Effectiveness of Telemedicine Nursing Interventions in the Management of Overweight and Obesity in Adults: A Systematic Review and Meta-Analysis.

IF 11 2区 医学 Q1 ENDOCRINOLOGY & METABOLISM
Emanuele Colaone, Elisa Belluzzi, Assunta Pozzuoli, Enrico Roma, Elena Bortolato, Carlo Biz, Pietro Ruggieri
{"title":"Effectiveness of Telemedicine Nursing Interventions in the Management of Overweight and Obesity in Adults: A Systematic Review and Meta-Analysis.","authors":"Emanuele Colaone, Elisa Belluzzi, Assunta Pozzuoli, Enrico Roma, Elena Bortolato, Carlo Biz, Pietro Ruggieri","doi":"10.1007/s13679-025-00655-7","DOIUrl":null,"url":null,"abstract":"<p><strong>Background: </strong>Obesity is a growing global health issue, linked to chronic conditions like type 2 diabetes, hypertension, and cardiovascular diseases. Nursing staff could play a significant role in managing obesity, with telemedicine being a potentially effective tool for monitoring weight and caloric intake. However, the effectiveness of telemedicine-based nursing interventions in managing obesity and overweight remains unclear.</p><p><strong>Objective: </strong>This systematic review with meta-analysis aimed to evaluate the effectiveness of nursing telemedicine interventions in managing overweight and obesity in adults.</p><p><strong>Method: </strong>This review followed PRISMA guidelines and involved a literature search in Scopus, PubMed, and Web of Science. Eligible studies were in English, involved adults with a BMI over 25, and evaluated nursing-led telemedicine interventions (non-randomized and randomized controlled studies). Study quality was assessed using the Down and Black checklist. A random-effects model was used for the meta-analysis.</p><p><strong>Results: </strong>Four moderate-quality articles were included. The nursing-led telemedicine interventions, delivered through digital platforms, mobile apps, and remote monitoring, focused on health education and motivational strategies to promote self-regulation and dietary improvements. The meta-analysis showed that, compared to traditional approaches, nursing-led interventions resulted in an average weight loss of 2.59 kg (95% CI: - 3.09 to - 2.08), a reduction of 1.05 kg/m² in BMI (95% CI: - 1.50 to - 0.60), and a decrease of 2.52 cm in waist circumference (95% CI: - 2.96 to - 2.09).</p><p><strong>Conclusion: </strong>Nursing telemedicine interventions are effective in promoting short-term weight loss and lifestyle changes. However, further research is needed to assess long-term effects and the impact of different interventions.</p>","PeriodicalId":10846,"journal":{"name":"Current Obesity Reports","volume":"14 1","pages":"63"},"PeriodicalIF":11.0000,"publicationDate":"2025-07-30","publicationTypes":"Journal Article","fieldsOfStudy":null,"isOpenAccess":false,"openAccessPdf":"https://www.ncbi.nlm.nih.gov/pmc/articles/PMC12310891/pdf/","citationCount":"0","resultStr":null,"platform":"Semanticscholar","paperid":null,"PeriodicalName":"Current Obesity Reports","FirstCategoryId":"3","ListUrlMain":"https://doi.org/10.1007/s13679-025-00655-7","RegionNum":2,"RegionCategory":"医学","ArticlePicture":[],"TitleCN":null,"AbstractTextCN":null,"PMCID":null,"EPubDate":"","PubModel":"","JCR":"Q1","JCRName":"ENDOCRINOLOGY & METABOLISM","Score":null,"Total":0}
引用次数: 0

Abstract

Background: Obesity is a growing global health issue, linked to chronic conditions like type 2 diabetes, hypertension, and cardiovascular diseases. Nursing staff could play a significant role in managing obesity, with telemedicine being a potentially effective tool for monitoring weight and caloric intake. However, the effectiveness of telemedicine-based nursing interventions in managing obesity and overweight remains unclear.

Objective: This systematic review with meta-analysis aimed to evaluate the effectiveness of nursing telemedicine interventions in managing overweight and obesity in adults.

Method: This review followed PRISMA guidelines and involved a literature search in Scopus, PubMed, and Web of Science. Eligible studies were in English, involved adults with a BMI over 25, and evaluated nursing-led telemedicine interventions (non-randomized and randomized controlled studies). Study quality was assessed using the Down and Black checklist. A random-effects model was used for the meta-analysis.

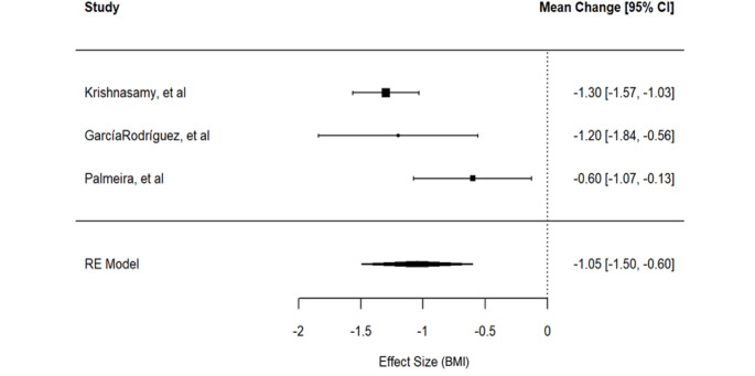
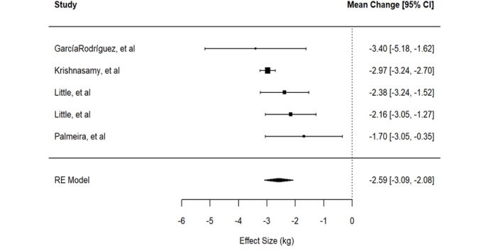
Results: Four moderate-quality articles were included. The nursing-led telemedicine interventions, delivered through digital platforms, mobile apps, and remote monitoring, focused on health education and motivational strategies to promote self-regulation and dietary improvements. The meta-analysis showed that, compared to traditional approaches, nursing-led interventions resulted in an average weight loss of 2.59 kg (95% CI: - 3.09 to - 2.08), a reduction of 1.05 kg/m² in BMI (95% CI: - 1.50 to - 0.60), and a decrease of 2.52 cm in waist circumference (95% CI: - 2.96 to - 2.09).

Conclusion: Nursing telemedicine interventions are effective in promoting short-term weight loss and lifestyle changes. However, further research is needed to assess long-term effects and the impact of different interventions.

Abstract Image

Abstract Image

Abstract Image

远程医疗护理干预在成人超重和肥胖管理中的有效性:系统回顾和荟萃分析。
背景:肥胖是一个日益严重的全球健康问题,与2型糖尿病、高血压和心血管疾病等慢性疾病有关。护理人员可以在管理肥胖方面发挥重要作用,远程医疗可能是监测体重和热量摄入的有效工具。然而,基于远程医疗的护理干预在管理肥胖和超重方面的有效性尚不清楚。目的:本系统综述结合荟萃分析,旨在评估护理远程医疗干预在管理成人超重和肥胖中的有效性。方法:本综述遵循PRISMA指南,检索了Scopus、PubMed和Web of Science的文献。符合条件的研究采用英语,涉及BMI超过25的成年人,并评估护理主导的远程医疗干预(非随机和随机对照研究)。使用Down and Black检查表评估研究质量。meta分析采用随机效应模型。结果:纳入4篇中等质量的文章。护理主导的远程医疗干预措施通过数字平台、移动应用程序和远程监控提供,重点是健康教育和激励策略,以促进自我调节和饮食改善。荟萃分析显示,与传统方法相比,护理主导干预导致平均体重减轻2.59 kg (95% CI: - 3.09至- 2.08),BMI减少1.05 kg/m²(95% CI: - 1.50至- 0.60),腰围减少2.52 cm (95% CI: - 2.96至- 2.09)。结论:护理远程医疗干预对促进短期减肥和生活方式改变是有效的。然而,需要进一步的研究来评估长期效果和不同干预措施的影响。
本文章由计算机程序翻译,如有差异,请以英文原文为准。
求助全文
约1分钟内获得全文 求助全文
来源期刊
Current Obesity Reports
Current Obesity Reports Medicine-General Medicine
CiteScore
16.40
自引率
1.10%
发文量
25
期刊介绍: The main objective of Current Obesity Reports is to provide expert review articles on recent advancements in the interdisciplinary field of obesity research. Our aim is to offer clear, insightful, and balanced contributions that will benefit all individuals involved in the treatment and prevention of obesity, as well as related conditions such as cardiovascular diseases, endocrine disorders, gynecological issues, cancer, mental health, respiratory complications, and rheumatological diseases. We strive to redefine the way knowledge is expressed and provide organized content for the benefit of our readership.
×
引用
GB/T 7714-2015
复制
MLA
复制
APA
复制
导出至
BibTeX EndNote RefMan NoteFirst NoteExpress
×
提示
您的信息不完整,为了账户安全,请先补充。
现在去补充
×
提示
您因"违规操作"
具体请查看互助需知
我知道了
×
提示
确定
请完成安全验证×
copy
已复制链接
快去分享给好友吧!
我知道了
右上角分享
点击右上角分享
0
联系我们:info@booksci.cn Book学术提供免费学术资源搜索服务,方便国内外学者检索中英文文献。致力于提供最便捷和优质的服务体验。 Copyright © 2023 布克学术 All rights reserved.
京ICP备2023020795号-1
ghs 京公网安备 11010802042870号
Book学术文献互助
Book学术文献互助群
群 号:604180095
Book学术官方微信