Analysis of inflammation parameter value lymphocyte monocyte ratio (LMR), platelet lymphocyte ratio (PLR), and systemic inflammation response index (SIRI) to differentiate malignant and benign ovarian tumors.

IF 1.7 Q2 MULTIDISCIPLINARY SCIENCES
Siti Salima, Dave Grant Sampeliling, Wiryawan Permadi, R M Sonny Sasotya, M Alamsyah Aziz, Andi Kurniadi, Aisyah Shofiatun Nisa
{"title":"Analysis of inflammation parameter value lymphocyte monocyte ratio (LMR), platelet lymphocyte ratio (PLR), and systemic inflammation response index (SIRI) to differentiate malignant and benign ovarian tumors.","authors":"Siti Salima, Dave Grant Sampeliling, Wiryawan Permadi, R M Sonny Sasotya, M Alamsyah Aziz, Andi Kurniadi, Aisyah Shofiatun Nisa","doi":"10.1186/s13104-025-07330-z","DOIUrl":null,"url":null,"abstract":"<p><strong>Objective: </strong>Ovarian cancer is the leading cause of death from gynecological cancers. In the early stages, it is generally asymptomatic, leading to delays in the early diagnosis of ovarian cancer. Inflammation, which is the body's response to tissue damage, plays a crucial role in the pathogenesis of cancer. Inflammatory responses result in cellular changes, damaged tissue repair, and affected area proliferation. This research aims to determine the differences in LMR (Lymphocyte-to-Monocyte Ratio), PLR (Platelet-to-Lymphocyte Ratio), and SIRI (Systemic Immune-Inflammation Index), which were the parameters of inflammation between ovarian malignant tumors and benign ovarian tumors.</p><p><strong>Results: </strong>This retrospective cohort study analyzed medical records of 327 patients treated at Dr. Hasan Sadikin General Hospital, Bandung, between 2020 and 2022, including 166 cases of malignant ovarian tumors and 161 benign ovarian tumors. Inflammatory markers were calculated from routine blood counts. The mean LMR was significantly lower in the malignant group than the benign group (3.32 vs. 3.83, P = 0.004). Conversely, PLR and SIRI values were significantly higher in malignant tumors (PLR: 355 vs. 213, P = 0.001; SIRI: 3.50 vs. 2.97, P = 0.042). These findings suggest that LMR, PLR, and SIRI may serve as supportive inflammatory biomarkers in distinguishing malignant from benign ovarian tumors.</p>","PeriodicalId":9234,"journal":{"name":"BMC Research Notes","volume":"18 1","pages":"328"},"PeriodicalIF":1.7000,"publicationDate":"2025-07-28","publicationTypes":"Journal Article","fieldsOfStudy":null,"isOpenAccess":false,"openAccessPdf":"https://www.ncbi.nlm.nih.gov/pmc/articles/PMC12302886/pdf/","citationCount":"0","resultStr":null,"platform":"Semanticscholar","paperid":null,"PeriodicalName":"BMC Research Notes","FirstCategoryId":"1085","ListUrlMain":"https://doi.org/10.1186/s13104-025-07330-z","RegionNum":0,"RegionCategory":null,"ArticlePicture":[],"TitleCN":null,"AbstractTextCN":null,"PMCID":null,"EPubDate":"","PubModel":"","JCR":"Q2","JCRName":"MULTIDISCIPLINARY SCIENCES","Score":null,"Total":0}
引用次数: 0

Abstract

Objective: Ovarian cancer is the leading cause of death from gynecological cancers. In the early stages, it is generally asymptomatic, leading to delays in the early diagnosis of ovarian cancer. Inflammation, which is the body's response to tissue damage, plays a crucial role in the pathogenesis of cancer. Inflammatory responses result in cellular changes, damaged tissue repair, and affected area proliferation. This research aims to determine the differences in LMR (Lymphocyte-to-Monocyte Ratio), PLR (Platelet-to-Lymphocyte Ratio), and SIRI (Systemic Immune-Inflammation Index), which were the parameters of inflammation between ovarian malignant tumors and benign ovarian tumors.

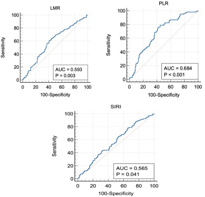
Results: This retrospective cohort study analyzed medical records of 327 patients treated at Dr. Hasan Sadikin General Hospital, Bandung, between 2020 and 2022, including 166 cases of malignant ovarian tumors and 161 benign ovarian tumors. Inflammatory markers were calculated from routine blood counts. The mean LMR was significantly lower in the malignant group than the benign group (3.32 vs. 3.83, P = 0.004). Conversely, PLR and SIRI values were significantly higher in malignant tumors (PLR: 355 vs. 213, P = 0.001; SIRI: 3.50 vs. 2.97, P = 0.042). These findings suggest that LMR, PLR, and SIRI may serve as supportive inflammatory biomarkers in distinguishing malignant from benign ovarian tumors.

Abstract Image

分析炎症参数值淋巴细胞单核细胞比(LMR)、血小板淋巴细胞比(PLR)和全身炎症反应指数(SIRI)对卵巢恶性肿瘤和良性肿瘤的鉴别价值。
目的:卵巢癌是妇科癌症死亡的主要原因。在早期阶段,它通常是无症状的,导致卵巢癌的早期诊断延迟。炎症是机体对组织损伤的反应,在癌症的发病机制中起着至关重要的作用。炎症反应导致细胞改变、受损组织修复和受累区域增殖。本研究旨在测定卵巢恶性肿瘤与良性肿瘤炎症指标LMR (Lymphocyte-to-Monocyte Ratio)、PLR (platet -to- lymphocyte Ratio)、SIRI (Systemic Immune-Inflammation Index)的差异。结果:本回顾性队列研究分析了2020年至2022年在万隆哈桑·萨迪金总医院治疗的327例患者的医疗记录,其中包括166例恶性卵巢肿瘤和161例良性卵巢肿瘤。通过常规血球计数计算炎症标志物。恶性组平均LMR明显低于良性组(3.32 vs. 3.83, P = 0.004)。相反,恶性肿瘤的PLR和SIRI值明显更高(PLR: 355比213,P = 0.001;SIRI: 3.50 vs. 2.97, P = 0.042)。这些研究结果表明,LMR、PLR和SIRI可能作为区分卵巢恶性肿瘤和良性肿瘤的支持性炎症生物标志物。
本文章由计算机程序翻译,如有差异,请以英文原文为准。
求助全文
约1分钟内获得全文 求助全文
来源期刊
BMC Research Notes
BMC Research Notes Biochemistry, Genetics and Molecular Biology-Biochemistry, Genetics and Molecular Biology (all)
CiteScore
3.60
自引率
0.00%
发文量
363
审稿时长
15 weeks
期刊介绍: BMC Research Notes publishes scientifically valid research outputs that cannot be considered as full research or methodology articles. We support the research community across all scientific and clinical disciplines by providing an open access forum for sharing data and useful information; this includes, but is not limited to, updates to previous work, additions to established methods, short publications, null results, research proposals and data management plans.
×
引用
GB/T 7714-2015
复制
MLA
复制
APA
复制
导出至
BibTeX EndNote RefMan NoteFirst NoteExpress
×
提示
您的信息不完整,为了账户安全,请先补充。
现在去补充
×
提示
您因"违规操作"
具体请查看互助需知
我知道了
×
提示
确定
请完成安全验证×
copy
已复制链接
快去分享给好友吧!
我知道了
右上角分享
点击右上角分享
0
联系我们:info@booksci.cn Book学术提供免费学术资源搜索服务,方便国内外学者检索中英文文献。致力于提供最便捷和优质的服务体验。 Copyright © 2023 布克学术 All rights reserved.
京ICP备2023020795号-1
ghs 京公网安备 11010802042870号
Book学术文献互助
Book学术文献互助群
群 号:604180095
Book学术官方微信