Hypopharyngeal Squamous Cell Carcinoma in Elderly Patients Aged ≥70 Years: Surgery and Postoperative Radiotherapy Improves Outcomes in Selected Patients.

IF 2.6 4区 医学 Q3 ONCOLOGY
Cancer Management and Research Pub Date : 2025-07-26 eCollection Date: 2025-01-01 DOI:10.2147/CMAR.S529332
Ru Wang, Ahmad A Hariri, Hengmin Tao, Yumei Wei, Zhenghua Lyu
{"title":"Hypopharyngeal Squamous Cell Carcinoma in Elderly Patients Aged ≥70 Years: Surgery and Postoperative Radiotherapy Improves Outcomes in Selected Patients.","authors":"Ru Wang, Ahmad A Hariri, Hengmin Tao, Yumei Wei, Zhenghua Lyu","doi":"10.2147/CMAR.S529332","DOIUrl":null,"url":null,"abstract":"<p><strong>Objective: </strong>To summarize the efficacy of surgery plus postoperative radiotherapy as initial treatment in elderly patients aged ≥70 years with advanced hypopharyngeal cancer and to analyze prognostic factors.</p><p><strong>Methods: </strong>Retrospective analysis of 77 elderly patients aged ≥70 years with stage III-IV hypopharyngeal squamous cell carcinoma who underwent surgery as initial treatment at Shandong Provincial ENT Hospital between 2006-2020. Treatment completion rate and prognostic factors were summarized and analyzed, with comparisons made to non-surgical treatments in published literature. SPSS 26.0 was used for analysis. Univariate Cox regression analysis was applied to identify potential predictors of overall survival (OS) and disease-free survival (DFS). Kaplan-Meier method with Log rank test was used to calculate and compare survival rates. Multivariate analysis employed the Cox proportional hazards regression model, with <i>P</i> < 0.05 considered statistically significant.</p><p><strong>Results: </strong>The study achieved 100% follow-up with a median duration of 62 months. Among the cohort, 26 patients received surgery only whilst 51 received surgery plus radiotherapy, seven patients failed to complete radiotherapy resulting in a completion rate of 86.27%. Survival analysis revealed significant intergroup differences: at 1 year, OS/DFS rates were 76.9%/73.1% in Group A versus 93.2%/81.8% in Group B (both <i>P</i> < 0.05). By 3 years, OS/DFS rates were 61.5%/57.7% in Group A versus 77.3%/70.5% in Group B. The overall 3-year and 5-year OS rates for the cohort were 68.8% and 52.3%, respectively. Univariate analysis showed no significant differences in gender, age, T/N staging, comorbidities, or second primary malignancies (all *<i>P</i>* > 0.05), but treatment modality was a significant predictor of both OS (<i>P</i> = 0.002) and DFS (<i>P</i> = 0.001). Multivariate COX regression analysis confirmed N staging and treatment modality as independent prognostic factors for OS (<i>P</i> = 0.007 and 0.002, respectively) and DFS (P = 0.009 and 0.002, respectively).</p><p><strong>Conclusion: </strong>Elderly hypopharyngeal cancer patients tolerated surgery and postoperative radiotherapy well. Active pursuit of comprehensive treatment is recommended for fit stage III-IV patients aged ≥70 years to improve outcomes.</p>","PeriodicalId":9479,"journal":{"name":"Cancer Management and Research","volume":"17 ","pages":"1513-1523"},"PeriodicalIF":2.6000,"publicationDate":"2025-07-26","publicationTypes":"Journal Article","fieldsOfStudy":null,"isOpenAccess":false,"openAccessPdf":"https://www.ncbi.nlm.nih.gov/pmc/articles/PMC12309576/pdf/","citationCount":"0","resultStr":null,"platform":"Semanticscholar","paperid":null,"PeriodicalName":"Cancer Management and Research","FirstCategoryId":"3","ListUrlMain":"https://doi.org/10.2147/CMAR.S529332","RegionNum":4,"RegionCategory":"医学","ArticlePicture":[],"TitleCN":null,"AbstractTextCN":null,"PMCID":null,"EPubDate":"2025/1/1 0:00:00","PubModel":"eCollection","JCR":"Q3","JCRName":"ONCOLOGY","Score":null,"Total":0}
引用次数: 0

Abstract

Objective: To summarize the efficacy of surgery plus postoperative radiotherapy as initial treatment in elderly patients aged ≥70 years with advanced hypopharyngeal cancer and to analyze prognostic factors.

Methods: Retrospective analysis of 77 elderly patients aged ≥70 years with stage III-IV hypopharyngeal squamous cell carcinoma who underwent surgery as initial treatment at Shandong Provincial ENT Hospital between 2006-2020. Treatment completion rate and prognostic factors were summarized and analyzed, with comparisons made to non-surgical treatments in published literature. SPSS 26.0 was used for analysis. Univariate Cox regression analysis was applied to identify potential predictors of overall survival (OS) and disease-free survival (DFS). Kaplan-Meier method with Log rank test was used to calculate and compare survival rates. Multivariate analysis employed the Cox proportional hazards regression model, with P < 0.05 considered statistically significant.

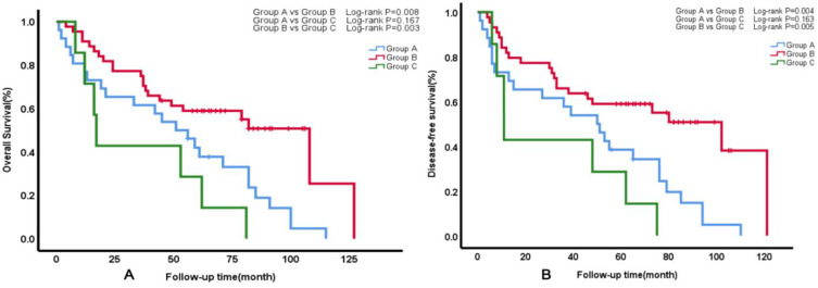
Results: The study achieved 100% follow-up with a median duration of 62 months. Among the cohort, 26 patients received surgery only whilst 51 received surgery plus radiotherapy, seven patients failed to complete radiotherapy resulting in a completion rate of 86.27%. Survival analysis revealed significant intergroup differences: at 1 year, OS/DFS rates were 76.9%/73.1% in Group A versus 93.2%/81.8% in Group B (both P < 0.05). By 3 years, OS/DFS rates were 61.5%/57.7% in Group A versus 77.3%/70.5% in Group B. The overall 3-year and 5-year OS rates for the cohort were 68.8% and 52.3%, respectively. Univariate analysis showed no significant differences in gender, age, T/N staging, comorbidities, or second primary malignancies (all *P* > 0.05), but treatment modality was a significant predictor of both OS (P = 0.002) and DFS (P = 0.001). Multivariate COX regression analysis confirmed N staging and treatment modality as independent prognostic factors for OS (P = 0.007 and 0.002, respectively) and DFS (P = 0.009 and 0.002, respectively).

Conclusion: Elderly hypopharyngeal cancer patients tolerated surgery and postoperative radiotherapy well. Active pursuit of comprehensive treatment is recommended for fit stage III-IV patients aged ≥70 years to improve outcomes.

Abstract Image

Abstract Image

≥70岁老年患者的下咽鳞状细胞癌:手术和术后放疗可改善选定患者的预后
目的:总结手术加术后放疗治疗≥70岁高龄高龄晚期下咽癌的疗效,并分析影响预后的因素。方法:回顾性分析2006-2020年在山东省耳鼻喉科医院接受手术治疗的77例年龄≥70岁的III-IV期下咽鳞状细胞癌患者。总结分析治疗完成率和预后因素,并与已发表文献的非手术治疗进行比较。采用SPSS 26.0软件进行分析。采用单因素Cox回归分析确定总生存期(OS)和无病生存期(DFS)的潜在预测因素。采用Kaplan-Meier法和Log rank检验计算和比较生存率。多因素分析采用Cox比例风险回归模型,以P < 0.05为差异有统计学意义。结果:该研究达到100%随访,中位持续时间为62个月。队列中仅手术26例,手术加放疗51例,放疗未完成7例,完成率86.27%。生存分析显示组间差异显著:1年时,A组OS/DFS为76.9%/73.1%,B组为93.2%/81.8%(均P < 0.05)。3年后,A组的OS/DFS为61.5%/57.7%,b组为77.3%/70.5%。该队列的3年和5年总体OS率分别为68.8%和52.3%。单因素分析显示,性别、年龄、T/N分期、合并症或第二原发恶性肿瘤无显著差异(均*P* >.05),但治疗方式是OS (P = 0.002)和DFS (P = 0.001)的显著预测因子。多因素COX回归分析证实N分期和治疗方式是OS (P = 0.007和0.002)和DFS (P = 0.009和0.002)的独立预后因素。结论:老年下咽癌患者手术及术后放疗耐受良好。对于年龄≥70岁的III-IV期患者,建议积极寻求综合治疗以改善预后。
本文章由计算机程序翻译,如有差异,请以英文原文为准。
求助全文
约1分钟内获得全文 求助全文
来源期刊
Cancer Management and Research
Cancer Management and Research Medicine-Oncology
CiteScore
7.40
自引率
0.00%
发文量
448
审稿时长
16 weeks
期刊介绍: Cancer Management and Research is an international, peer reviewed, open access journal focusing on cancer research and the optimal use of preventative and integrated treatment interventions to achieve improved outcomes, enhanced survival, and quality of life for cancer patients. Specific topics covered in the journal include: ◦Epidemiology, detection and screening ◦Cellular research and biomarkers ◦Identification of biotargets and agents with novel mechanisms of action ◦Optimal clinical use of existing anticancer agents, including combination therapies ◦Radiation and surgery ◦Palliative care ◦Patient adherence, quality of life, satisfaction The journal welcomes submitted papers covering original research, basic science, clinical & epidemiological studies, reviews & evaluations, guidelines, expert opinion and commentary, and case series that shed novel insights on a disease or disease subtype.
×
引用
GB/T 7714-2015
复制
MLA
复制
APA
复制
导出至
BibTeX EndNote RefMan NoteFirst NoteExpress
×
提示
您的信息不完整,为了账户安全,请先补充。
现在去补充
×
提示
您因"违规操作"
具体请查看互助需知
我知道了
×
提示
确定
请完成安全验证×
copy
已复制链接
快去分享给好友吧!
我知道了
右上角分享
点击右上角分享
0
联系我们:info@booksci.cn Book学术提供免费学术资源搜索服务,方便国内外学者检索中英文文献。致力于提供最便捷和优质的服务体验。 Copyright © 2023 布克学术 All rights reserved.
京ICP备2023020795号-1
ghs 京公网安备 11010802042870号
Book学术文献互助
Book学术文献互助群
群 号:604180095
Book学术官方微信