Accelerated computation for 2D isogeometric acoustic model with ground reflection by integrating Taylor expansion and deep neural network.

IF 2.9 4区 综合性期刊 Q2 MULTIDISCIPLINARY SCIENCES
Science Progress Pub Date : 2025-07-01 Epub Date: 2025-07-28 DOI:10.1177/00368504251357783
Jinfeng Gao, Hehong Ma, Dongqing Miao, Ruxian Yao, Yu Zhang
{"title":"Accelerated computation for 2D isogeometric acoustic model with ground reflection by integrating Taylor expansion and deep neural network.","authors":"Jinfeng Gao, Hehong Ma, Dongqing Miao, Ruxian Yao, Yu Zhang","doi":"10.1177/00368504251357783","DOIUrl":null,"url":null,"abstract":"<p><p>This article provides a method that combines Taylor expansion and neural network technology to accelerate the solution of an isogeometric acoustic model with ground reflection. The Helmholtz equation for the acoustic problem is solved by the boundary element method (BEM), and the model structure shape is optimized by combining the isogeometric method. In addition, to mitigate the high computational cost arising from repeated evaluations at each discrete frequency point, the Hankel function is approximated via a Taylor series expansion. This approach enables the decoupling of the boundary element method equation into frequency-dependent and frequency-independent terms. After using the deep neural network (DNN) training simulation results, the acoustic results are predicted. The DNN model can effectively analyze the sound field problem. Finally, the accuracy and feasibility of the proposed algorithm are verified by a two-dimensional numerical example.</p>","PeriodicalId":56061,"journal":{"name":"Science Progress","volume":"108 3","pages":"368504251357783"},"PeriodicalIF":2.9000,"publicationDate":"2025-07-01","publicationTypes":"Journal Article","fieldsOfStudy":null,"isOpenAccess":false,"openAccessPdf":"https://www.ncbi.nlm.nih.gov/pmc/articles/PMC12304598/pdf/","citationCount":"0","resultStr":null,"platform":"Semanticscholar","paperid":null,"PeriodicalName":"Science Progress","FirstCategoryId":"103","ListUrlMain":"https://doi.org/10.1177/00368504251357783","RegionNum":4,"RegionCategory":"综合性期刊","ArticlePicture":[],"TitleCN":null,"AbstractTextCN":null,"PMCID":null,"EPubDate":"2025/7/28 0:00:00","PubModel":"Epub","JCR":"Q2","JCRName":"MULTIDISCIPLINARY SCIENCES","Score":null,"Total":0}
引用次数: 0

Abstract

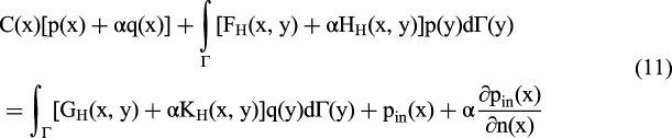
This article provides a method that combines Taylor expansion and neural network technology to accelerate the solution of an isogeometric acoustic model with ground reflection. The Helmholtz equation for the acoustic problem is solved by the boundary element method (BEM), and the model structure shape is optimized by combining the isogeometric method. In addition, to mitigate the high computational cost arising from repeated evaluations at each discrete frequency point, the Hankel function is approximated via a Taylor series expansion. This approach enables the decoupling of the boundary element method equation into frequency-dependent and frequency-independent terms. After using the deep neural network (DNN) training simulation results, the acoustic results are predicted. The DNN model can effectively analyze the sound field problem. Finally, the accuracy and feasibility of the proposed algorithm are verified by a two-dimensional numerical example.

Abstract Image

Abstract Image

Abstract Image

基于泰勒展开和深度神经网络的二维地面反射等几何声学模型加速计算。
本文提出了一种将泰勒展开技术与神经网络技术相结合的方法来加速求解具有地面反射的等几何声学模型。采用边界元法(BEM)求解声学问题的Helmholtz方程,并结合等几何方法对模型结构形状进行优化。此外,为了减轻在每个离散频率点重复评估所产生的高计算成本,Hankel函数通过泰勒级数展开进行近似。该方法可以将边界元方法方程解耦为频率相关项和频率无关项。利用深度神经网络(DNN)训练仿真结果,对声学结果进行预测。DNN模型可以有效地分析声场问题。最后,通过一个二维数值算例验证了所提算法的准确性和可行性。
本文章由计算机程序翻译,如有差异,请以英文原文为准。
求助全文
约1分钟内获得全文 求助全文
来源期刊
Science Progress
Science Progress Multidisciplinary-Multidisciplinary
CiteScore
3.80
自引率
0.00%
发文量
119
期刊介绍: Science Progress has for over 100 years been a highly regarded review publication in science, technology and medicine. Its objective is to excite the readers'' interest in areas with which they may not be fully familiar but which could facilitate their interest, or even activity, in a cognate field.
×
引用
GB/T 7714-2015
复制
MLA
复制
APA
复制
导出至
BibTeX EndNote RefMan NoteFirst NoteExpress
×
提示
您的信息不完整,为了账户安全,请先补充。
现在去补充
×
提示
您因"违规操作"
具体请查看互助需知
我知道了
×
提示
确定
请完成安全验证×
copy
已复制链接
快去分享给好友吧!
我知道了
右上角分享
点击右上角分享
0
联系我们:info@booksci.cn Book学术提供免费学术资源搜索服务,方便国内外学者检索中英文文献。致力于提供最便捷和优质的服务体验。 Copyright © 2023 布克学术 All rights reserved.
京ICP备2023020795号-1
ghs 京公网安备 11010802042870号
Book学术文献互助
Book学术文献互助群
群 号:604180095
Book学术官方微信