diagnostic potential. Further large-scale studies are needed to validate these findings and refine diagnostic models.</p>","PeriodicalId":14289,"journal":{"name":"International Journal of Retina and Vitreous","volume":"11 1","pages":"87"},"PeriodicalIF":2.4000,"publicationDate":"2025-07-30","publicationTypes":"Journal Article","fieldsOfStudy":null,"isOpenAccess":false,"openAccessPdf":"https://www.ncbi.nlm.nih.gov/pmc/articles/PMC12312263/pdf/","citationCount":"0","resultStr":null,"platform":"Semanticscholar","paperid":null,"PeriodicalName":"International Journal of Retina and Vitreous","FirstCategoryId":"1085","ListUrlMain":"https://doi.org/10.1186/s40942-025-00716-y","RegionNum":0,"RegionCategory":null,"ArticlePicture":[],"TitleCN":null,"AbstractTextCN":null,"PMCID":null,"EPubDate":"","PubModel":"","JCR":"Q2","JCRName":"OPHTHALMOLOGY","Score":null,"Total":0}
引用次数: 0

Abstract

Background: Familial Exudative Vitreoretinopathy (FEVR) is a monogenic disorder causing retinal vascular impairment, often underdiagnosed due to its variable presentation and reliance on invasive methods like fundus fluorescein angiography (FFA). Through the utilization of non-invasive ultra-widefield fundus photography (UWFFP), this research explored both the diagnostic potential of integrated retinal parameters for the detection of FEVR, and their characteristic changes during the early stage progression.

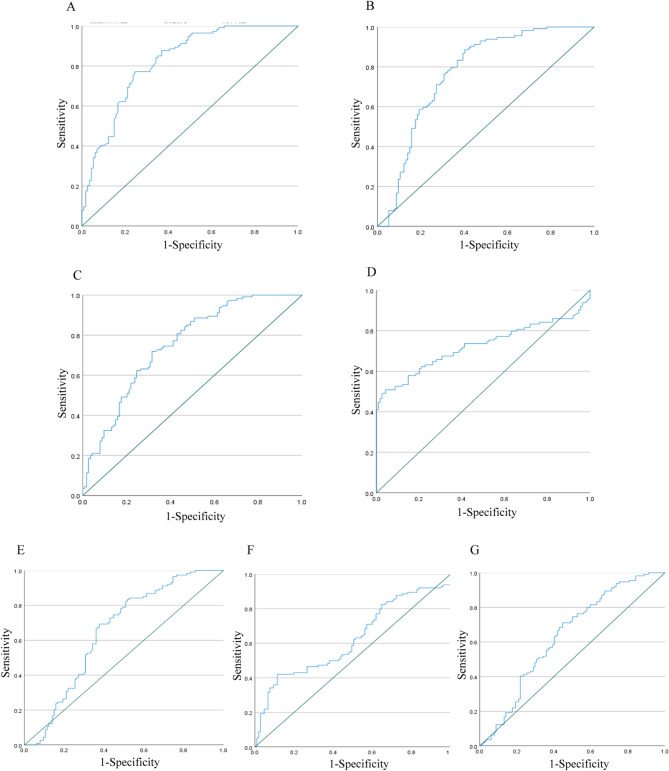
Methods: Retinal parameters were systematically extracted and quantified from UWFFP of 114 FEVR patients and 114 matched controls using the EVision AI cloud platform. Comparative statistical analyses were performed to identify significant intergroup differences between FEVR and control cohorts, and assess intra-group variations among FEVR subgroups. Based on parameters that showed significant differences between the FEVR group and the control group and had an impact on the FEVR group, a diagnostic model was constructed. Receiver operating characteristic (ROC) curves were plotted to determine the diagnostic potential of these parameters. In addition, subgroup analysis within the FEVR group was conducted to clarify the relationship between retinal parameters and disease staging.

Results: Significant differences were observed in 25 retinal parameters between the FEVR group and the control group, with the horizontal cup-to-disc ratio, vertical cup-to-disc ratio, optic disc-to-macula distance, and vascular density demonstrating potential diagnostic efficacy. Subgroup analysis within the FEVR group revealed that as the disease stage advanced and severity increased, the optic disc and cup diameters decreased, the optic disc-to-macula distance increased, and the vascular fractal dimension and vascular density parameters declined.

Conclusions: UWFFP and automated retinal parameter analysis offer promising tools for early FEVR diagnosis, with specific structural and vascular markers providing diagnostic potential. Further large-scale studies are needed to validate these findings and refine diagnostic models.

Abstract Image

Abstract Image

超广角眼底摄影对家族性渗出性玻璃体视网膜病变视网膜参数分析及诊断潜力探讨。
背景:家族性渗出性玻璃体视网膜病变(FEVR)是一种引起视网膜血管损伤的单基因疾病,由于其表现多样,并且依赖于眼底荧光素血管造影(FFA)等侵入性方法,经常被误诊。本研究通过无创超宽视场眼底摄影(UWFFP),探讨了综合视网膜参数在FEVR检测中的诊断潜力,以及它们在早期进展过程中的特征变化。方法:采用EVision AI云平台系统提取114例FEVR患者和114例匹配对照的UWFFP视网膜参数并进行定量分析。通过比较统计学分析,确定FEVR组与对照组之间的显著组间差异,并评估FEVR亚组之间的组内差异。根据FEVR组与对照组有显著差异且对FEVR组有影响的参数,构建诊断模型。绘制受试者工作特征(ROC)曲线以确定这些参数的诊断潜力。此外,在FEVR组内进行亚组分析,以明确视网膜参数与疾病分期之间的关系。结果:FEVR组与对照组在25项视网膜参数上有显著差异,其中水平杯盘比、垂直杯盘比、视盘与黄斑距离、血管密度具有潜在的诊断价值。FEVR组亚组分析显示,随着病程进展和严重程度的增加,视盘和杯直径减小,视盘到黄斑的距离增加,血管分形维数和血管密度参数下降。结论:UWFFP和自动视网膜参数分析为FEVR的早期诊断提供了有希望的工具,具有特定的结构和血管标记提供了诊断潜力。需要进一步的大规模研究来验证这些发现并完善诊断模型。
本文章由计算机程序翻译,如有差异,请以英文原文为准。
求助全文
约1分钟内获得全文 求助全文
来源期刊
CiteScore
3.50
自引率
4.30%
发文量
81
审稿时长
19 weeks
期刊介绍: International Journal of Retina and Vitreous focuses on the ophthalmic subspecialty of vitreoretinal disorders. The journal presents original articles on new approaches to diagnosis, outcomes of clinical trials, innovations in pharmacological therapy and surgical techniques, as well as basic science advances that impact clinical practice. Topical areas include, but are not limited to: -Imaging of the retina, choroid and vitreous -Innovations in optical coherence tomography (OCT) -Small-gauge vitrectomy, retinal detachment, chromovitrectomy -Electroretinography (ERG), microperimetry, other functional tests -Intraocular tumors -Retinal pharmacotherapy & drug delivery -Diabetic retinopathy & other vascular diseases -Age-related macular degeneration (AMD) & other macular entities
×
引用
GB/T 7714-2015
复制
MLA
复制
APA
复制
导出至
BibTeX EndNote RefMan NoteFirst NoteExpress
×
提示
您的信息不完整,为了账户安全,请先补充。
现在去补充
×
提示
您因"违规操作"
具体请查看互助需知
我知道了
×
提示
确定
请完成安全验证×
copy
已复制链接
快去分享给好友吧!
我知道了
右上角分享
点击右上角分享
0
联系我们:info@booksci.cn Book学术提供免费学术资源搜索服务,方便国内外学者检索中英文文献。致力于提供最便捷和优质的服务体验。 Copyright © 2023 布克学术 All rights reserved.
京ICP备2023020795号-1
ghs 京公网安备 11010802042870号
Book学术文献互助
Book学术文献互助群
群 号:604180095
Book学术官方微信