Different Resuscitation Termination Criteria for Out of Hospital Cardiac Arrest; A Prognostic Accuracy Study.

IF 2 Q1 EMERGENCY MEDICINE
Archives of Academic Emergency Medicine Pub Date : 2025-06-28 eCollection Date: 2025-01-01 DOI:10.22037/aaemj.v13i1.2656
Phatcha Termkijwanich, Pitsucha Sanguanwit, Chaiyaporn Yuksen, Satariya Trakulsrichai, Pungkava Sricharoen
{"title":"Different Resuscitation Termination Criteria for Out of Hospital Cardiac Arrest; A Prognostic Accuracy Study.","authors":"Phatcha Termkijwanich, Pitsucha Sanguanwit, Chaiyaporn Yuksen, Satariya Trakulsrichai, Pungkava Sricharoen","doi":"10.22037/aaemj.v13i1.2656","DOIUrl":null,"url":null,"abstract":"<p><strong>Introduction: </strong>Termination of resuscitation (TOR) rules in out of hospital cardiac arrest (OHCA) varies across different healthcare settings and populations. This study aimed to externally validate ten TOR rules for predicting death before hospital admission among OHCA patients.</p><p><strong>Methods: </strong>A retrospective prognostic accuracy study analyzed 379 non-trauma OHCA patients (≥18 years) in Bangkok who were either treated by the emergency medical services (EMS) of Ramathibodi Hospital or transported to Ramathibodi's emergency department by another EMS provider (January 2010 - March 2023). The predictive performance of ten TOR rules (AHA-BLS, AHA-ALS, Korean Cardiac Arrest Research Consortium (KoCARC) rules I, II, and III, Goto's rule, Shihabashi's rule, the New Model I, Helsinki's, and Petrie's rule) in predicting death before hospital admission as well as false positive rates (FPRs) of rules at various resuscitation times were calculated and reported with 95% confidence interval (CI).</p><p><strong>Results: </strong>Among 379 OHCA patients, 308 (81.27%) died before hospital admission and 71 (18.73%) survived to discharge. The New model I demonstrated the most conservative predictive performance with sensitivity of 96.7% (95% CI: 93.0-98.8), NPV of 91.5% (95% CI: 82.5-96.8), and area under the curve (AUC) of 0.74 (95% CI: 0.70-0.79). The KoCARC III showed FPR of 2.8%. Based on the initial presenting criteria, the FPR varied at different resuscitation time points, with increasing FPR over 30 minutes. Among all rules, Helsinki's and AHA-BLS showed the highest FPRs (1.14 - 21.13 and 1.14 - 23.94, respectively) while the KoCARC TOR rules III demonstrated the most conservative consistency in maintaining a low FPR (0-2.82%) throughout time.</p><p><strong>Conclusion: </strong>The KoCARC III demonstrated relatively high safety for TOR decisions in Bangkok's OHCA population, with the lowest FPR, and high sensitivity and NPV. TOR rules showed higher FPRs compared to previous studies. These findings should be interpreted with caution due to the retrospective design, potential selection bias, and EMS protocol changes over the 10-year study period.</p>","PeriodicalId":8146,"journal":{"name":"Archives of Academic Emergency Medicine","volume":"13 1","pages":"e59"},"PeriodicalIF":2.0000,"publicationDate":"2025-06-28","publicationTypes":"Journal Article","fieldsOfStudy":null,"isOpenAccess":false,"openAccessPdf":"https://www.ncbi.nlm.nih.gov/pmc/articles/PMC12303412/pdf/","citationCount":"0","resultStr":null,"platform":"Semanticscholar","paperid":null,"PeriodicalName":"Archives of Academic Emergency Medicine","FirstCategoryId":"1085","ListUrlMain":"https://doi.org/10.22037/aaemj.v13i1.2656","RegionNum":0,"RegionCategory":null,"ArticlePicture":[],"TitleCN":null,"AbstractTextCN":null,"PMCID":null,"EPubDate":"2025/1/1 0:00:00","PubModel":"eCollection","JCR":"Q1","JCRName":"EMERGENCY MEDICINE","Score":null,"Total":0}
引用次数: 0

Abstract

Introduction: Termination of resuscitation (TOR) rules in out of hospital cardiac arrest (OHCA) varies across different healthcare settings and populations. This study aimed to externally validate ten TOR rules for predicting death before hospital admission among OHCA patients.

Methods: A retrospective prognostic accuracy study analyzed 379 non-trauma OHCA patients (≥18 years) in Bangkok who were either treated by the emergency medical services (EMS) of Ramathibodi Hospital or transported to Ramathibodi's emergency department by another EMS provider (January 2010 - March 2023). The predictive performance of ten TOR rules (AHA-BLS, AHA-ALS, Korean Cardiac Arrest Research Consortium (KoCARC) rules I, II, and III, Goto's rule, Shihabashi's rule, the New Model I, Helsinki's, and Petrie's rule) in predicting death before hospital admission as well as false positive rates (FPRs) of rules at various resuscitation times were calculated and reported with 95% confidence interval (CI).

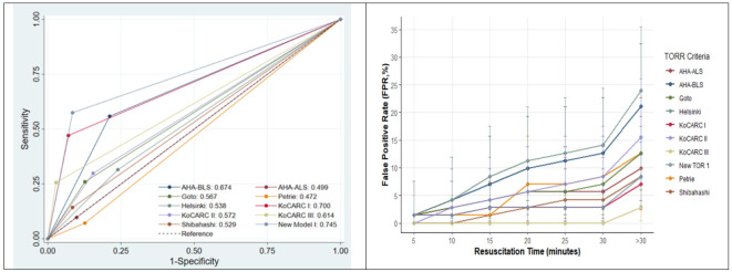
Results: Among 379 OHCA patients, 308 (81.27%) died before hospital admission and 71 (18.73%) survived to discharge. The New model I demonstrated the most conservative predictive performance with sensitivity of 96.7% (95% CI: 93.0-98.8), NPV of 91.5% (95% CI: 82.5-96.8), and area under the curve (AUC) of 0.74 (95% CI: 0.70-0.79). The KoCARC III showed FPR of 2.8%. Based on the initial presenting criteria, the FPR varied at different resuscitation time points, with increasing FPR over 30 minutes. Among all rules, Helsinki's and AHA-BLS showed the highest FPRs (1.14 - 21.13 and 1.14 - 23.94, respectively) while the KoCARC TOR rules III demonstrated the most conservative consistency in maintaining a low FPR (0-2.82%) throughout time.

Conclusion: The KoCARC III demonstrated relatively high safety for TOR decisions in Bangkok's OHCA population, with the lowest FPR, and high sensitivity and NPV. TOR rules showed higher FPRs compared to previous studies. These findings should be interpreted with caution due to the retrospective design, potential selection bias, and EMS protocol changes over the 10-year study period.

Abstract Image

Abstract Image

院外心脏骤停的不同复苏终止标准预测准确性研究。
院外心脏骤停(OHCA)的复苏终止(TOR)规则在不同的医疗机构和人群中有所不同。本研究旨在外部验证10条预测OHCA患者入院前死亡的TOR规则。方法:一项回顾性预后准确性研究分析了379名曼谷非创伤性OHCA患者(≥18岁),这些患者要么在Ramathibodi医院的紧急医疗服务(EMS)治疗,要么由另一家EMS提供商转移到Ramathibodi医院的急诊科(2010年1月至2023年3月)。计算10条TOR规则(AHA-BLS、AHA-ALS、韩国心脏骤停研究协会(KoCARC)规则I、II和III、后托规则、Shihabashi规则、新模型I、赫尔辛基规则和Petrie规则)预测入院前死亡的预测性能,以及不同复苏时间规则的假阳性率(fpr),并以95%置信区间(CI)报告。结果:379例OHCA患者中,308例(81.27%)在入院前死亡,71例(18.73%)存活至出院。新模型I表现出最保守的预测性能,灵敏度为96.7% (95% CI: 93.0-98.8), NPV为91.5% (95% CI: 82.5-96.8),曲线下面积(AUC)为0.74 (95% CI: 0.70-0.79)。KoCARC III的FPR为2.8%。根据最初的呈现标准,FPR在不同的复苏时间点有所不同,在30分钟内FPR增加。在所有规则中,Helsinki和AHA-BLS的FPR最高(分别为1.14 - 21.13和1.14 - 23.94),而KoCARC TOR规则III在保持低FPR(0-2.82%)方面表现出最保守的一致性。结论:KoCARC III对曼谷OHCA人群的TOR决策具有相对较高的安全性,FPR最低,灵敏度和NPV较高。与之前的研究相比,TOR规则显示出更高的fpr。由于回顾性设计、潜在的选择偏倚和EMS方案在10年研究期间的变化,这些发现应谨慎解释。
本文章由计算机程序翻译,如有差异,请以英文原文为准。
求助全文
约1分钟内获得全文 求助全文
来源期刊
Archives of Academic Emergency Medicine
Archives of Academic Emergency Medicine Medicine-Emergency Medicine
CiteScore
8.90
自引率
7.40%
发文量
0
审稿时长
6 weeks
×
引用
GB/T 7714-2015
复制
MLA
复制
APA
复制
导出至
BibTeX EndNote RefMan NoteFirst NoteExpress
×
提示
您的信息不完整,为了账户安全,请先补充。
现在去补充
×
提示
您因"违规操作"
具体请查看互助需知
我知道了
×
提示
确定
请完成安全验证×
copy
已复制链接
快去分享给好友吧!
我知道了
右上角分享
点击右上角分享
0
联系我们:info@booksci.cn Book学术提供免费学术资源搜索服务,方便国内外学者检索中英文文献。致力于提供最便捷和优质的服务体验。 Copyright © 2023 布克学术 All rights reserved.
京ICP备2023020795号-1
ghs 京公网安备 11010802042870号
Book学术文献互助
Book学术文献互助群
群 号:604180095
Book学术官方微信