Evaluation of the Expression of Virulence Factors of V. cholerae After Interaction With the Human Colon Adenocarcinoma (Caco-2) Cell Line.

IF 2.6 4区 医学 Q3 INFECTIOUS DISEASES
Mohammadreza Kheradmand, Masoumeh Saberpour, Bita Bakhshi, Mahboube Bahroudi
{"title":"Evaluation of the Expression of Virulence Factors of <i>V. cholerae</i> After Interaction With the Human Colon Adenocarcinoma (Caco-2) Cell Line.","authors":"Mohammadreza Kheradmand, Masoumeh Saberpour, Bita Bakhshi, Mahboube Bahroudi","doi":"10.1155/cjid/9936375","DOIUrl":null,"url":null,"abstract":"<p><p>Cholera remains a global challenge, and understanding how <i>V</i>. <i>cholerae</i> adapts to environmental condition is essential for innovating new management strategies. This research aims to examine the expression of <i>ctxAB</i>, <i>tcpA</i>, and <i>hlyA</i> genes in <i>V</i>. <i>cholerae</i> (El Tor and classical biotypes) after interaction with Caco-2 cells compared to brain heart infusion (BHI) broth. After assaying of viability of Caco-2 cells against <i>V</i>. <i>cholerae</i> at multiplicity of infection (MOI) of 10, 20, 50, and 80, the number of bacteria attached to Caco-2 cells was determined using the adhesion assay. To conduct a valid comparison, an equivalent number of bacteria that attached to Caco-2 cells was inoculated into BHI broth. The expression of <i>ctxAB</i>, <i>tcpA</i>, and <i>hlyA</i> genes in <i>V</i>. <i>cholerae</i> (El Tor and classical biotypes) was assayed using the real-time PCR method. After interaction of Caco-2 cells with <i>V</i>. <i>cholerae</i>, the expression of the genes <i>ctxAB</i>, <i>tcpA</i>, and <i>hlyA</i> in the El Tor biotype increased by 2-, 1.02-, and 7-fold, respectively, while in the classical biotype, it increased by 6-, 2-, and 13-fold, respectively. The expression of the genes <i>ctxAB</i> and <i>hlyA</i> was significantly increased in Caco-2 cells in both biotypes. There was a significant increase in the expression of the gene <i>tcpA</i> in the classical biotype, while no significant increase was detected in the expression of this gene in the El Tor biotype. Caco-2 cells induced the highest increase in <i>hlyA</i> gene expression in the classical biotype, while there was no significant effect on <i>tcpA</i> gene expression in the El Tor biotype of <i>V</i>. <i>cholerae</i>. In conclusion, <i>V</i>. <i>cholerae</i> showed greater pathogenicity in the Caco-2 cells. Knowing the behavior of <i>V</i>. <i>cholerae</i> in different conditions can lead to create innovative strategies for combating and managing cholera.</p>","PeriodicalId":50715,"journal":{"name":"Canadian Journal of Infectious Diseases & Medical Microbiology","volume":"2025 ","pages":"9936375"},"PeriodicalIF":2.6000,"publicationDate":"2025-07-22","publicationTypes":"Journal Article","fieldsOfStudy":null,"isOpenAccess":false,"openAccessPdf":"https://www.ncbi.nlm.nih.gov/pmc/articles/PMC12307073/pdf/","citationCount":"0","resultStr":null,"platform":"Semanticscholar","paperid":null,"PeriodicalName":"Canadian Journal of Infectious Diseases & Medical Microbiology","FirstCategoryId":"3","ListUrlMain":"https://doi.org/10.1155/cjid/9936375","RegionNum":4,"RegionCategory":"医学","ArticlePicture":[],"TitleCN":null,"AbstractTextCN":null,"PMCID":null,"EPubDate":"2025/1/1 0:00:00","PubModel":"eCollection","JCR":"Q3","JCRName":"INFECTIOUS DISEASES","Score":null,"Total":0}
引用次数: 0

Abstract

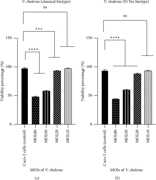
Cholera remains a global challenge, and understanding how V. cholerae adapts to environmental condition is essential for innovating new management strategies. This research aims to examine the expression of ctxAB, tcpA, and hlyA genes in V. cholerae (El Tor and classical biotypes) after interaction with Caco-2 cells compared to brain heart infusion (BHI) broth. After assaying of viability of Caco-2 cells against V. cholerae at multiplicity of infection (MOI) of 10, 20, 50, and 80, the number of bacteria attached to Caco-2 cells was determined using the adhesion assay. To conduct a valid comparison, an equivalent number of bacteria that attached to Caco-2 cells was inoculated into BHI broth. The expression of ctxAB, tcpA, and hlyA genes in V. cholerae (El Tor and classical biotypes) was assayed using the real-time PCR method. After interaction of Caco-2 cells with V. cholerae, the expression of the genes ctxAB, tcpA, and hlyA in the El Tor biotype increased by 2-, 1.02-, and 7-fold, respectively, while in the classical biotype, it increased by 6-, 2-, and 13-fold, respectively. The expression of the genes ctxAB and hlyA was significantly increased in Caco-2 cells in both biotypes. There was a significant increase in the expression of the gene tcpA in the classical biotype, while no significant increase was detected in the expression of this gene in the El Tor biotype. Caco-2 cells induced the highest increase in hlyA gene expression in the classical biotype, while there was no significant effect on tcpA gene expression in the El Tor biotype of V. cholerae. In conclusion, V. cholerae showed greater pathogenicity in the Caco-2 cells. Knowing the behavior of V. cholerae in different conditions can lead to create innovative strategies for combating and managing cholera.

Abstract Image

Abstract Image

Abstract Image

霍乱弧菌与人结肠腺癌(Caco-2)细胞系相互作用后毒力因子表达的评价
霍乱仍然是一项全球性挑战,了解霍乱弧菌如何适应环境条件对于创新新的管理策略至关重要。本研究旨在检测霍乱弧菌(El - Tor和经典生物型)与Caco-2细胞相互作用后ctxAB、tcpA和hlyA基因在Caco-2细胞中的表达,并与脑心输注(BHI)肉汤进行比较。在感染倍数(MOI)分别为10、20、50和80时,测定Caco-2细胞对霍乱弧菌的生存能力,并用黏附法测定附着在Caco-2细胞上的细菌数量。为了进行有效的比较,将等量附着在Caco-2细胞上的细菌接种到BHI肉汤中。采用实时荧光定量PCR法检测ctxAB、tcpA和hlyA基因在El - Tor型和经典型霍乱弧菌中的表达。Caco-2细胞与霍乱菌相互作用后,El - Tor生物型ctxAB、tcpA和hlyA基因的表达量分别增加了2倍、1.02倍和7倍,而经典生物型ctxAB、tcpA和hlyA基因的表达量分别增加了6倍、2倍和13倍。ctxAB和hlyA基因在两种生物型Caco-2细胞中的表达均显著升高。经典生物型中tcpA基因的表达显著增加,而El Tor生物型中tcpA基因的表达未见显著增加。Caco-2细胞对经典型霍乱弧菌hlyA基因表达的影响最大,而对El - Tor型霍乱弧菌tcpA基因表达的影响不显著。综上所述,霍乱弧菌在Caco-2细胞中表现出更强的致病性。了解霍乱弧菌在不同情况下的行为,有助于制定对抗和管理霍乱的创新战略。
本文章由计算机程序翻译,如有差异,请以英文原文为准。
求助全文
约1分钟内获得全文 求助全文
来源期刊
CiteScore
4.30
自引率
0.00%
发文量
108
审稿时长
>12 weeks
期刊介绍: Canadian Journal of Infectious Diseases and Medical Microbiology is a peer-reviewed, Open Access journal that publishes original research articles, review articles, and clinical studies related to infectious diseases of bacterial, viral and parasitic origin. The journal welcomes articles describing research on pathogenesis, epidemiology of infection, diagnosis and treatment, antibiotics and resistance, and immunology.
×
引用
GB/T 7714-2015
复制
MLA
复制
APA
复制
导出至
BibTeX EndNote RefMan NoteFirst NoteExpress
×
提示
您的信息不完整,为了账户安全,请先补充。
现在去补充
×
提示
您因"违规操作"
具体请查看互助需知
我知道了
×
提示
确定
请完成安全验证×
copy
已复制链接
快去分享给好友吧!
我知道了
右上角分享
点击右上角分享
0
联系我们:info@booksci.cn Book学术提供免费学术资源搜索服务,方便国内外学者检索中英文文献。致力于提供最便捷和优质的服务体验。 Copyright © 2023 布克学术 All rights reserved.
京ICP备2023020795号-1
ghs 京公网安备 11010802042870号
Book学术文献互助
Book学术文献互助群
群 号:604180095
Book学术官方微信