Utility of Carboxyhemoglobin Level for the Diagnosis of Invasive Bacterial Infection in a Febrile Neonate at Paediatric Emergency Department.

Q3 Medicine
Sultan Qaboos University Medical Journal Pub Date : 2025-05-02 eCollection Date: 2025-01-01 DOI:10.18295/2075-0528.2867
Abdulhamid Al Hinai, Laila Al Yazidi, Sanjay Jaju, Nasser Al Sidairi, Khalil Al Habsi, Mohammed Al Lawati, Saeed Al Obeidani
{"title":"Utility of Carboxyhemoglobin Level for the Diagnosis of Invasive Bacterial Infection in a Febrile Neonate at Paediatric Emergency Department.","authors":"Abdulhamid Al Hinai, Laila Al Yazidi, Sanjay Jaju, Nasser Al Sidairi, Khalil Al Habsi, Mohammed Al Lawati, Saeed Al Obeidani","doi":"10.18295/2075-0528.2867","DOIUrl":null,"url":null,"abstract":"<p><strong>Objective: </strong>Carboxyhaemoglobin (COHb), which represents the fraction of carbon monoxide bound to haemoglobin, is available as a point-of-care test in the emergency department. This study aimed to assess the role of COHb in the diagnosis of invasive bacterial infections (IBI) in a paediatric emergency department.</p><p><strong>Methods: </strong>This retrospective study examined a single reading of venous COHb values in otherwise healthy neonates who presented with febrile illness at the paediatric emergency department at Royal Hospital, Muscat, Oman, between December 2019 and December 2022. The optimal COHb level for the diagnosis of IBI was determined using receiver operating characteristic curve analysis. Multivariate regression analysis was applied to assess the effect of age, birth weight and sex as cofounders for the diagnosis.</p><p><strong>Results: </strong>A total of 336 neonates presented to the paediatric emergency department with febrile illnesses and 201 neonates met the inclusion criteria; 43 neonates were culture-confirmed to have IBI. A COHb level ≥1.4% carries a sensitivity of 74% and a specificity of 69% for the diagnosis of IBI. Moreover, it was strongly independent of the diagnosis when adjusted for the confounding factors of birth weight, sex, pediatric early warning score, type of admission and gestational age (odds ratio = 6.080, 95% confidence interval: 2.810-13.155; <i>P</i> <0.001).</p><p><strong>Conclusion: </strong>This is the first study to examine COHb as a biomarker for IBI in a pediatric emergency setting. COHb may be a useful biochemical marker for risk stratification in febrile neonates. Further studies are required to better delineate its clinical utility.</p>","PeriodicalId":22083,"journal":{"name":"Sultan Qaboos University Medical Journal","volume":"25 1","pages":"531-538"},"PeriodicalIF":0.0000,"publicationDate":"2025-05-02","publicationTypes":"Journal Article","fieldsOfStudy":null,"isOpenAccess":false,"openAccessPdf":"https://www.ncbi.nlm.nih.gov/pmc/articles/PMC12293561/pdf/","citationCount":"0","resultStr":null,"platform":"Semanticscholar","paperid":null,"PeriodicalName":"Sultan Qaboos University Medical Journal","FirstCategoryId":"1085","ListUrlMain":"https://doi.org/10.18295/2075-0528.2867","RegionNum":0,"RegionCategory":null,"ArticlePicture":[],"TitleCN":null,"AbstractTextCN":null,"PMCID":null,"EPubDate":"2025/1/1 0:00:00","PubModel":"eCollection","JCR":"Q3","JCRName":"Medicine","Score":null,"Total":0}
引用次数: 0

Abstract

Objective: Carboxyhaemoglobin (COHb), which represents the fraction of carbon monoxide bound to haemoglobin, is available as a point-of-care test in the emergency department. This study aimed to assess the role of COHb in the diagnosis of invasive bacterial infections (IBI) in a paediatric emergency department.

Methods: This retrospective study examined a single reading of venous COHb values in otherwise healthy neonates who presented with febrile illness at the paediatric emergency department at Royal Hospital, Muscat, Oman, between December 2019 and December 2022. The optimal COHb level for the diagnosis of IBI was determined using receiver operating characteristic curve analysis. Multivariate regression analysis was applied to assess the effect of age, birth weight and sex as cofounders for the diagnosis.

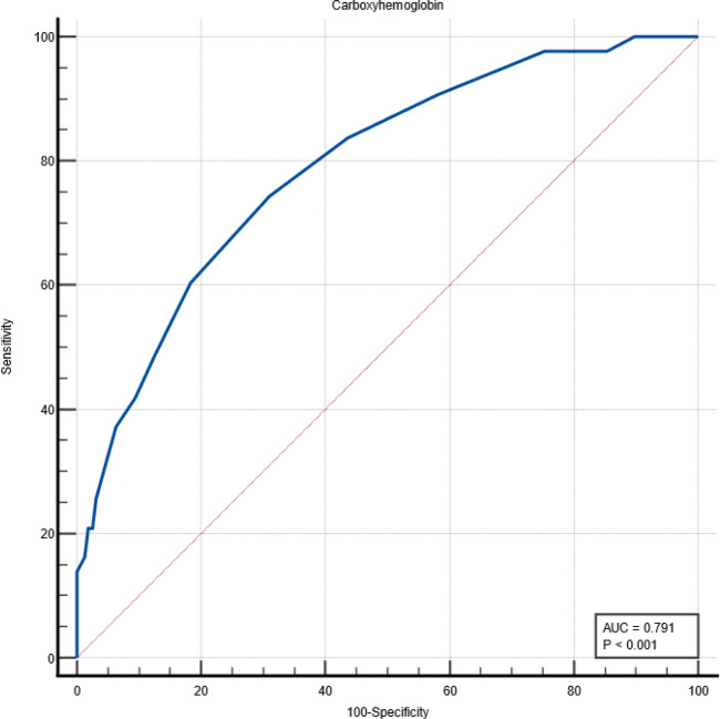
Results: A total of 336 neonates presented to the paediatric emergency department with febrile illnesses and 201 neonates met the inclusion criteria; 43 neonates were culture-confirmed to have IBI. A COHb level ≥1.4% carries a sensitivity of 74% and a specificity of 69% for the diagnosis of IBI. Moreover, it was strongly independent of the diagnosis when adjusted for the confounding factors of birth weight, sex, pediatric early warning score, type of admission and gestational age (odds ratio = 6.080, 95% confidence interval: 2.810-13.155; P <0.001).

Conclusion: This is the first study to examine COHb as a biomarker for IBI in a pediatric emergency setting. COHb may be a useful biochemical marker for risk stratification in febrile neonates. Further studies are required to better delineate its clinical utility.

Abstract Image

Abstract Image

碳氧血红蛋白水平在儿科急诊科发热新生儿侵袭性细菌感染诊断中的应用。
目的:一氧化碳血红蛋白(COHb),它代表的部分一氧化碳结合血红蛋白,可作为一个点护理测试在急诊科。本研究旨在评估COHb在儿科急诊科诊断侵袭性细菌感染(IBI)中的作用。方法:本回顾性研究检查了2019年12月至2022年12月期间在阿曼马斯喀特皇家医院儿科急诊科出现发热性疾病的健康新生儿静脉COHb值的单次读数。采用受试者工作特征曲线分析确定诊断IBI的最佳COHb水平。应用多元回归分析评估年龄、出生体重和性别作为诊断的共同因素的影响。结果:在儿科急诊科就诊的发热性疾病新生儿共336例,符合纳入标准的有201例;43例新生儿经培养证实为IBI。COHb≥1.4%对IBI诊断的敏感性为74%,特异性为69%。校正出生体重、性别、儿科早期预警评分、入院类型、胎龄等混杂因素后,与诊断有较强的独立性(优势比= 6.080,95%可信区间:2.810-13.155;结论:这是第一个在儿科急诊环境中检验COHb作为IBI生物标志物的研究。COHb可能是一个有用的生化标志物危险分层在发热新生儿。需要进一步的研究来更好地描述其临床应用。
本文章由计算机程序翻译,如有差异,请以英文原文为准。
求助全文
约1分钟内获得全文 求助全文
来源期刊
CiteScore
2.00
自引率
0.00%
发文量
86
审稿时长
7 weeks
×
引用
GB/T 7714-2015
复制
MLA
复制
APA
复制
导出至
BibTeX EndNote RefMan NoteFirst NoteExpress
×
提示
您的信息不完整,为了账户安全,请先补充。
现在去补充
×
提示
您因"违规操作"
具体请查看互助需知
我知道了
×
提示
确定
请完成安全验证×
copy
已复制链接
快去分享给好友吧!
我知道了
右上角分享
点击右上角分享
0
联系我们:info@booksci.cn Book学术提供免费学术资源搜索服务,方便国内外学者检索中英文文献。致力于提供最便捷和优质的服务体验。 Copyright © 2023 布克学术 All rights reserved.
京ICP备2023020795号-1
ghs 京公网安备 11010802042870号
Book学术文献互助
Book学术文献互助群
群 号:604180095
Book学术官方微信