Effectiveness of a Care Plan Based on the Multi-Theory Model in Reducing Fear of Disease Progression and Improving Quality of Life in Breast Cancer Patients: A Randomized Controlled Trial.

IF 3.4 4区 医学 Q2 ONCOLOGY
Breast Cancer : Targets and Therapy Pub Date : 2025-07-25 eCollection Date: 2025-01-01 DOI:10.2147/BCTT.S534595
Jiajia Zhang, Jiaru Zhuang, Xian Chen, Tianyu Chu, Qian Zhang, Linlin Ma, Hui Zhou, Yibo Wu, Ling Chen
{"title":"Effectiveness of a Care Plan Based on the Multi-Theory Model in Reducing Fear of Disease Progression and Improving Quality of Life in Breast Cancer Patients: A Randomized Controlled Trial.","authors":"Jiajia Zhang, Jiaru Zhuang, Xian Chen, Tianyu Chu, Qian Zhang, Linlin Ma, Hui Zhou, Yibo Wu, Ling Chen","doi":"10.2147/BCTT.S534595","DOIUrl":null,"url":null,"abstract":"<p><strong>Purpose: </strong>Fear of progression has become a prominent mental health problem. Our research aimed to evaluate the effectiveness of a care plan based on the Multi-Theory Model of health behavior change in reducing fear of progression in breast cancer patients undergoing adjuvant chemotherapy.</p><p><strong>Patients and methods: </strong>This randomized controlled trial enrolled 108 eligible participants receiving adjuvant chemotherapy at Jiangnan University Affiliated Hospital between May and December 2024. Routine care was administered to the control group, while the intervention group received the multi-theoretical model-based nursing intervention program integrated with general nursing. The evaluation time points included pre-intervention, immediately post-intervention (after 6 weeks), and 1-month post-intervention. Data were analyzed using Fisher's exact test or chi-square test, Mann-Whitney <i>U</i>-test, independent samples <i>t</i>-test, generalized estimating equations, or repeated measures ANOVA.</p><p><strong>Results: </strong>At various post-intervention assessments, the Multi-Theory Model group demonstrated significantly lower fear of progression scores along with higher self-management efficacy and quality of life scores, compared to the control group (<i>p</i> < 0.05). There were time, between-group, and interaction effects for the differences in the total scores of quality of life, self-management efficacy, and fear of progression between the two groups of participants (<i>p</i> < 0.05).</p><p><strong>Conclusion: </strong>A nursing program grounded in the multi-theoretical model reduced the level of fear of progression, and improved quality of life and self-management efficacy in patients with breast cancer undergoing postoperative chemotherapy. These findings can provide a reference for psychological interventions in clinical settings for breast cancer patients.</p>","PeriodicalId":9106,"journal":{"name":"Breast Cancer : Targets and Therapy","volume":"17 ","pages":"653-667"},"PeriodicalIF":3.4000,"publicationDate":"2025-07-25","publicationTypes":"Journal Article","fieldsOfStudy":null,"isOpenAccess":false,"openAccessPdf":"https://www.ncbi.nlm.nih.gov/pmc/articles/PMC12306559/pdf/","citationCount":"0","resultStr":null,"platform":"Semanticscholar","paperid":null,"PeriodicalName":"Breast Cancer : Targets and Therapy","FirstCategoryId":"3","ListUrlMain":"https://doi.org/10.2147/BCTT.S534595","RegionNum":4,"RegionCategory":"医学","ArticlePicture":[],"TitleCN":null,"AbstractTextCN":null,"PMCID":null,"EPubDate":"2025/1/1 0:00:00","PubModel":"eCollection","JCR":"Q2","JCRName":"ONCOLOGY","Score":null,"Total":0}
引用次数: 0

Abstract

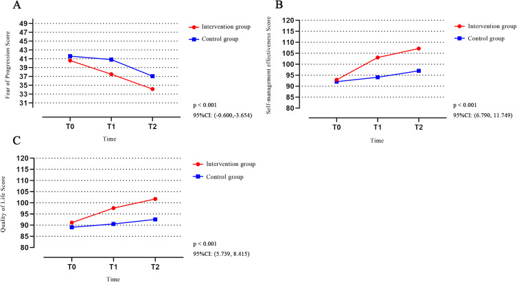
Purpose: Fear of progression has become a prominent mental health problem. Our research aimed to evaluate the effectiveness of a care plan based on the Multi-Theory Model of health behavior change in reducing fear of progression in breast cancer patients undergoing adjuvant chemotherapy.

Patients and methods: This randomized controlled trial enrolled 108 eligible participants receiving adjuvant chemotherapy at Jiangnan University Affiliated Hospital between May and December 2024. Routine care was administered to the control group, while the intervention group received the multi-theoretical model-based nursing intervention program integrated with general nursing. The evaluation time points included pre-intervention, immediately post-intervention (after 6 weeks), and 1-month post-intervention. Data were analyzed using Fisher's exact test or chi-square test, Mann-Whitney U-test, independent samples t-test, generalized estimating equations, or repeated measures ANOVA.

Results: At various post-intervention assessments, the Multi-Theory Model group demonstrated significantly lower fear of progression scores along with higher self-management efficacy and quality of life scores, compared to the control group (p < 0.05). There were time, between-group, and interaction effects for the differences in the total scores of quality of life, self-management efficacy, and fear of progression between the two groups of participants (p < 0.05).

Conclusion: A nursing program grounded in the multi-theoretical model reduced the level of fear of progression, and improved quality of life and self-management efficacy in patients with breast cancer undergoing postoperative chemotherapy. These findings can provide a reference for psychological interventions in clinical settings for breast cancer patients.

Abstract Image

Abstract Image

Abstract Image

基于多理论模型的护理计划在减少乳腺癌患者对疾病进展的恐惧和提高生活质量方面的有效性:一项随机对照试验
目的:恐惧进步已经成为一个突出的心理健康问题。我们的研究旨在评估基于健康行为改变多理论模型的护理计划在减少乳腺癌辅助化疗患者对进展的恐惧方面的有效性。患者和方法:该随机对照试验于2024年5月至12月在江南大学附属医院接受了108例辅助化疗。对照组采用常规护理,干预组采用基于多理论模型的综合护理干预方案。评估时间点包括干预前、干预后立即(6周后)和干预后1个月。数据分析采用Fisher精确检验或卡方检验、Mann-Whitney u检验、独立样本t检验、广义估计方程或重复测量方差分析。结果:在各种干预后评估中,与对照组相比,多理论模型组表现出明显较低的进展恐惧得分以及较高的自我管理效能和生活质量得分(p < 0.05)。两组受试者的生活质量、自我管理效能和进展恐惧总分存在时间效应、组间效应和交互效应(p < 0.05)。结论:基于多理论模型的护理方案降低了乳腺癌术后化疗患者的进展恐惧水平,提高了生活质量和自我管理效率。本研究结果可为临床乳腺癌患者的心理干预提供参考。
本文章由计算机程序翻译,如有差异,请以英文原文为准。
求助全文
约1分钟内获得全文 求助全文
来源期刊
CiteScore
4.10
自引率
0.00%
发文量
40
审稿时长
16 weeks
×
引用
GB/T 7714-2015
复制
MLA
复制
APA
复制
导出至
BibTeX EndNote RefMan NoteFirst NoteExpress
×
提示
您的信息不完整,为了账户安全,请先补充。
现在去补充
×
提示
您因"违规操作"
具体请查看互助需知
我知道了
×
提示
确定
请完成安全验证×
copy
已复制链接
快去分享给好友吧!
我知道了
右上角分享
点击右上角分享
0
联系我们:info@booksci.cn Book学术提供免费学术资源搜索服务,方便国内外学者检索中英文文献。致力于提供最便捷和优质的服务体验。 Copyright © 2023 布克学术 All rights reserved.
京ICP备2023020795号-1
ghs 京公网安备 11010802042870号
Book学术文献互助
Book学术文献互助群
群 号:604180095
Book学术官方微信