Endoscopic ultrasound features in predicting noncurative resection of endoscopic submucosal dissection in patients with rectal neuroendocrine neoplasms.

IF 1.8 4区 医学 Q3 GASTROENTEROLOGY & HEPATOLOGY
Xiaotong Wang, Min Cao, Xueli Ding, Zimin Liu, Ailing Liu, Hua Liu
{"title":"Endoscopic ultrasound features in predicting noncurative resection of endoscopic submucosal dissection in patients with rectal neuroendocrine neoplasms.","authors":"Xiaotong Wang, Min Cao, Xueli Ding, Zimin Liu, Ailing Liu, Hua Liu","doi":"10.1097/MEG.0000000000003002","DOIUrl":null,"url":null,"abstract":"<p><strong>Purpose: </strong>To explore the factors influencing noncurative resection (NCR) in patients with rectal neuroendocrine neoplasms (R-NENs) on the basis of endoscopic ultrasonography (EUS) findings and to construct and validate a nomogram prediction model based on these factors.</p><p><strong>Methods: </strong>This retrospective cohort study included 244 patients with pathologically confirmed R-NEN who underwent endoscopic submucosal dissection (ESD) at the Affiliated Hospital of Qingdao University between March 2016 and June 2023. The patients' EUS and clinical features were collected to identify independent factors influencing NCR following ESD. A nomogram prediction model was constructed, and its performance was evaluated with receiver operating characteristic (ROC) curve analysis.</p><p><strong>Results: </strong>A larger tumor diameter, irregular borders, and submucosal involvement on EUS were identified as independent risk factors for NCR following ESD in patients with R-NENs. A nomogram model integrating these three predictors effectively predicted the occurrence of NCR. ROC curve analysis was used to compare the clinical predictive efficacy of the independent influencing factors and their combination. The results revealed that the area under the curve for the combination of factors was 0.791, with a sensitivity of 68.6% and specificity of 86.0%, indicating good clinical diagnostic value. The Hosmer-Lemeshow goodness-of-fit test ( P  = 0.178) indicated satisfactory model calibration.</p><p><strong>Conclusion: </strong>The nomogram model achieved good predictive performance. This model can assist endoscopists in dynamically assessing the risk of NCR in real time, but its clinical applicability requires verification.</p>","PeriodicalId":11999,"journal":{"name":"European Journal of Gastroenterology & Hepatology","volume":" ","pages":"1110-1116"},"PeriodicalIF":1.8000,"publicationDate":"2025-10-01","publicationTypes":"Journal Article","fieldsOfStudy":null,"isOpenAccess":false,"openAccessPdf":"https://www.ncbi.nlm.nih.gov/pmc/articles/PMC12382725/pdf/","citationCount":"0","resultStr":null,"platform":"Semanticscholar","paperid":null,"PeriodicalName":"European Journal of Gastroenterology & Hepatology","FirstCategoryId":"3","ListUrlMain":"https://doi.org/10.1097/MEG.0000000000003002","RegionNum":4,"RegionCategory":"医学","ArticlePicture":[],"TitleCN":null,"AbstractTextCN":null,"PMCID":null,"EPubDate":"2025/7/31 0:00:00","PubModel":"Epub","JCR":"Q3","JCRName":"GASTROENTEROLOGY & HEPATOLOGY","Score":null,"Total":0}
引用次数: 0

Abstract

Purpose: To explore the factors influencing noncurative resection (NCR) in patients with rectal neuroendocrine neoplasms (R-NENs) on the basis of endoscopic ultrasonography (EUS) findings and to construct and validate a nomogram prediction model based on these factors.

Methods: This retrospective cohort study included 244 patients with pathologically confirmed R-NEN who underwent endoscopic submucosal dissection (ESD) at the Affiliated Hospital of Qingdao University between March 2016 and June 2023. The patients' EUS and clinical features were collected to identify independent factors influencing NCR following ESD. A nomogram prediction model was constructed, and its performance was evaluated with receiver operating characteristic (ROC) curve analysis.

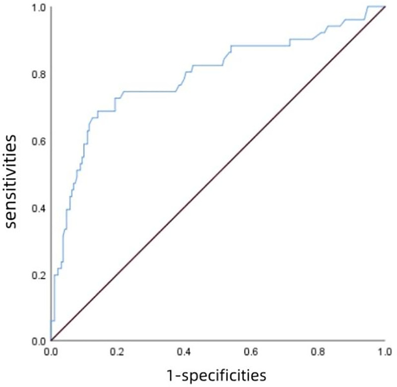
Results: A larger tumor diameter, irregular borders, and submucosal involvement on EUS were identified as independent risk factors for NCR following ESD in patients with R-NENs. A nomogram model integrating these three predictors effectively predicted the occurrence of NCR. ROC curve analysis was used to compare the clinical predictive efficacy of the independent influencing factors and their combination. The results revealed that the area under the curve for the combination of factors was 0.791, with a sensitivity of 68.6% and specificity of 86.0%, indicating good clinical diagnostic value. The Hosmer-Lemeshow goodness-of-fit test ( P  = 0.178) indicated satisfactory model calibration.

Conclusion: The nomogram model achieved good predictive performance. This model can assist endoscopists in dynamically assessing the risk of NCR in real time, but its clinical applicability requires verification.

Abstract Image

Abstract Image

Abstract Image

内镜超声特征在预测直肠神经内分泌肿瘤患者内镜下粘膜夹层不可治愈切除中的应用。
目的:根据超声内镜(EUS)检查结果,探讨影响直肠神经内分泌肿瘤(R-NENs)非治愈性切除(NCR)的因素,建立并验证基于这些因素的nomogram预测模型。方法:本回顾性队列研究纳入了2016年3月至2023年6月青岛大学附属医院244例经病理证实的R-NEN内镜下粘膜剥离(ESD)患者。收集患者EUS和临床特征,确定影响ESD术后NCR的独立因素。建立了nomogram预测模型,并通过受试者工作特征(ROC)曲线分析对其性能进行评价。结果:肿瘤直径较大、边界不规则、EUS粘膜下受累是R-NENs患者ESD后发生NCR的独立危险因素。综合这三个预测因子的nomogram模型可以有效预测NCR的发生。采用ROC曲线分析比较独立影响因素与联合影响因素的临床预测效果。结果显示,综合因素的曲线下面积为0.791,敏感性为68.6%,特异性为86.0%,具有较好的临床诊断价值。Hosmer-Lemeshow拟合优度检验(P = 0.178)表明模型校正满意。结论:nomogram模型具有较好的预测效果。该模型可以帮助内镜医师实时动态评估NCR风险,但其临床适用性有待验证。
本文章由计算机程序翻译,如有差异,请以英文原文为准。
求助全文
约1分钟内获得全文 求助全文
来源期刊
CiteScore
4.40
自引率
4.80%
发文量
269
审稿时长
1 months
期刊介绍: European Journal of Gastroenterology & Hepatology publishes papers reporting original clinical and scientific research which are of a high standard and which contribute to the advancement of knowledge in the field of gastroenterology and hepatology. The journal publishes three types of manuscript: in-depth reviews (by invitation only), full papers and case reports. Manuscripts submitted to the journal will be accepted on the understanding that the author has not previously submitted the paper to another journal or had the material published elsewhere. Authors are asked to disclose any affiliations, including financial, consultant, or institutional associations, that might lead to bias or a conflict of interest.
×
引用
GB/T 7714-2015
复制
MLA
复制
APA
复制
导出至
BibTeX EndNote RefMan NoteFirst NoteExpress
×
提示
您的信息不完整,为了账户安全,请先补充。
现在去补充
×
提示
您因"违规操作"
具体请查看互助需知
我知道了
×
提示
确定
请完成安全验证×
copy
已复制链接
快去分享给好友吧!
我知道了
右上角分享
点击右上角分享
0
联系我们:info@booksci.cn Book学术提供免费学术资源搜索服务,方便国内外学者检索中英文文献。致力于提供最便捷和优质的服务体验。 Copyright © 2023 布克学术 All rights reserved.
京ICP备2023020795号-1
ghs 京公网安备 11010802042870号
Book学术文献互助
Book学术文献互助群
群 号:604180095
Book学术官方微信