Soluble interleukin-33 receptor (sST-2): a novel marker for assessing cardiovascular risk in rheumatoid arthritis.

Q3 Medicine
Journal of Circulating Biomarkers Pub Date : 2025-07-28 eCollection Date: 2025-01-01 DOI:10.33393/jcb.2025.3175
Inga Claus, Meike Hoffmeister, Constantin Remus, Werner Dammermann, Ourania Gioti, Oliver Ritter, Daniel Patschan, Susann Patschan
{"title":"Soluble interleukin-33 receptor (sST-2): a novel marker for assessing cardiovascular risk in rheumatoid arthritis.","authors":"Inga Claus, Meike Hoffmeister, Constantin Remus, Werner Dammermann, Ourania Gioti, Oliver Ritter, Daniel Patschan, Susann Patschan","doi":"10.33393/jcb.2025.3175","DOIUrl":null,"url":null,"abstract":"<p><strong>Background: </strong>Rheumatoid arthritis (RA) is the most common inflammatory rheumatic disease, and it significantly increases the risk of cardiovascular disease and death. The evaluation of cardiovascular risk (CVR) is crucial in these patients, but it may be underestimated using the current criteria, as they do not include nontraditional CVR factors. Soluble ST-2, which is the circulating form of the IL-33 receptor, has been identified as a biomarker for cardiovascular and rheumatic diseases. In this study, we examined the role of sST-2 in assessing CVR in RA.</p><p><strong>Methods: </strong>Monocentric, retrospective, observational trial. Inclusion of RA patients on variable DMARD therapy. Analysis of RA disease using established scores (DAS 28, VAS, HFQ), clinical findings (number of swollen and painful joints), and laboratory investigation. Documentation of numerous CVR variables. Quantification of soluble sST-2 by ELISA.</p><p><strong>Results: </strong>In total, 129 individuals were included. Soluble sST-2 did neither correlate nor was associated with any variable of RA disease activity. In contrast, significant associations were identified between sST-2 and a number of established CVR markers.</p><p><strong>Conclusions: </strong>The data indicates a novel role for sST-2 in CVR prediction in RA.</p>","PeriodicalId":37524,"journal":{"name":"Journal of Circulating Biomarkers","volume":"14 ","pages":"5-11"},"PeriodicalIF":0.0000,"publicationDate":"2025-07-28","publicationTypes":"Journal Article","fieldsOfStudy":null,"isOpenAccess":false,"openAccessPdf":"https://www.ncbi.nlm.nih.gov/pmc/articles/PMC12302820/pdf/","citationCount":"0","resultStr":null,"platform":"Semanticscholar","paperid":null,"PeriodicalName":"Journal of Circulating Biomarkers","FirstCategoryId":"1085","ListUrlMain":"https://doi.org/10.33393/jcb.2025.3175","RegionNum":0,"RegionCategory":null,"ArticlePicture":[],"TitleCN":null,"AbstractTextCN":null,"PMCID":null,"EPubDate":"2025/1/1 0:00:00","PubModel":"eCollection","JCR":"Q3","JCRName":"Medicine","Score":null,"Total":0}
引用次数: 0

Abstract

Background: Rheumatoid arthritis (RA) is the most common inflammatory rheumatic disease, and it significantly increases the risk of cardiovascular disease and death. The evaluation of cardiovascular risk (CVR) is crucial in these patients, but it may be underestimated using the current criteria, as they do not include nontraditional CVR factors. Soluble ST-2, which is the circulating form of the IL-33 receptor, has been identified as a biomarker for cardiovascular and rheumatic diseases. In this study, we examined the role of sST-2 in assessing CVR in RA.

Methods: Monocentric, retrospective, observational trial. Inclusion of RA patients on variable DMARD therapy. Analysis of RA disease using established scores (DAS 28, VAS, HFQ), clinical findings (number of swollen and painful joints), and laboratory investigation. Documentation of numerous CVR variables. Quantification of soluble sST-2 by ELISA.

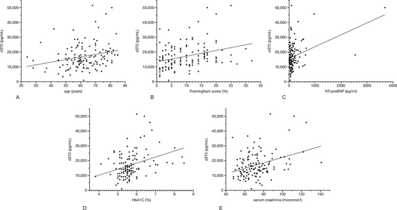
Results: In total, 129 individuals were included. Soluble sST-2 did neither correlate nor was associated with any variable of RA disease activity. In contrast, significant associations were identified between sST-2 and a number of established CVR markers.

Conclusions: The data indicates a novel role for sST-2 in CVR prediction in RA.

Abstract Image

可溶性白介素-33受体(sST-2):评估类风湿关节炎心血管风险的新标志物
背景:类风湿关节炎(Rheumatoid arthritis, RA)是最常见的炎症性风湿病,可显著增加心血管疾病和死亡的风险。心血管风险(CVR)的评估对这些患者至关重要,但使用目前的标准可能会被低估,因为它们不包括非传统的CVR因素。可溶性ST-2是IL-33受体的循环形式,已被确定为心血管和风湿病的生物标志物。在本研究中,我们研究了sST-2在评估RA患者CVR中的作用。方法:单中心、回顾性、观察性试验。纳入接受可变DMARD治疗的RA患者。使用既定评分(DAS 28、VAS、HFQ)、临床表现(关节肿胀和疼痛的数量)和实验室调查分析RA疾病。大量CVR变量的文档。ELISA法测定可溶性sST-2。结果:共纳入129人。可溶性sST-2与RA疾病活动性的任何变量既不相关也不相关。相比之下,sST-2与许多已建立的CVR标记物之间存在显著关联。结论:这些数据表明sST-2在RA的CVR预测中具有新的作用。
本文章由计算机程序翻译,如有差异,请以英文原文为准。
求助全文
约1分钟内获得全文 求助全文
来源期刊
Journal of Circulating Biomarkers
Journal of Circulating Biomarkers Medicine-Biochemistry (medical)
CiteScore
3.20
自引率
0.00%
发文量
9
审稿时长
8 weeks
期刊介绍: Journal of Circulating Biomarkers is an international, peer-reviewed, open access scientific journal focusing on all aspects of the rapidly growing field of circulating blood-based biomarkers and diagnostics using circulating protein and lipid markers, circulating tumor cells (CTC), circulating cell-free DNA (cfDNA) and extracellular vesicles, including exosomes, microvesicles, microparticles, ectosomes and apoptotic bodies. The journal publishes high-impact articles that deal with all fields related to circulating biomarkers and diagnostics, ranging from basic science to translational and clinical applications. Papers from a wide variety of disciplines are welcome; interdisciplinary studies are especially suitable for this journal. Included within the scope are a broad array of specialties including (but not limited to) cancer, immunology, neurology, metabolic diseases, cardiovascular medicine, regenerative medicine, nosology, physiology, pathology, technological applications in diagnostics, therapeutics, vaccine, drug delivery, regenerative medicine, drug development and clinical trials. The journal also hosts reviews, perspectives and news on specific topics.
×
引用
GB/T 7714-2015
复制
MLA
复制
APA
复制
导出至
BibTeX EndNote RefMan NoteFirst NoteExpress
×
提示
您的信息不完整,为了账户安全,请先补充。
现在去补充
×
提示
您因"违规操作"
具体请查看互助需知
我知道了
×
提示
确定
请完成安全验证×
copy
已复制链接
快去分享给好友吧!
我知道了
右上角分享
点击右上角分享
0
联系我们:info@booksci.cn Book学术提供免费学术资源搜索服务,方便国内外学者检索中英文文献。致力于提供最便捷和优质的服务体验。 Copyright © 2023 布克学术 All rights reserved.
京ICP备2023020795号-1
ghs 京公网安备 11010802042870号
Book学术文献互助
Book学术文献互助群
群 号:604180095
Book学术官方微信