Long-Term Donor Chimerism Monitoring for Relapse Risk Assessment After Pediatric Allo-HSCT.

IF 2.6 Q2 GENETICS & HEREDITY
Application of Clinical Genetics Pub Date : 2025-07-24 eCollection Date: 2025-01-01 DOI:10.2147/TACG.S520646
Anna Prażmo, Paulina Skowera, Agnieszka Zaucha-Prazmo, Monika Lejman
{"title":"Long-Term Donor Chimerism Monitoring for Relapse Risk Assessment After Pediatric Allo-HSCT.","authors":"Anna Prażmo, Paulina Skowera, Agnieszka Zaucha-Prazmo, Monika Lejman","doi":"10.2147/TACG.S520646","DOIUrl":null,"url":null,"abstract":"<p><strong>Objective: </strong>Allo-HSCT is a well-established treatment for several hematological malignancies. Relapse after allogeneic hematopoietic stem cell transplantation (allo-HSCT) remains a significant problem and is associated with a poor prognosis and low overall survival. Chimerism analysis is one of the tools applied in post-transplant monitoring, as an increasing fraction of recipient cells after HSCT has been linked to a higher risk of relapse.</p><p><strong>Study design: </strong>In this retrospective, single-centre study we have analysed the data of patients treated with allo-HSCT for a range of hematological malignancies in the Department of Paediatric Haematology, Oncology and Transplantology, Medical University of Lublin, Poland, between years 2002-2018.</p><p><strong>Results: </strong>For all 103 patients 3-years OS was 72.6 (95% CI: 64.3-82.0) and 3-years EFS was 72.0 (95% CI: 63.5-81.6). There were no differences in 3-years OS and EFS in group of patients who achieved FDC <14 and >14 days: 67.9 (95% CI: 57.4-80.3) vs 81.9 (95% CI: 69.7-96.2), p = 0.220 and 66.0 (95% CI: 55.3-78.7) vs 84.1 (95% CI: 72.3-97.9), p = 0.073, respectively. Early FDC achievement was not significantly associated with risk of relapse, p = 0.181. Based on multivariate Cox regression analysis AML/MDS increased risk of relapse 3x compared to ALL, HR = 2.72, CI95 [1.24-5.98], p = 0.013; PB/CB increased the risk nearly 3x compared to cells from BM, HR = 2.52, CI95 [1.12-5.65], p = 0.025.</p><p><strong>Conclusion: </strong>In presented study, achieving early FDC was not associated with lower risk of relapse and had no impact on overall and event-free survival. However, the study presents a unique data of very early chimerism in a large cohort of paediatric patients with haematological malignancies treated within a single unit. Possible extensions to this study, to include analysing more data from a larger patient cohort, may allow us to determine the exact prognostic value of very early chimerism analysis to establish relevant cutoff values and risk thresholds for intervention.</p>","PeriodicalId":39131,"journal":{"name":"Application of Clinical Genetics","volume":"18 ","pages":"131-146"},"PeriodicalIF":2.6000,"publicationDate":"2025-07-24","publicationTypes":"Journal Article","fieldsOfStudy":null,"isOpenAccess":false,"openAccessPdf":"https://www.ncbi.nlm.nih.gov/pmc/articles/PMC12304447/pdf/","citationCount":"0","resultStr":null,"platform":"Semanticscholar","paperid":null,"PeriodicalName":"Application of Clinical Genetics","FirstCategoryId":"1085","ListUrlMain":"https://doi.org/10.2147/TACG.S520646","RegionNum":0,"RegionCategory":null,"ArticlePicture":[],"TitleCN":null,"AbstractTextCN":null,"PMCID":null,"EPubDate":"2025/1/1 0:00:00","PubModel":"eCollection","JCR":"Q2","JCRName":"GENETICS & HEREDITY","Score":null,"Total":0}
引用次数: 0

Abstract

Objective: Allo-HSCT is a well-established treatment for several hematological malignancies. Relapse after allogeneic hematopoietic stem cell transplantation (allo-HSCT) remains a significant problem and is associated with a poor prognosis and low overall survival. Chimerism analysis is one of the tools applied in post-transplant monitoring, as an increasing fraction of recipient cells after HSCT has been linked to a higher risk of relapse.

Study design: In this retrospective, single-centre study we have analysed the data of patients treated with allo-HSCT for a range of hematological malignancies in the Department of Paediatric Haematology, Oncology and Transplantology, Medical University of Lublin, Poland, between years 2002-2018.

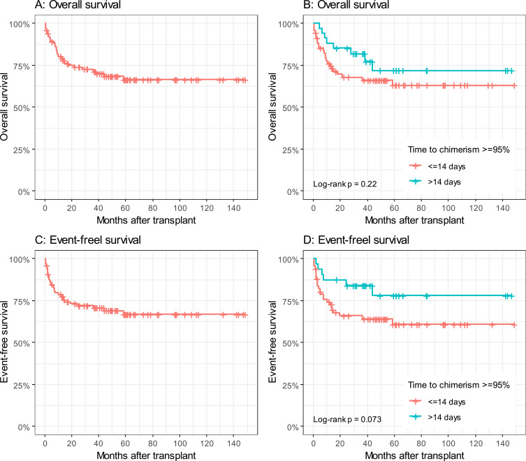
Results: For all 103 patients 3-years OS was 72.6 (95% CI: 64.3-82.0) and 3-years EFS was 72.0 (95% CI: 63.5-81.6). There were no differences in 3-years OS and EFS in group of patients who achieved FDC <14 and >14 days: 67.9 (95% CI: 57.4-80.3) vs 81.9 (95% CI: 69.7-96.2), p = 0.220 and 66.0 (95% CI: 55.3-78.7) vs 84.1 (95% CI: 72.3-97.9), p = 0.073, respectively. Early FDC achievement was not significantly associated with risk of relapse, p = 0.181. Based on multivariate Cox regression analysis AML/MDS increased risk of relapse 3x compared to ALL, HR = 2.72, CI95 [1.24-5.98], p = 0.013; PB/CB increased the risk nearly 3x compared to cells from BM, HR = 2.52, CI95 [1.12-5.65], p = 0.025.

Conclusion: In presented study, achieving early FDC was not associated with lower risk of relapse and had no impact on overall and event-free survival. However, the study presents a unique data of very early chimerism in a large cohort of paediatric patients with haematological malignancies treated within a single unit. Possible extensions to this study, to include analysing more data from a larger patient cohort, may allow us to determine the exact prognostic value of very early chimerism analysis to establish relevant cutoff values and risk thresholds for intervention.

Abstract Image

Abstract Image

Abstract Image

长期供体嵌合监测用于儿童同种异体造血干细胞移植后复发风险评估。
目的:同种异体造血干细胞移植是一种成熟的治疗多种血液系统恶性肿瘤的方法。同种异体造血干细胞移植(allo-HSCT)后复发仍然是一个重要的问题,并与预后差和低总生存率相关。嵌合分析是移植后监测中应用的工具之一,因为移植后受体细胞比例的增加与复发的风险增加有关。研究设计:在这项回顾性的单中心研究中,我们分析了2002年至2018年间波兰卢布林医科大学儿科血液学、肿瘤学和移植学系接受同种异体造血干细胞移植治疗一系列血液系统恶性肿瘤患者的数据。结果:103例患者3年OS为72.6 (95% CI: 64.3-82.0), 3年EFS为72.0 (95% CI: 63.5-81.6)。在FDC达到14天的患者组中,3年OS和EFS没有差异:67.9 (95% CI: 57.4-80.3) vs 81.9 (95% CI: 69.7-96.2), p = 0.220和66.0 (95% CI: 55.3-78.7) vs 84.1 (95% CI: 72.3-97.9), p = 0.073。早期FDC成就与复发风险无显著相关,p = 0.181。多因素Cox回归分析AML/MDS复发风险较ALL增加3倍,HR = 2.72, CI95 [1.24-5.98], p = 0.013;与BM细胞相比,PB/CB使风险增加近3倍,HR = 2.52, CI95 [1.12-5.65], p = 0.025。结论:在本研究中,实现早期FDC与较低的复发风险无关,对总生存和无事件生存没有影响。然而,该研究提出了一个独特的数据非常早期嵌合在一个大队列的儿科患者血液系统恶性肿瘤在一个单一的单位内治疗。本研究的可能扩展,包括分析来自更大患者队列的更多数据,可能使我们能够确定非常早期嵌合分析的确切预后价值,以建立相关的临界值和干预的风险阈值。
本文章由计算机程序翻译,如有差异,请以英文原文为准。
求助全文
约1分钟内获得全文 求助全文
来源期刊
Application of Clinical Genetics
Application of Clinical Genetics Biochemistry, Genetics and Molecular Biology-Genetics
CiteScore
5.40
自引率
0.00%
发文量
20
审稿时长
16 weeks
×
引用
GB/T 7714-2015
复制
MLA
复制
APA
复制
导出至
BibTeX EndNote RefMan NoteFirst NoteExpress
×
提示
您的信息不完整,为了账户安全,请先补充。
现在去补充
×
提示
您因"违规操作"
具体请查看互助需知
我知道了
×
提示
确定
请完成安全验证×
copy
已复制链接
快去分享给好友吧!
我知道了
右上角分享
点击右上角分享
0
联系我们:info@booksci.cn Book学术提供免费学术资源搜索服务,方便国内外学者检索中英文文献。致力于提供最便捷和优质的服务体验。 Copyright © 2023 布克学术 All rights reserved.
京ICP备2023020795号-1
ghs 京公网安备 11010802042870号
Book学术文献互助
Book学术文献互助群
群 号:604180095
Book学术官方微信