Association of Frequent Short-Acting Beta-Agonist Inhaler Prescriptions with Acute Cardiovascular Events.

IF 2.7 Q2 MEDICINE, GENERAL & INTERNAL
Pragmatic and Observational Research Pub Date : 2025-07-25 eCollection Date: 2025-01-01 DOI:10.2147/POR.S522323
Paul E Pfeffer, Heath Heatley, Richard Hubbard, John Townend, David Price
{"title":"Association of Frequent Short-Acting Beta-Agonist Inhaler Prescriptions with Acute Cardiovascular Events.","authors":"Paul E Pfeffer, Heath Heatley, Richard Hubbard, John Townend, David Price","doi":"10.2147/POR.S522323","DOIUrl":null,"url":null,"abstract":"<p><strong>Background: </strong>Frequent usage of short-acting beta-agonist (SABA) reliever inhalers is strongly associated with exacerbations of asthma and chronic obstructive pulmonary disease (COPD), in turn associated with cardiovascular events. Patients with high SABA usage commonly report symptoms of heart racing and palpitations. However, many patients who overuse SABA inhalers have no history of frequent exacerbations, and the cardiovascular risks of SABA overuse in these patients has been poorly described to date.</p><p><strong>Aim: </strong>To establish whether frequent SABA usage is associated with adverse acute cardiovascular events (ACE) in patients who do not have a history of frequent exacerbations requiring oral corticosteroids.</p><p><strong>Methods: </strong>A case-series analysis was conducted with ACE as the event and SABA prescription as the exposure, comparing 3-month quarters with frequent SABA prescription to quarters with no SABA prescription, using primary care data from the Optimum Patient Care Research Database (OPCRD).</p><p><strong>Results: </strong>About 97082 patients with at least one period of frequent SABA prescription and who had no more than one exacerbation requiring oral corticosteroids prior to first ACE formed the primary analysis population, and 63824 patients who had no oral corticosteroids prior to first ACE were included in a sensitivity analysis. A significantly increased incidence of ACE was evident during quarters in which SABA inhalers were prescribed compared to quarters without SABA prescription, with Incidence Rate Ratio (IRR) 1.80 (95% CI 1.70-1.89) for the primary analysis; IRR 2.20 (95% CI 2.02-2.46) for the sensitivity analysis. A clear dose response was evident with increasing risk as the number of SABA prescribed per quarter increased.</p><p><strong>Conclusion: </strong>Frequent SABA usage appears to be associated with an increased risk of ACE even in patients not having oral corticosteroids for exacerbations of asthma or COPD. The risks of frequent SABA usage need both further research and clinical consideration, and prescription of frequent SABA inhalers should not be viewed as a benign prescription.</p>","PeriodicalId":20399,"journal":{"name":"Pragmatic and Observational Research","volume":"16 ","pages":"147-154"},"PeriodicalIF":2.7000,"publicationDate":"2025-07-25","publicationTypes":"Journal Article","fieldsOfStudy":null,"isOpenAccess":false,"openAccessPdf":"https://www.ncbi.nlm.nih.gov/pmc/articles/PMC12306570/pdf/","citationCount":"0","resultStr":null,"platform":"Semanticscholar","paperid":null,"PeriodicalName":"Pragmatic and Observational Research","FirstCategoryId":"1085","ListUrlMain":"https://doi.org/10.2147/POR.S522323","RegionNum":0,"RegionCategory":null,"ArticlePicture":[],"TitleCN":null,"AbstractTextCN":null,"PMCID":null,"EPubDate":"2025/1/1 0:00:00","PubModel":"eCollection","JCR":"Q2","JCRName":"MEDICINE, GENERAL & INTERNAL","Score":null,"Total":0}
引用次数: 0

Abstract

Background: Frequent usage of short-acting beta-agonist (SABA) reliever inhalers is strongly associated with exacerbations of asthma and chronic obstructive pulmonary disease (COPD), in turn associated with cardiovascular events. Patients with high SABA usage commonly report symptoms of heart racing and palpitations. However, many patients who overuse SABA inhalers have no history of frequent exacerbations, and the cardiovascular risks of SABA overuse in these patients has been poorly described to date.

Aim: To establish whether frequent SABA usage is associated with adverse acute cardiovascular events (ACE) in patients who do not have a history of frequent exacerbations requiring oral corticosteroids.

Methods: A case-series analysis was conducted with ACE as the event and SABA prescription as the exposure, comparing 3-month quarters with frequent SABA prescription to quarters with no SABA prescription, using primary care data from the Optimum Patient Care Research Database (OPCRD).

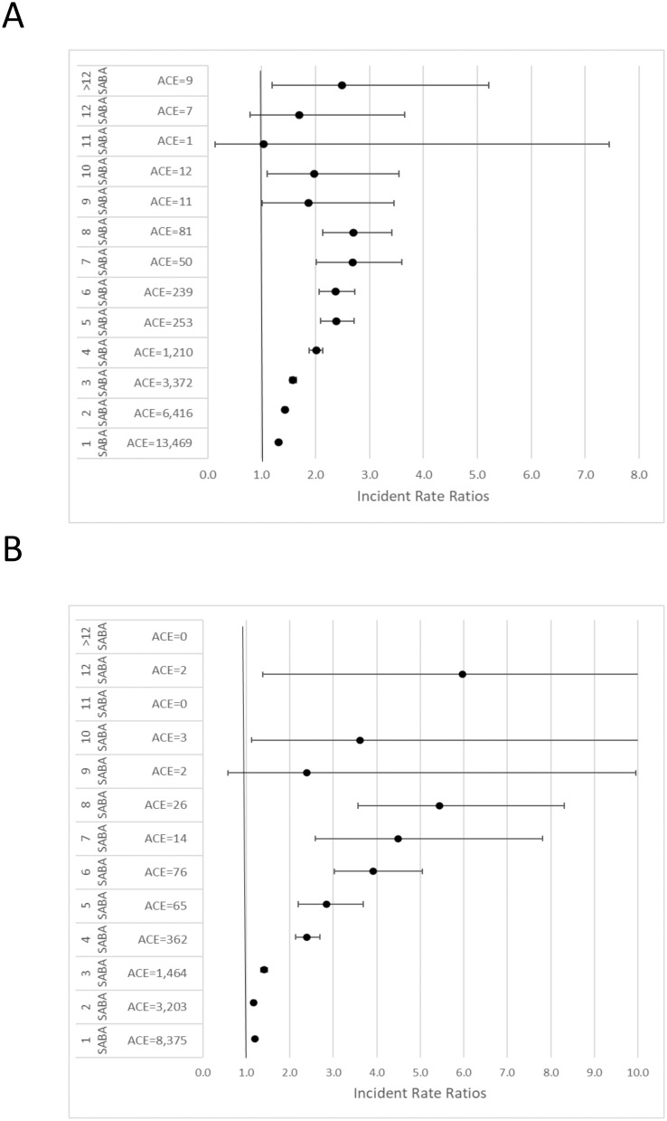
Results: About 97082 patients with at least one period of frequent SABA prescription and who had no more than one exacerbation requiring oral corticosteroids prior to first ACE formed the primary analysis population, and 63824 patients who had no oral corticosteroids prior to first ACE were included in a sensitivity analysis. A significantly increased incidence of ACE was evident during quarters in which SABA inhalers were prescribed compared to quarters without SABA prescription, with Incidence Rate Ratio (IRR) 1.80 (95% CI 1.70-1.89) for the primary analysis; IRR 2.20 (95% CI 2.02-2.46) for the sensitivity analysis. A clear dose response was evident with increasing risk as the number of SABA prescribed per quarter increased.

Conclusion: Frequent SABA usage appears to be associated with an increased risk of ACE even in patients not having oral corticosteroids for exacerbations of asthma or COPD. The risks of frequent SABA usage need both further research and clinical consideration, and prescription of frequent SABA inhalers should not be viewed as a benign prescription.

Abstract Image

频繁使用短效β激动剂吸入剂与急性心血管事件的关系。
背景:频繁使用短效β受体激动剂(SABA)缓解吸入器与哮喘和慢性阻塞性肺疾病(COPD)加重密切相关,进而与心血管事件相关。高SABA使用率的患者通常报告心率加快和心悸的症状。然而,许多过度使用SABA吸入器的患者没有频繁发作的病史,迄今为止,对这些患者过度使用SABA的心血管风险的描述很少。目的:确定频繁使用SABA是否与无频繁发作史且需要口服皮质类固醇的患者的不良急性心血管事件(ACE)相关。方法:采用最佳患者护理研究数据库(OPCRD)的初级保健数据,以ACE为事件,SABA处方为暴露点,进行病例系列分析,比较频繁使用SABA处方和不使用SABA处方的三个月季度。结果:大约97082例患者至少有一个周期的SABA频繁处方,并且在第一次ACE之前没有超过一次的恶化需要口服皮质激素,形成了主要分析人群,63824例患者在第一次ACE之前没有口服皮质激素被纳入敏感性分析。在使用SABA吸入器的季度,与未使用SABA吸入器的季度相比,ACE的发生率明显增加,主要分析的发病率比(IRR)为1.80 (95% CI 1.70-1.89);敏感性分析的IRR为2.20 (95% CI 2.02-2.46)。随着每季度SABA处方数量的增加,明显的剂量反应随着风险的增加而增加。结论:频繁使用SABA似乎与ACE风险增加有关,即使在哮喘或COPD加重时没有口服皮质类固醇的患者中也是如此。频繁使用SABA的风险需要进一步的研究和临床考虑,频繁使用SABA吸入器的处方不应被视为良性处方。
本文章由计算机程序翻译,如有差异,请以英文原文为准。
求助全文
约1分钟内获得全文 求助全文
来源期刊
Pragmatic and Observational Research
Pragmatic and Observational Research MEDICINE, GENERAL & INTERNAL-
自引率
0.00%
发文量
11
期刊介绍: Pragmatic and Observational Research is an international, peer-reviewed, open-access journal that publishes data from studies designed to closely reflect medical interventions in real-world clinical practice, providing insights beyond classical randomized controlled trials (RCTs). While RCTs maximize internal validity for cause-and-effect relationships, they often represent only specific patient groups. This journal aims to complement such studies by providing data that better mirrors real-world patients and the usage of medicines, thus informing guidelines and enhancing the applicability of research findings across diverse patient populations encountered in everyday clinical practice.
×
引用
GB/T 7714-2015
复制
MLA
复制
APA
复制
导出至
BibTeX EndNote RefMan NoteFirst NoteExpress
×
提示
您的信息不完整,为了账户安全,请先补充。
现在去补充
×
提示
您因"违规操作"
具体请查看互助需知
我知道了
×
提示
确定
请完成安全验证×
copy
已复制链接
快去分享给好友吧!
我知道了
右上角分享
点击右上角分享
0
联系我们:info@booksci.cn Book学术提供免费学术资源搜索服务,方便国内外学者检索中英文文献。致力于提供最便捷和优质的服务体验。 Copyright © 2023 布克学术 All rights reserved.
京ICP备2023020795号-1
ghs 京公网安备 11010802042870号
Book学术文献互助
Book学术文献互助群
群 号:604180095
Book学术官方微信